Home
For authors
Submission status

Current
Archive
Archive (English)
Search
Editor's Choice

Single spin asymmetries AN in the inclusive production of charged pions in the reactions $\pi^{-}p^{\uparrow}\rightarrow\pi^{\pm}X$ were measured by the SPASCHARM experiment [1] at the U-70 accelerator complex in Protvino. The single-spin asymmetry in the reaction $\pi^{-}p^{\uparrow}\rightarrow\pi^{\pm}X$ was measured for the first time.

The single-spin asymmetries in both reactions, averaged over the transverse momentum range from 0.2 to 1.5 GeV/c, have the same positive sign. Taking into account systematic errors they are equal to each other in magnitude of ~20% and differ from zero by 3σ. Previously, asymmetries of similar sign and magnitude were measured in inclusive π0-meson production in various reactions [2].

Such a possible behavior was discussed earlier and predicted by the model of chromomagnetic polarization of quarks [3] and twist-3 model of asymmetry [4].

Dependence of A𝑁 on xF (left) and 𝑝𝑇 (right) in the reactions $\pi^{-}p^{\uparrow}\rightarrow\pi^{\pm}X$ at 26.3 GeV (only statistic errors are shown, systematic errors are estimated as 5÷7 %).

1. V.V. Abramov et al, Phys. Part. Nucl. 54(1), 69 (2023).

2. V.D. Apokin et al.  Sov. J. Nucl. Phys. 49, 103 (1989); V.V. Mochalov et al, Phys. Atom. Nucl. 73(12), 2017 (2010); V.V. Abramov et al, Phys. Atom. Nucl. 77(5), 595 (2014).

3. V.V. Abramov, Phys. Atom. Nucl. 72(11), 1872 (2009).

4. A.V. Efremov, V.M. Korotkiyan, and O.V. Teryaev, Phys. Lett. B 348, 577 (1995).

V.V. Moiseev, V.V. Abramov, I.G. Alekseev et al.
JETP Letters 123, issue 11 (2026)

 

Laser thermonuclear fusion targets with calculated values of the volume and surface densities of compressed deuterium-tritium fuel of 200-300 g×cm-³ and 1-2 g×cm-2, respectively, are proposed for irradiating nanosecond laser pulse with an energy of 300-500 kJ, which is achievable in a modern experiment. These compression characteristics correspond to the possibility of achieving a thermonuclear gain (the ratio of the released fusion energy to the total expended energy) of 40-60 upon subsequent fast ignition with a beam of laser-accelerated protons.

The main feature of these targets is the high specific mass of deuterium-tritium fuel per unit of compressing laser pulse energy (2-3 mg×MJ-1), which is 5-7 times greater than that of a traditional spark ignition target. In addition, the fraction of absorbed energy of the 2nd harmonic Nd laser pulse is 60-70%, which is almost 2 times more than in the case of a traditional target.

Figure shows an example of scheme of two-layer shell target for fast ignition with a fuel mass of mDT =0.905 mg (a) and a time-dependence of corresponding laser pulse power (WL) and the absorbed laser flux fraction δabs (b) for pulse  energy 500 kJ.

Fig. Typical example of two-layer shell target for fast ignition with a mass of mDT =0.905 mg (a); time-dependence of laser pulse power (WL) with energy 500 kJ and the absorbed laser flux fraction δabs (b).

 

S.Yu. Gus’kov, N.N. Demchenko, R.A. Yakhin
JETP Letters 123, issue 10 (2026)

 

Wave tunneling, one of the most basic physical phenomena, appears to be especially interesting when the wave is of vectorial nature as, for instance, the light. In particular, a vector Ginzburg-Landau equation, approximately describing quasi-monochromatic optical field in a weakly non-uniform bulk Epslilon-Near-Zero medium, predicts tunneling of specific toroidal light structures between two distant potential wells.
Each structure is a weakly dissipative transverse-electric mode with angular momentum $l=1$ for a single central-symmetric well.
In contrast, the transverse-magnetic modes, although corresponding to lower "energies", are strongly dissipative under relevant physical parameters.

The optical wave is thus characterized by two complex (pseudo)vectors ${\bf C}_{1,2}(t)$, so that each vector determines the magnitude and spatial orientation of the structure in the corresponding well. Vectors ${\bf C}_1$ and ${\bf C}_2$ are coupled by tunneling interaction, with parameters differing for components along the geometric axis and across it.

The dynamics of tunneling becomes quite non-trivial when nonlinearity is also taken into account as well as dissipative effects and external pumping. It demonstrates non-uniformly
turning tors in both wells, with the wave action flowing in a non-periodic manner from one well to the other and backward.
Direct numerical simulations of the 3D Ginzburg-Landau equation confirm qualitative predictions of approximate system of ordinary differential equations.



Fig.1a-1b:
Numerical example of two configurations of the optical field differing by the magnitudes and spatial orientations of the toroidal structures.


V. P. Ruban,
JETP Letters 123(10), (2026).

The direct comparison of the properties of X-ray emission by hot plasma of solid target, driven by nano-, pico- and femtosecond laser radiation was performed for the first time. The transition from highly uniform angular distribution of X-rays to the relatively narrow spread along the target normal and laser reflection direction was revealed at the shortening of laser pulse from nanosecond to femtosecond range. The observed result is related to the fundamental differences in the electrons energy gain mechanisms and X-rays generation process typical for laser pulses with varied duration and peak intensity. The absolute yield of broadband X-rays in the range from ~0.5 keV to a few hundreds of keV was measured, providing an insight on the conversion of laser pulse energy into high energy quanta. The observed results are important for the efficient utilization of laser-plasma sources for radiography, backlighting of ultrafast phenomena etc.

Figure. Angular distribution of X-ray dose F emitted by plasma driven by nano-, pico- and femtosecond laser pulses. 90o corresponds to target normal.

 Bolkhovitinov E.A. et al.,
JETP Letters 123, issue 9 (2026)

 

 

Imagine a crystal where an electron, having completed a full loop in momentum space, returns not to its original state but to its mirror reflection. This is not abstract geometry, but the physical reality of the band structure predicted in our new work on heterostructures based on topological insulators.

In the paper, we propose an effective model of a layered system consisting of alternating quasi-one-dimensional strips of topological and normal insulators. The key feature of this construction is the presence of a specific non-symmorphic projective symmetry. We demonstrate that this symmetry forces the energy bands to behave as a topological Möbius surface (and in the full three-dimensional picture, as a Klein bottle).

What does this offer condensed matter physics? First, the Möbius band topology guarantees the emergence of symmetry-protected Dirac points in both gapped and gapless phases. Second, and more intriguingly, when introducing controlled dissipative effects (non-Hermiticity), this geometry gives rise to a topologically protected non-Hermitian skin effect. Unlike standard mechanisms, the localization of states at the sample edges here is dictated by the Möbius connectivity of the bands—electrons become "trapped" at the surface for fundamental symmetry reasons. This opens new avenues for controlling wave packets in real devices.

This result will be of broad interest to researchers working on topological phases, quantum geometry, and open quantum systems.

 

Figure 1. Schematic of the proposed heterostructure. (a) 3D visualization: a stack of quasi-1D strips shifted (step-stacked) relative to each other. Each strip consists of alternating ribbons of 2D topological (TI) and normal (NI) insulators. Intralayer ($\Delta _1, \Delta _2$) and interlayer ($\Delta $) hopping integrals between edge modes (marked with A and B) are shown (b) Side-view equivalent, illustrating the 2D periodicity. The system possesses non-symmorphic projective translation symmetry – reflection $M_x $ and a half-period shift along Z (in the basis (1,2)). Translational invariance along X is broken by dimerization (sublattices A and B). (c) Difference between mirror reflection of chiral and trivial dimers.

 

Z.Z. Alisultanov
JETP Letters 123, issue 9 (2026)

 

In altermagnets, the concept of spin-momentum locking was extended to the case of weak spin-orbit coupling. As a result, the small net magnetization is accompanied by alternating spin splitting in the k-space. Consequently, an altermagnet sometimes behaves as an antiferromagnet, and sometimes as a ferromagnet, depending on the crystal-field or interface-crystal relative orientations.

Spin-momentum locking is a key feature not only of altermagnets, but also of a large class of topological materials, where it is responsible for the spin polarization of the topological surface states. In proximity topological devices, spin-polarized surface states lead to the different realizations of the Josephson diode effect.

 

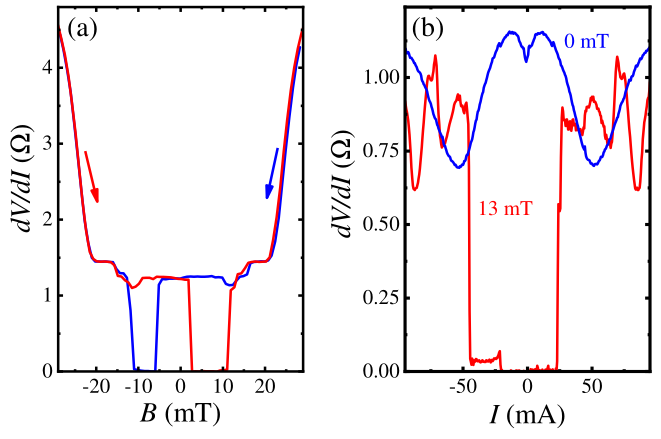
Experimental investigations of the Josephson current asymmetry can be conveniently performed for CrSb, which reveals both altermagnetic and topological features. Here, we experimentally investigate charge transport in In-CrSb and In-CrSb-In proximity devices, which are formed as junctions between superconducting indium leads and thick single crystal flakes of altermagnet CrSb. For double In-CrSb-In junctions, dV /dI(B) curves are mirrored in respect to zero field for two magnetic field sweep directions, which is characteristic behavior of a Josephson spin valve. Also, we demonstrate Josephson diode effect by direct measurement of the critical current for two opposite directions in external magnetic field. We interpret these observations as a joint effect of the spin-polarized topological surface states and the altermagnetic spin splitting of the bulk bands in CrSb. For a single In-CrSb interface, the superconducting gap oscillates in magnetic field for both field orientations, which strongly resembles the Fulde-Ferrell-Larkin-Ovchinnikov (FFLO) behavior. FFLO is based on finite-momentum Cooper pairing, therefore, it is fully compatible with the requirements for the Josephson diode effect.


 

(a) Josephson spin-valve effect as the dV /dI(B) curves reversal for two opposite magnetic field sweep directions at 30 mk temperature. The zero-resistance region is not only shifted to finite magnetic fields, but the dV /dI(B) curves are mirrored in respect to zero field,
including regions with finite resistance. (b) dV /dI(I) curves after magnetization of the sample. Differential resistance is always finite at zero field now, but there is wide zero-resistance region at 13 mT magnetic field.

 

 

Esin V.D. et.al,
JETP Letters 123, issue 8 (2026)
 

 

The observation of the Anomalous Hall Effect (AHE) in collinear antiferromagnets, despite their vanishing net magnetization, has been a subject of significant interest. The existence of a pseudovector that is responsible for AHE in collinear antiferromagnets is tightly connected with  the existence of the Dzyaloshinskii's invariant in the system. While all such invariants in collinear antiferromagnets have been understood for all symmetry classes, the microscopic mechanism of AHE in collinear antiferromagnets is still under research.

In this work we provide a microscopic basis for AHE in all relevant types of collinear and compensated antiferromagnets known to exhibit this effect. We show that such antiferromagnets are collinear weak ferromagnets and collinear ferrimagnets. Although, it is typical to think of weak ferromagnets as antiferromagnets with canted Néel order, in reality weak ferromagnets can have a collinear Néel order with the pseudovector consistent with the Dzyaloshinskii's invariant carried by either conducting fermions or magnons. In addition, we uncover a distinct class of ferrimagnets in which the direction of the pseudovector derived from the Dzyaloshinskii's invariant is parallel with the direction of the Néel order. The 

We show that main ingredients behind the AHE in collinear antiferromagnets are shown to be the spin-orbit coupling and spin-splitting of conducting fermions, both derived from the symmetries that allowed for the Dzyaloshinskii's invariant in the system.

There are more weak ferromagnets in Nature than the collinear antiferromagnets without the Dzyaloshinskii's invariant. Typical examples of weak ferromagnets are RuO$_2$, CrSb, CoF$_2$, NiF$_2$, $\alpha$-Fe$_2$O$_3$, MnTe, LuFeO$_3$, MnF$_2$, CoCO$_3$ and many more. Some weak ferromagnets are metallic and some insulating.

 

 

Figure 1: A minimal models of a collinear N\'{e}el ordered d-wave antiferromagnet on a square lattice, ferrimagnet on a square lattice and weak ferromagnet on rutile lattice, illustrating the magnetic (±m) and non-magnetic (green, purple and cyan) sites. This lattice geometry, along with specific symmetry breaking, underpins the emergence of AHE.

 

V. P. Golubinskii  and V. A. Zyuzin
JETP Letters 123, issue 5 (2026)


 

 

In quantum theory, both quantum mechanics and quantum field theory, symmetries of the action or Hamiltonian play a huge role. Symmetries can be either continuous and local, like gauge symmetry in quantum field theory, or discrete and global. In the case of quantum field theory, phase transitions occur when the parameters of the theory (temperature) change, violating the original symmetries. The properties of an effective theory in different phases turn out to be fundamentally different. The simplest example illustrating this is the 2D Ising model, in which a second-order phase transition occurs. In the high-temperature phase, the average magnetization is zero, $Z_2$ symmetry is preserved, while in the low-temperature phase, the $Z_2$ symmetry is broken and the average magnetization is nonzero.

 

In this paper, we study discrete quantum gravity defined on a 4D irregular lattice (simplicial complex). This theory is a mathematical model of the following physical idea: at extremely small scales, space-time exhibits granularity.

The model includes gravitational degrees of freedom as well as a Dirac fields $\Psi_{\cal V}$ and $\Psi^{\dagger}_{\cal V}$. The bare action of the theory has a global discrete $Z_4$ symmetry. The fermionic part of this action, which is bilinear relative to Dirac fields, can be rewritten in terms of effective fermionic variables $\Phi_{\cal V}$ and $\Phi^{\dagger}_{\cal V}$. These are linear combinations of the Dirac field and its conjugate at each vertex of the lattice. It can be said that the effective Dirac variables are analogous to the quasiparticle operators in superconductivity theory, constructed using Bogolyubov transformations.

A peculiarity of the construction of effective fermion operators in the lattice theory of gravity is the following fact: "particle" operators $\Phi_{\cal V}$ are invariant under $Z_4$ transformations, but their Hermitian conjugate operators $\Phi^{\dagger}_{\cal V}$ are transformed according to the simplest non-trivial representation of the group $Z_4$.

In the model under study, high-temperature expansion is correct at the highest temperatures.

As in the Ising model, it is established in this way that at the highest temperatures a $Z_4$-symmetrical phase occurs. As the temperature decreases, the $Z_4$ symmetry is broken down to its $Z_2$ symmetry subgroup. The order parameter here is the contribution to the lattice action, which transforms into the Hilbert-Einstein action in the long-wave limit. This contribution preserves $Z_2$-symmetry, but it breaks the $Z_4$-symmetry.

As the temperature decreases further, another phase transition occurs, breaking the $Z_2$-symmetry. The corresponding order parameter is a tetrad, the mean of which becomes nonzero. Spacetime emerges.


S.N. Vergeles
JETP Letters 123, issue 3 (2026)

In recent years, there has been a surge of interest in developing new approaches to improve the efficiency of existing computational methods or create fundamentally new paradigms. A particularly promising way is the shift from digital computing schemes to analog systems. One such physical system capable of emulating the structure of artificial neural networks are the diffractive neural networks. In this architecture, computation occurs passively and at the speed of light as a coherent wavefront propagates through spatially engineered diffractive layers, performing predetermined operations. However, successfully offloading computations onto an analog physical platform presents a significant challenge: it requires precise and accurate mathematical modeling that faithfully accounts for all the intricacies of the physical implementation.  Any discrepancy between the numerical model and the real-world system can lead to computational errors and degraded performance.

In this work, we directly address this challenge. We experimentally validate the correctness of our numerical modeling framework for a Fourier-diffractive neural network, in particular, we check the fidelity of using the fast Fourier transform to calculate the propagation of light in free space and its interaction with the lens and directly demonstrate the legitimacy of using the pixel of the phase mask as a weighting factor of the neural layer. Furthermore, we perform a comprehensive numerical investigation into how the exact geometry of the optical system influences the final accuracy of the computations. This study provides essential insights and design rules for bridging the gap between theoretical models and robust, high-fidelity physical mplementations of optical neural networks.

 

Konovalova A., Popkova A., Baluyan T., Fedyanin A.
JETP Letters 123, issue 2 (2026)

In recent years, there has been great interest in the intense plasma flows generated by plasma focus facilities, which are widely used in various fields. In particular, laboratory experiments on modeling astrophysical jets developed, for which plasma focus facilities also proved to be in demand [1].
However, there has not been an unambiguous point of view on the mechanisms of flow launch until now. The most popular mechanisms were cumulative plasma outflow either at the stage of compression of the plasma current sheath (PCS) to the axis, or during the development of constrictions already on the body of the formed pinch [2, 3]. The paper presents experimental data and a theoretical model that make it possible to formulate a fundamentally new look on the physics of the launching mechanism of plasma ejection in a plasma focus discharge.

Experimental studies of the stage of the plasma jet generation at the ISPF-M plasma focus facility at the Kurchatov Institute have shown that the source of the plasma outflow propagating along the axis of the discharge system is a local region inside the PCS in its upper part. It shows that the plasma bunch moves in a well-defined direction upward from the anode, rather than in symmetrical directions, which would be expected, for example, when plasma flows out of a pinch constriction. A characteristic feature of this region is the presence of a radial component of the electric current, which leads to the appearance of a vertical component of the plasma velocity due to Ampère force. Already at the initial stages of the plasma bunch movement, it has a supersonic character, which leads to the formation of a shock wave. In this case, the upper boundary of the PCS is destroyed, which can lead to the reconnection of magnetic field lines and currents and the formation of a compact plasma bunch with a trapped magnetic flux propagating along the axis of the system, in accordance with the model formulated in [4].

 

The shadowgram of the discharge in argon at the second harmonic of the Nd:YAG laser (532 nm) 40 ns after the peak of the derivative of the discharge current corresponding to the phase of maximum pinch compression (a) and the shadowgram of the discharge in hydrogen at the fundamental harmonic (1064 nm) 29 ns (b) and 62 ns (c) after the peak of the derivative.

  1. V.S. Beskin, V.I. Krauz, S.A. Lamzin, Physics – Uspekhi 66, 327 (2023).
  2. N.V. Filippov, et al., Applied Physics (Prikladnaya Fizika) 5, 43 (1999).
  3. S. N. Polukhin, at al. Plasma Physics Reports 46, 127 (2020).
  4. K.N. Mitrofanov et al. JETP 119, 2010 (2014)

 

V. Krauz, V.  Beskin, M. Medvedev,  A. Kharrasov, V. Myalton
JETP Letters 122, issue 10 (2025)

 


 

 

High-luminosity collider NICA operation for study of the gluon contribution to the nucleon spin will require very high intensity of the primary polarized proton and deuteron beams out of the source. A new technique is proposed for the polarized source upgrade as an important step to achieve designed NICA luminosity. It is based on the effect of the target thickness increase with transverse injection of the polarized atomic beam into the storage cell of the charge-exchange plasma ionizer. The atomic beam ionization is produced in charge-exchange collisions of atomic beam with ions in plasma jet. The atomic beam in the existing source is injected into the ionizer cell in longitudinal direction and produced beam is extracted in the backward direction [1,2]. Transverse injection of the atomic beam into the storage cell will eliminate a number of limitations inherent to the longitudinal injection configuration and deliver the beam intensity and polarization out of the source to obtain the high luminosity in the NICA collider.

 

Schematic layout of a polarized source with transverse injection of atomic beam into the T-shape storage cell.

 

In this scheme, a polarized atomic beam is injected into the storage cell perpendicularly to the direction of the plasma jet and the magnetic field axis of the ionizer solenoid. The plasma is generated in an arc discharge generator with a cold cathode and injected into the storage cell along the magnetic field axis. Polarized ions produced in the storage cell are held in the radial direction by a magnetic field and move to the electrode of the ion-optical system, in which polarized and non-polarized ions from the plasma are accelerated. The distance between the source of polarized atoms and the entrance to the storage cell in this scheme is significantly reduced compared to longitudinal injection, since the bending magnet and the ion extraction electrode system are not in the path of the atomic beam. The diameter of the emission electrode in this scheme is determined by the diameter of the plasma jet and can be reduced, resulting in a corresponding decrease in emittance of the beam. The energy of the extracted ions can be increased.  since the size of the bending magnet and of the ion-optical system  do not affect the atomic beam intensity. All these factors combined should produce about ten-fold increase of the beam quality factor:  QF= I·P22, where I -is the beam intensity, P- polarization, Ԑ – transverse emittance- to meet NICA luminosity design goal.

[1] A.S. Belov, D.E. Donets, V.V. Fimushkin, A.D. Kovalenko, L.V. Kutuzova, Yu.V. Prokofichev, V.B. Shutov, A.V. Turbabin and V.N. Zubets,  J. Phys..: Conf. Ser. 938, 012017 (2017). doi:10.1088/17426596/938/1/012017

[2] A.S. Belov, AIP Conf. Proc. 980, 209 (2008).  doi:10.1063/1.2888089

A.C. Belov, A.N. Zelenski, K.A. Ivshin, M.V. Kulikov, V.A. Lebedev, A.N. Solov'ev, E.M. Suresin, Yu.N. Filatov, V.V. Fimushkin
JETP Letters 122, issue 8 (2025)

 

According to the conventional definition the Fermi surface in momentum space surrounds the positions of occupied particle states at zero temperature. This definition has the clear meaning  for the system of noninteracting Fermi-particles in the absence of inhomogeneities. 

In the presence of interactions the Fermi surface may be defined as the position of the poles of the Green function in momentum space. This definition is more general but it still cannot be applied in the presence of disorder or other sources of inhomogeneities. Then instead of the Green's function depending on momentum we can consider the Wigner transformed Green's function depending both on momentum and on coordinates. Its singularities in momentum space (or singularities of certain quantities composed of it) may   be considered as the space dependent Fermi surface. 
In the homogeneous systems the topological invariant responsible for the stability of the Fermi surface (or Fermi point) is composed of the one-particle Green function $G(p)$. It has the form of an integral along the three – dimensional hypersurface embracing the Fermi surface/Fermi point in momentum space. This expression may be extended to the case of the inhomogeneous systems. Then the form of the given expression is similar to that of the homogeneous system. There the Green's function $G(p)$ should be replaced by the Wigner transformed Green's function $G_W(p,x)$, and the ordinary products are to be replaced by the Moyal products $\star$. The integration over the coordinate space is to be added, while integration in momentum space should be performed along the hypersurface surrounding the positions of Fermi surfaces. Unlike the case of homogeneous system, in general case of the inhomogeneous system we cannot restrict integration to the compact hypersurface. It may have the form of the two hyperplanes of opposite orientations with constant Matsubara frequency $p_4= ±\epsilon$  ($\epsilon \to 0$, it is supposed that the Fermi surfaces are situated between these two hyperplanes):
\begin{eqnarray}
    {\cal N}&&
    =  {-} \frac{\epsilon_{ijk4}}{ |{\bf V}| \,3!\,4\pi^2}\, \int d^3x \int  d^3p
    \, {\rm tr}\, \hat{T} {G}_{W}(x,p )\nonumber\\&&\star \frac{\partial {Q}_{W}(x,p )}{\partial p_i} \star \frac{\partial  {G}_{W}(x,p )}{\partial p_j} \star \frac{\partial  {Q}_{W}(x,p )}{\partial p_k}
    \label{calM2d230I}
\end{eqnarray}
By $Q_W$ we denote the Weyl symbol of Dirac operator that is a solution of equation $Q_W  \star G_W=1$. Here $\bf V$  is the volume of the given system,  $\hat T$ is a symmetry matrix that commutes with both $Q_W$ and $G_W$. The above expression may also be rewritten in the form of an integral over infinite hypersurface $\Sigma$ embracing the Fermi surface that appears as deformation of the two hyperplanes mentioned above. 

There are certain questions concerning the above defined quantity. First of all, for the Dirac fermions with $\hat{T} = \gamma^5$  it enters expression for the conductivity of the chiral separation effect. Next, if the system may be continuously deformed to the uniform one, this topological invariant is reduced to the previously known quantity composed of the one-particle Green's function $G(p)$. In this case the nontrivial value of $\cal N$  is obtained due to the matrix structure of the Green's function and reveals analogy with the degree of mapping. An important question is whether exist the systems, in which the nontrivial value of $\cal N$  is not due to the matrix structure, but due to the spatial dependence of $G_W (p,x)$. We give examples of such systems in the present paper. Besides, there are certain (still unsolved) pure mathematical questions concerning the above mentioned expression of $\cal N$ itself. We are trying to address some of these questions as well. 

It is worth mentioning that the present paper does not represent the exhaustive description of all issues related to the given topological invariant. These issues still await their investigation. 


 

M. Zubkov
JETP Letters 122, issue 8 (2025)

 

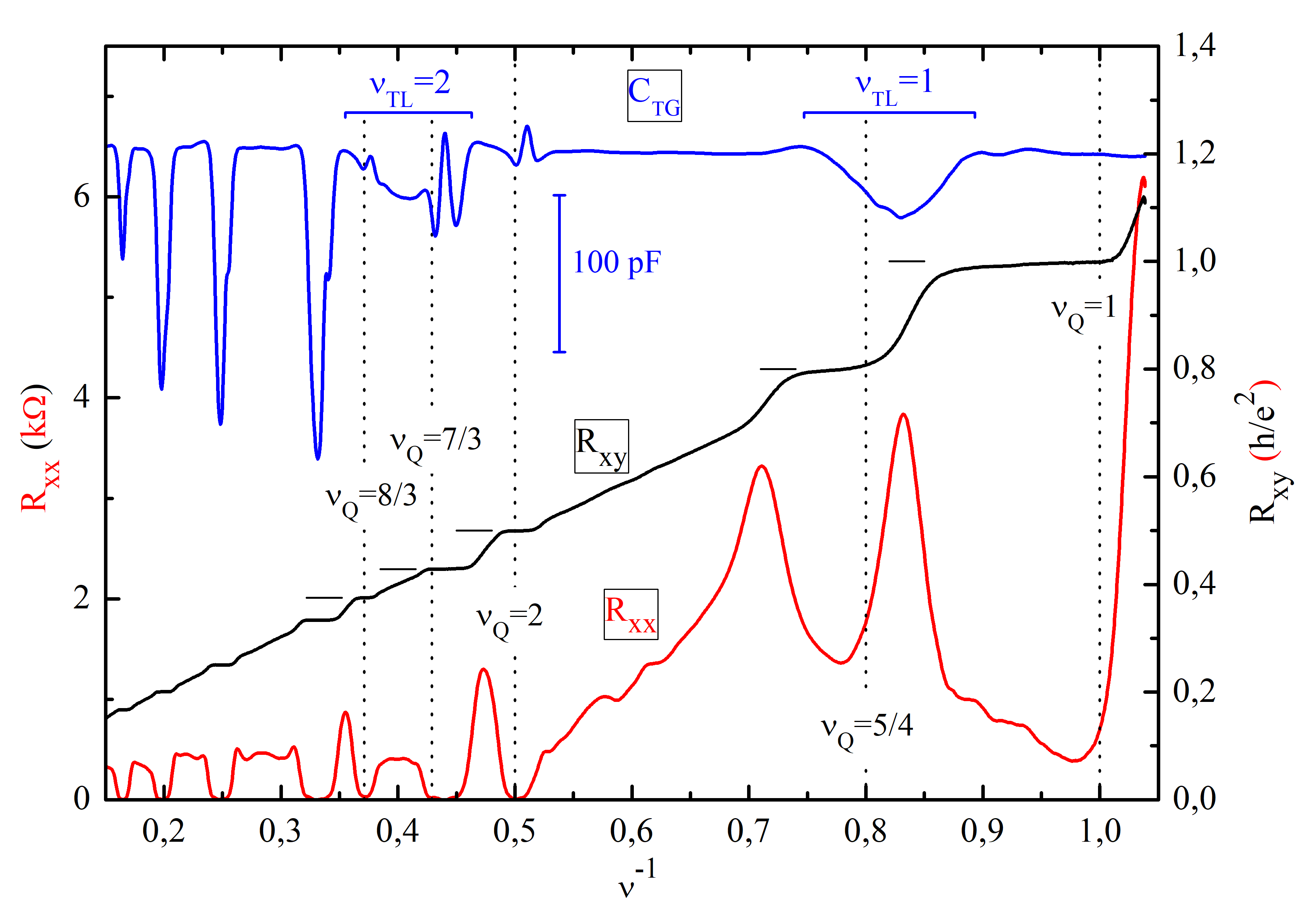
Fractional quantum Hall effect states at total Landau level filling factors $\nu=\nu_{\rm Q}=8/3$, 7/3, 4/3, and 5/4 were investigated in a bilayer electron system created in a wide (60 nm) GaAs quantum well placed between two field electrodes (gates). It was found that these fractional states appear or greatly enhance when a magnetic field is tilted from the normal to the plane of the electron system and integer quantum Hall effect states at $\nu=\nu_{\rm Q}=1$ and 2 become essentially weaker or even disappear. Using a new experimental technique consisting of simultaneous measurements of the magnetoresistance and Hall resistance, as well as two capacitances between the gates and the electron system [1, 2], we have established that these fractions arise under conditions when an incompressible state is realized in the layer with a higher electron density at filling factors in this layer $\nu_{\rm TL}$ equal to 2 and 1. This observation allows the interpretation of fractional states at filling factors $\nu_{\rm Q}=8/3$, 7/3, and 4/3 as combinations of incompressible states of the integer quantum Hall effect in one layer and the fractional quantum Hall effect in the other layer (8/3=2+2/3, 7/3=2+1/3, 4/3=1+1/3). The state of the fractional quantum Hall effect at a total filling factor of 5/4 with an even denominator cannot be interpreted in this way [3] and indicates the existence of unexplored effects of interlayer electron correlation when incompressible state at a filling factor of unity exists in one of the layers. It has been established that incompressible states at $\nu_{\rm TL}=2$ and 1 are broadened in the magnetic field due to the redistribution of electrons between the layers, as a result of which, within one such state, two different fractional quantum Hall effect states can be observed (states at total filling factors $\nu_{\rm Q}=7/3$ and 8/3 in the figure).

The magnetoresistance $R_{\rm xx}$, Hall resistance $R_{\rm xy}$, and magnetocapacitance $C_{\rm TG}$ between the top gate and the electron system versus inverse value $\nu^{-1}$ of the total filling factor $\nu$, which is proportional to the magnetic field component perpendicular to the system. The vertical dashed lines mark the expected positions $\nu_{\rm Q}$ of several quantum Hall effect states. The values of the quantum plateaus $R_{\rm xy}=\nu_{\rm Q}^{-1}h/e^2$ for these states are shown by the horizontal segments. The horizontal brackets mark the broad magnetocapacitance minima corresponding to incompressible states in the top electron layer at filling factors $\nu_{\rm TL}=2$ and 1. The tilt angle is equal to $45^{\circ}$, temperature $T=45$~mK.

 

1. S. I. Dorozhkin, A. A. Kapustin, I. B. Fedorov, V. Umansky, K. von Klitzing, and J.H. Smet, J. Appl. Phys. 123, 084301 (2018)
       2. S. I. Dorozhkin, A. A. Kapustin, I. B. Fedorov, V. Umansky, and J.H. Smet, Phys. Rev. B 102, 235307 (2020)
       3. S. I. Dorozhkin, A. A. Kapustin, I. B. Fedorov, V. Umansky, and J.H. Smet, JETP Lett. 117, 68 (2023)

 

S. I. Dorozhkin, A. A. Kapustin,  and J.H. Smet
JETP Letters 122, issue 7 (2025)

The superfluidity of 3He is associated with Cooper pairing of particles with a total orbital angular momentum and spin equal to 1. This allows the existence of superfluid phases with different structures and properties. However, in pure 3He in the absence of magnetic field, only the A and B phases are realized. When 3He is placed in a magnetic field, another phase, the so-called A1 phase, becomes accessible. The region of existence of the A1 phase is linear with respect to the field. Another method for the creation of new phases is the controlled introduction of impurities, which can be achieved by highly porous aerogels. Aerogel is a material consisting of solid strands whose size is much smaller than the distance between them.

When experiments are conducted in pure 3He in nematic aerogel, a pure A phase (instead of the polar phase which is favorable when the aerogel strands are covered with ~3 atomic layers of 4He) is realized with the superfluid transition temperature being noticeably suppressed [1]. Nematic aerogel consists of strands nearly parallel to one another. In pure 3He in aerogel, the transition temperature should also split in magnetic field, but the splitting is expected to be nonlinear at fields below the spin saturation field (~2 T) due to the influence of magnetic scattering [2].

Various resonators, such as a vibrating wire, can be used to study superfluid 3He. Its resonance parameters are determined by the properties of both the wire and the surrounding medium. In experiments with 3He, an aerogel sample is glued to such a vibrating wire. Liquid 3He fills the space between the aerogel strands, causing the resonance parameters to also depend on the properties of the liquid within the aerogel.

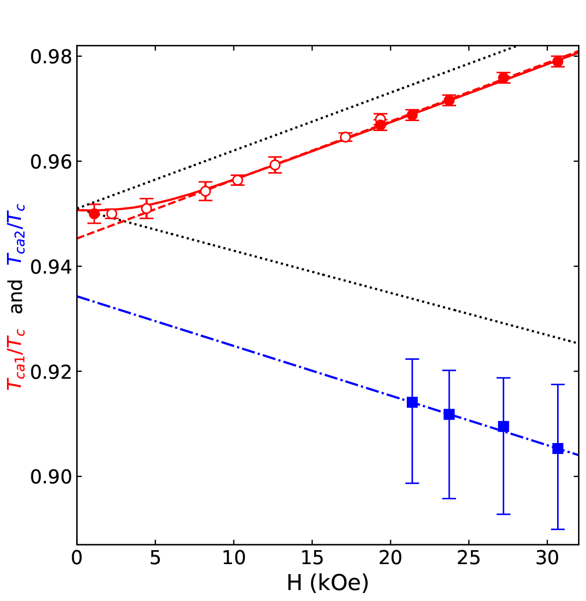
In the case of an anisotropic aerogel sample, in addition to the main mechanical resonance of the vibrating wire, a second oscillation mode is also observed. This mode is analogous to the second sound and arises from mutual oscillations of both the normal and superfluid components within the aerogel sample. In the series of experiments, scanning over a wider frequency range allowed us to measure the temperature dependences of the parameters of both resonance modes. Using the data, we were able to study the temperature dependence of the upper transition Tca1 over a wide range of magnetic fields, and we also managed to detect the lower transition Tca2 (from the A1 to the A2 phase) using high magnetic fields up to 3 T, which was not the case at fields <2 T [3].

The A1–A2 splitting in pure 3He in nematic aerogel in magnetic field. The circles correspond to Tca1 (open circles are from [3]), the squares correspond to Tca2. The solid line is the best fit with theoretical model of [2], the dashed line is a linear extrapolation of the high-field Tca1 data to a zero field, and the dash-dotted line is a linear fit of the Tca2 data. Dotted lines correspond to the A1–A2 splitting in bulk 3He scaled to a superfluid transition temperature of 0.95Tc, where the superfluid transition temperature in bulk 3He Tc = 2.083 mK.

 

[1] V.V. Dmitriev, A.A. Soldatov, and A.N. Yudin, Phys. Rev. Lett. 120, 075301 (2018).

[2] G.A. Baramidze and G.A. Kharadze, J. Low Temp. Phys. 135, 399 (2004).

[3] V.V. Dmitriev, M.S. Kutuzov, A.A. Soldatov, and A.N. Yudin, Phys. Rev. B 107, 024507 (2023).

 

V. V. Dmitriev, M. S. Kutuzov, D. V. Petrova, A. A. Soldatov, A. N. Yudin,
JETP Letters 122, issue 7 (2025)

 

One prominent phenomenon in relativistic nucleus-nucleus collisions is jet quenching due to medium-induced partonic energy loss. The observable most directly associated with jet quenching is the suppression of the yield of hadrons with a high transverse momentum pT, which is quantified by the nuclear modification factor, RAA (pT, η). It is defined as the ratio of the inclusive single-hadron yield per unit pseudorapidity η in AA collisions to the corresponding yield in pp collisions, scaled by the average number of binary nucleon-nucleon collisions. In this paper, we investigate the double nuclear modification factor, which was introduced in [1], to simultaneously probe initial and final state effects. We consider a more general case where both hard particles experience energy loss. The hypothesis of the factorization of this factor

 

RAA (pT1, η1; pT2, η2) = FRAA (pT11)RAA (pT22)

 

is tested for different types of final-state hadrons within the framework of the HYDJET++ model.

 

Fig.1 The dependence of the ratio F of the double and the product of single nuclear modification factors on the minimum value of the hadron transverse momentum pT .

 

The deviation F from factorization of the production pions in association with kaons and (anti-)protons as well as the production of kaons in association with (anti-)protons was calculated for central PbPb collisions at center-of-mass energy 5.02 TeV per nucleon pair (Fig. 1). Results indicate that the hypothesis of factorization holds reasonably well at moderately high pT, provided that the effects of double parton scattering can be small or neglected. However factorization violation starts to show at very high pT. This supports the conclusion that measurements of the double nuclear modification factors offer significant potential for further investigations.

[1] S.P. Baranov, A.V. Lipatov, M.A. Malyshev, and A.M. Snigirev, JETP Letters 119, 823 (2024)

 

A. S.Chernyshov, I.P. Lokhtin, A.M. Snigirev
JETP Letters 122, issue 5 (2025)

 

At present, the generally a epted and widely used prop erty of multiparti le amplitudes is the absen e of simultaneous dis ontinuities of amplitudes in energy invariants of overlapping hannels. To justify this prop erty, the Steinmann relations are used. The pap er shows the presen e of su h dis ontinuities and the illegitima y of using the  teinmann relations to prove their absen e. In the ase of infrared singular parts of the amplitudes, the existen e of the simultaneous dis ontinuities is ompletely natural. But it is not limited to su h parts, and is not limited to the existen e of infrared singularities at all, but o urs also in their absen e. The pap er demonstrates the existen e of simultaneous dis ontinuities in the $s_{12}$ and $s_{23}$ hannels for the amplitude with three parti les in the nal state shown in the gure.

The existen e of simultaneous dis ontinuities means that the urrently a epted form of multi-Regge amplitudes is in orre t and should b e taken into a ount when deriving the BFKL (Balitsky-Fadin-Kuraev-Lipatov) equation in the higher approximations.

 

V. Fadin
JETP Letters 122, issue 4  (2025)

Contrary to their name, black holes in fact glow. According to Stephen Hawking’s famous result, black holes radiate energy and have a temperature. But where does this temperature come from?

In our research, we show that this strange heat of spacetime has a surprisingly topological origin. That is, it depends not just on the local properties of gravity, but on the global shape of spacetime itself. The Big Idea: Curvature Meets Topology.Every object-whether a donut or a sphere-has a property called the Euler characteristic. It's a number that tells you something deep about the object's shape. For example: A sphere has Euler characteristic 2, A donut (torus) has Euler characteristic 0. Our breakthrough is this: the temperature of spacetime horizons (like those around black holes or inside an expanding universe) is related to their Euler characteristic. We prove this using a powerful mathematical tool: the Chern-Gauss-Bonnet theorem, which links curvature and topology. But to apply it to spacetimes, we have to use a clever trick called Wick rotation--a way of turning time imaginary to smooth out the geometry. 


Black holes are examples of phenomena known as causal horizons - which are boundaries in spacetime across which events cannot influence each other due to the finite speed of light. These occur across many various spacetimes, and comprise an interesting intersection between gravity, quantum field theory, and thermodynamics. In the case of the Schwarzschild and de Sitter spacetimes, we find this connection can be characterised by the well-known Wick rotation (also known as analytic continuation) where $t \to i\tau$ and the resulting periodicity becomes $\tau \sim \tau + 2\pi \beta$. This periodicity in the Euclidean time $\tau$ is an indication of a non-trivial thermal state present within the spacetime - with temperature $T_H = 1/\beta$ - indicating a uniform radiation flux from the horizon. 

By applying the Wick rotation to these two well-studied phenomena:

  1. 1. Schwarzschild Black Hole: A simple, non-rotating black hole. Its Euclidean version looks like a disc (D²) crossed with a sphere (S²). Its Euler characteristic is 2, and we show that the Hawking temperature is directly related to this number. 
  2.  2. de Sitter Universe: A model of a universe filled with dark energy. Here too, Wick rotation gives us a compact space, and again the Euler characteristic determines the temperature-in this case, the Gibbons-Hawking temperature. 



This argument from Wick rotation places primary emphasis on the thermal properties of fields within spacetime. However, the analytic continuation $t \to i\tau$  and resulting angular compactification in $\tau$ is a non-trivial geometric operation that enforces global constraints on the topology of the manifold. For instance, in the case of de Sitter, this procedure maps the non-compact hyperbolic spacetime to the compact 4-sphere. The consequences of this from the geometric perspective are considerable: various integrals over scalars formed from the Riemann curvature are now guaranteed to converge (while before Wick rotation they automatically diverged in time $t$) to topological integers.


Fig.1 Under Wick rotation de Sitter space is transformed into an $S^4$ sphere  while  Black hole - into the product of disk and 2D sphere: $D^2\times S^2$. Both have Euler characteristic $\chi=2$}

 


Here we demonstrate that these considerations lead to a natural topological origin for horizon thermodynamics. For both Schwarzschild and de Sitter spacetimes, the temperature of the spacetime horizon is shown to be inversely proportional to the Euler characteristic $\chi$ (a topological integer) of the manifold after the Wick rotation and Euclidean time periodicity are performed. In addition, for de Sitter this framework explains topologically the origin of the discrepancy between the two physical temperatures discussed extensively by G. Volovik, A. Polyakov and others. Therefore, while the thermal field theory perspective is computationally powerful in quantifying horizon dynamics, the latter is in fact the consequence of a duality between the causal structure of a spacetime and the global topology of its analytical continuation. 

So why does it matter? This topological approach gives us: 

  •  A unified framework to understand horizon temperatures.
  •   A new geometrical insight into why time becomes periodic near a horizon.
  •   A profound link between heat and shape-suggesting that spacetime itself may know its temperature because of its topology. 


In short, we show that temperature is not just about energy-it's about the shape of space itself.

Hughes J.C.M. and Kusmartsev F.V. 
JETP Letters 122, issue 4 (2025)

 

This work presents the results of direct numerical simulation of gravity water wave turbulence within a fully nonlinear plane-symmetric model. We show that in 1D geometry, the spectrum of weak turbulence of plane gravity waves generated by five-wave resonant interactions (suggested in [1]) is not realized. Instead of that, the main contribution to turbulence is due to wave breaking, which produces a power-law spectrum in both the frequency range and the wavenumber space with the same exponent equal to −4, see Fig.1. To our knowledge, our results represent the first direct numerical confirmation of the strong turbulence spectra predicted in [2]. In strongly nonlinear regime, the calculated probability density function (PDF) for the surface gradient has power-law tails with exponents close to −7/2, which indicates intermittency in turbulence.

Fig.1. The calculated frequency and spatial spectra of surface perturbations compared to the power-law dependencies ω-4 and k-4.

 

1. A.I. Dyachenko, Y.V. Lvov, V.E. Zakharov, Physica D 87(1-4), 233(1995)

2. E.A.Kuznetsov, JETP Lett. 80(2) ,83 (2004)

 

 

E.  Kochurin and E. Kuznetsov
JETP Letters 122, issue 4 (2025)

The work proposes an analytical theory of nonlinear generation of large-scale magnetic turbulence in collisionless plasma with an anisotropic velocity distribution of particle in the presence of an external magnetic field. Based on the results of the dispersion analysis of the Weibel-type instability in magnetoactive collisional plasma, and with use of the quasilinear approach, a system of equations describing the evolution of the mean-square magnetic-field energy density of small- and large-scale components of the turbulent field is obtained.

It is shown that, even in the absence of interparticle collisions, anomalous collisions of particles due to scattering on small-scale magnetic fluctuations lead to instability of long-wave harmonics, which are stable in the linear approximation. The non-linear growth of such harmonics at a given anisotropy of the particle velocity distribution, consistent with the dynamics of short-wave perturbations at the saturation stage and possible anisotropic particle injection, occurs in the superexponential regime and corresponds to an explosive-type instability (Fig. 1).

The growth law of the large-scale magnetic field is found analytically and the critical time of explosive instability is estimated. This type of fundamental plasma process is expected in a number of transient phenomena in laboratory and astrophysics, e.g., in accretion disks and jets, in stellar winds and coronal flares, in collisionless shock waves and laser ablation processes.


Fig.1 Time dependence of the mean-square magnetic-field energy density $w$. The dotted and dash-dotted lines are numerical solutions for small- and large-scale components of the turbulent field, and the blue and red solid lines are analytical solutions, respectively. A formal explosion takes place at a normalized time $\tau_c$.

 

N.Emel’yanov and V.V.Kocharovskii
JETP Letters 122, issue 2 (2025)

 


This work presents a theoretical method to estimate the transparency of grain boundaries in granular superconducting films. The study is motivated by the need to better understand how grains boundary influence
the superconducting properties and vortex physics in such materials. Scanning tunneling microscopy (STM) allows high-resolution measurement of the local density of states (LDOS) in superconductors, revealing variations related
to Abrikosov vortices and grain boundaries.
Physical Picture. Vortices in thin superconducting films are strongly affected by the transparency of grain boundaries. Vortex cores can be pinned at the boundaries or inside the grains. The spatial variation of the
superconducting order parameter and LDOS around vortex cores reflects these pinning scenarios.
Theoretical Model. The film is modeled as a network of cylindrical grains with boundaries of finite transparency, characterized by a boundary resistance parameter 𝑅𝐵 . The first scenario is considered when the
vortex is located in the grain center. The Usadel equations for dirty superconductors are solved in the circular cell approximation, with appropriate boundary conditions accounting for interface transparency. Numerical Results. Calculations show that the order parameter and shielding current density exhibit sharp
jumps at grain boundaries, the magnitude of which depends on the interface transparency and the grain size. The LDOS also changes abruptly at the boundary, with the difference between LDOS values on both sides of the
interface serving as a direct measure of boundary transparency.
Experimental relevance. The approach provides a practical route to extract an information about intergranular transparency from STM measurements of the LDOS near vortices in granular films. It is shown that boundaries located several coherence lengths from the vortex center provide the most sensitive data for this estimation. The developed method offers a way to diagnose the electronic quality of grain boundaries in superconducting films, which is crucial for optimizing performance of superconducting electronics and devices. The figure shows Abrikosov vortex in a cylindrical grain (left) and the dependencies of the magnitude of the
screening current density J on the distance r from the vortex core for various grain sizes.

 

Khapaev M.M., Kupriyanov M.Yu., Golubov A.A., Stolyarov V.S.
JETP Letters 122, issue 2 (2025)

The magnetic bubble domains in iron garnet films, the time-honored objects of micromagnetism, have recently come into focus due to their similarity to skyrmions. It has been known for decades that the bubble domains can be induced by an external magnetic field. However, this method cannot control the number of nucleated domains and their position. Furthermore, magnetic field control relying on bulky inductive elements does not match the requirements of modern microelectronics.

In this paper the local technique for magnetic domains generation is proposed: the site of bubble domain “blowing” is determined by the contact point with the sharp tip where the strain gradient is maximum, while the size of the domain can be tuned by voltage application between the tip and sample substrate. The possibility of the combined electro-mechanical control of noncollinear spin textures is interesting in the context of straintronics and spintronics.

From the fundamental point of view this result serves as an illustration of a profound analogy between the symmetry of chiral spin structures and flexural deformation in crystals. 


 

A.P.Pyatakov et al.,
JETP Letters 122, issue 3 (2025)

 

The paper reports a derived kinetic equation describing the dynamics of an atomic localized ensemble in a broadband squeezed light field taking into account second-order effects in the constant of interaction of atoms with the field (Stark interaction). Traditionally in deriving  the kinetic equation for an open system, effects of this kind are usually ignored, but due to the established specific properties  they are considered as being "built in" and tend to renormalize  the terms of the kinetic equation determined by first-order effects.

 

The kinetic equation is derived by applying algebraic resonance perturbation theory, which defines the creating, annihilating, and counting process for a quantum stochastic differential equation. For this purpose, the Stark interaction operator of a system with a broadband quantized electromagnetic field with a nonzero photon density is represented as a quantum counting process at the stage of formation of the electromagnetic field concerned. The equation differs from the known ones, but appears to agree with them in particular and limiting cases.

 

Stark interaction manifests itself in a change in the shape of the superradiance pulse of an atomic ensemble in the Dicke state and additional shifts in the energy levels of the atom. The figure shows graphs of superradiance pulses for ensembles in the Dicke state with the same value of the number of atoms under conditions of Stark interaction with squeezed light (red graph), neglect of Stark interaction with squeezed light (blue graph), and ensemble radiation into vacuum (green graph).

 

Trubilko A.I. and Basharov A.M.
JETP Letters 122, issue 1 (2025)

It is well known that there is a close connection between gravity and thermodynamics. This is especially true for the physics of black holes, whose thermodynamics is more or less generally accepted. It is determined by the temperature of the Hawking radiation from the horizon of the black hole, and the corresponding entropy is proportional to the area of the horizon, $S_{\rm BH}=A/4G$. However, in the case of the thermodynamics of the cosmological horizon in an expanding de Sitter Universe, the situation is not so clear. There are several different approaches to de Sitter thermodynamics with different assumptions about its temperature and entropy. The reason is that, unlike a black hole, the de Sitter state is not a localized object. It cannot be considered as a region bounded by the cosmological horizon. The de Sitter state is an unbounded symmetric state with constant scalar curvature.

It is usually assumed that the corresponding temperature of the de Sitter state is related to the temperature of the Hawking radiation from the cosmological horizon, the Gibbons-Hawking temperature $T_{\rm GH}=H/2\pi$, where $H$ is the Hubble parameter. However, if we consider the behavior of any object, for example an atom, placed in a de Sitter medium, it turns out that this object perceives the de Sitter vacuum as a heat bath with twice the Gibbons-Hawking temperature, $T=2T_{\rm GH}=H/\pi$. Since all points in de Sitter space are equivalent both inside and outside the horizon, this temperature is uniform, being the same for all local observers. Thus, a factor of two provides the difference between two physical temperatures: the local temperature $T$ and the temperature $T_{\rm GH}$ of the Hawking radiation from the cosmological horizon. This is one of the contradictions present in the construction of the thermodynamics of the de Sitter state.

Here we discuss the connections between these two thermodynamics, local thermodynamics and the thermodynamics of the Hubble volume, the volume of the region inside the cosmological horizon. (i) The local temperature is exactly twice the Gibbons-Hawking temperature. This connection has a simple explanation, following from de Sitter symmetry. (ii) There is a holographic connection between these thermodynamics. The entropy density integrated over the Hubble volume coincides with the entropy of the horizon, $S_{\rm Hubble}=S_{\rm horizon}=A/4G$, where $A$ is the area of the cosmological horizon. (iii) There is also a connection between the first law of local thermodynamics and the first law of global thermodynamics. Due to de Sitter symmetry, the first law is valid for an arbitrary volume $V$, which can be smaller or larger than the Hubble volume. This first law can also be applied to Hubble volume. In this case, the first law is expressed in terms of the entropy of the horizon. It is important that in both cases the thermodynamics is determined by the temperature $T=H/\pi$.

This consideration was also applied to the contracting de Sitter, for which $S_{\rm Hubble}=S_{\rm horizon}=-A/4G$. The entropy of the contracting de Sitter is negative, since its horizon is similar to the horizon of a white hole.

G.E.Volovik
JETP Letters 121, Issue 10 (2025)

Carrier localization in a random band potential is known to determine luminescence and lasing properties of visible-range InGaN-based light emitters. In this work, we study related effects in indium-rich InGaN ternary alloys with the near-infrared range spectral response. The investigated samples feature strong n-type residual doping inherent to InN, and we exploit this fact to perform all-optical characterization of the valence band tail states. Non-thermal hole distribution emerging at low temperatures is revealed, using time-resolved photoluminescence. A consistent model is proposed, which explains the observed strong red shift of the stimulated emission wavelength with respect to the spontaneous emission and luminescence quenching behavior at the increasing temperature.

 

K.Kudryavtsev, B.Andreev, D.Lobanov, M.Kalinnikov, A.Novikov, Z.Krasilnik
JETP Letters 121, issue 8 (2025)

 

Fundamental physical constants are naturally included in all laws of physics. Their numerical values should reflect the properties of the world around us, but their origin remains unexplained to this day. It has been suggested since Dirac's work of 1937, 1938 that in a dynamically evolving Universe the physical constants may also be dynamical variables corresponding to the local age of the world. However, numerous laboratory experiments with various atomic and, more recently, nuclear clocks have failed to detect changes in physical constants with time at an ever deeper level, which corresponds at present to an upper limit on the relative change in, for example, the fine structure constant α, 10^(-19)/year. Astronomical spectral measurements allow such tests to go beyond laboratory experiments and study spatial and temporal constraints on variations of physical constants. It turned out that in this case the most sensitive parameter is the dimensionless quantity - the electron-to-proton mass ratio
(μ = m_e/m_p), since it determines the structure of molecular levels in a wide spectral range. The most accurate cosmological constraints, corresponding to look-back time greater than 10 billion years, give an estimate of Δμ/µ < 5*10^(-8), which is based on the analysis of methanol (CH3OH) transitions. The same order of magnitude upper limit was obtained from observations of the methanol lines in the disk of our Galaxy at relatively large galactocentric distances, R ~ 8-12 kpc.  In our work we estimated
Δμ/µ near a massive black hole, the Galactic center, at a distance R ~ 100 pc, which showed a possible decrease of μ at the level Δμ/µ = (-3.7±0.5)*10^(-7). The detected signal requires further independent study.

J.Vorotyntseva, S.Levshakov
JETP Letters 121, issue 8 (2025)

 

We consider a new concept of the evolving Universe, based on the idea of many fields in the vacuum state, where their initial expectation values are zero, but the total energy density is larger than zero. We call this state the polarized vacuum in GR. The exit from this state and "rolling down'' successively in directions determined by different fields is responsible for the evolution of the Universe and can be tested through investigation of the power spectra of cosmological perturbations.

We present a model of the early Universe, which is inspired by the observational data in the spatial wavenumbers $k\in(2\cdot10^{-4}, 10)$ Mpc$^{-1}$ and does not require a solution of the Friedman equations. Based on the observations we build a solution of General Relativity in the form of vacuum attractor, which provides an additional power at $k>10\,$Mpc$^{-1}$. Extending the power spectrum to the scale of kiloparsecs and less can solve the problems of the observed cosmology --- the appearance of the early star formation and supermassive black holes at $z>10$, the birth of primordial black holes, $\Lambda$CDM model, and others.

The trajectories of the dominant field in the model of the early Universe on the phase plane ($\phi$, $\dot\phi$). Bold lines correspond to the vacuum attractor, thin lines to the general solution, and arrows indicate the time direction.

 

V.N. Lukash, E.V. Mikheeva
JETP Letters 121, issue 6 (2025)

 

 

The problem of the nature of anomalous Hall effect was debated since its discovery. In magnetic topological insulators, the quantum anomalous Hall effect has been predicted and experimentally confirmed. However, in other materials with strong spin-orbit coupling, such as semiconductors with Rashba splitting, the transverse conductivity phenomenon is poorly studied.

In this letter, we theoretically investigate how electron scattering on domain walls modifies the intrinsic anomalous Hall response on the surface of a magnetic semiconductor with strong Rashba effect. The band structure of such a semiconductor, characterized by a nontrivial Berry curvature, determines the appearance of a one-dimensional resonant state on the magnetic domain wall in a local exchange gap. Under relatively weak exchange splitting, the resonant state has linear dispersion with small spectral broadening (see the figure). Moreover, it is chiral and localized near the domain wall. It is shown that the presence of a pair of parallel domain walls on the surface can have a measurable physical consequence: an additional almost half-quantized contribution to the anomalous Hall effect. The surface of the BiTeI polar semiconductor doped with transition metal atoms is a suitable material platform for experimental detection of such a contribution.

 

Spectral behavior, (a) and (b), and spatial profile (c) of electronic resonant states on the surface of the magnetic semiconductor with two parallel domain walls under varying magnetization magnitude in domains.

 

V. N. Men’shov, I. P. Rusinov, E. V. Chulkov
JETP Letters 121, issue 5 (2025)

 

 

A relatively simple method for implementing the conditions of the built-in Coulomb blockade in a quantum dot directly during the epitaxial growth of a heterostructure is proposed. This is achieved by adjusting the Fermi energy to the energy of the electron level in the quantum dot by forming a p-n-p doping profile by introducing a thin GaAs layer with n-type conductivity into the structure at a certain distance from the quantum dot layer. In this case, a neutral or charged state of an exciton in a QD can be realized without applying an external electric field, but only by varying the doping level in the n-GaAs layer and its distance to the quantum dot in accordance with the developed analytical model. Experimental studies of the spin dynamics and statistics of single-photon emission made it possible to obtain comprehensive information on the charge state of single quantum dots, the emission of which is coupled with the fundamental mode of a microcolumn microresonator. A significant increase in the probability of obtaining the required charge state for quantum dots formed using the Stranski–Krastanov growth mechanism is shown. For neutral and multiply charged quantum dots, this probability is in the range of 90-96%, and for singly charged quantum dots in the range of 70-95%. This approach represents a significant step towards complete control of optical processes in individual quantum dots for their potential application in quantum photonics.

 

A.I.Galimov, Yu.M.Serov, M.V.Rakhlin et al.,
JETP Letters 121, issue 5 (2025)

 

Currently, development of compact coherent soft X-ray sources is of particular interest, as they open up a number of important technological and scientific applications. High-harmonic generation in noble gases represents the only way for routinely producing such radiation by compact tabletop lasers in the laboratories worldwide. Coherent ultrashort-pulse X-ray sources based on high-harmonic generation are used to examine layered samples (including microelectronic components) with ultrahigh resolution, follow light-induced chemical reactions via time-resolved X-ray absorption spectroscopy and produce attosecond pulses. The latter are of high demand for problems of extreme laser fields (up to Schwinger limit) and nuclear photonics with the potential to refine existing theoretical models of quantum electrodynamics and develop new approaches.

In this paper we present high-harmonic generation based on a compact source of coherent X-ray radiation developed at Lomonosov Moscow State University. It is utilizing Cr:Forsterite laser technology, which is favored for high-harmonic generation due to the square scaling of the cutoff frequency versus laser wavelength. Soft X-ray pulses in the range of 45-83 eV (27.6–14.9 nm, Fig.1) with a total photon flux of 1.1·109 photons/s were obtained, using an argon gas jet. Optimization of the harmonic flux along with the soft X-ray beam divergence was performed by introducing a frequency chirp into the pump pulse. We believe that the developed compact bright X-ray source represent the first experimental step towards generation of attosecond laser pulses in Russian Federation and can be integrated into rapidly developing domestic free-electron lasers and synchrotron sources in order to increase their temporal coherence.

Fig.1.Generated harmonic spectrum.

 

Rumiantsev B, Migal’ E., Lobushkin E., Pushkin A., Potemkin F.

JETP Letters 121, issue 5 (2025)

 

The coexistence of electric and magnetic orders in multiferroics imposes certain restrictions on the symmetry of the magnetic and crystalline structures of substances. However, many of them, having a non-centrosymmetric crystal structure, can exhibit magnetoelectric properties even in the paramagnetic state when a magnetic field is applied. Here we report the detection of electric polarization induced by the magnetic field H in single crystals of a trigonal non-centrosymmetric paramagnetic Nd3Ga5SiO14 with a langasite structure. In small fields, the polarization is quadratic in H and for components in the basic ab plane it is described by two magnetoelectric susceptibilities (α1 and α2), while along the trigonal axis c it appears only starting from the fourth-order terms, ~H4. In strong magnetic fields at low temperatures, when the Nd3+ magnetic moments are saturated, the dependence of polarization on the field changes qualitatively and approaches to quasi-linear one for all crystallographic directions, and its magnitude increases greatly (up to 250 µC/m2 along the c axis at 5 T, see Figure). A quantitative description of the effects observed in Nd3Ga5SiO14 based on the spin-Hamiltonian of the Nd3+ ion in local low-symmetric (C2) positions is presented, taking into account the symmetry-allowed magnetoelectric interactions. Nonlinear magnetoelectric invariants based on the local susceptibilities of Nd3+ ions are constructed, taking into account the nonequivalence of their magnetization and allowing us to describe the observed field, temperature and orientation dependences of polarization using few magnetoelectric parameters.

 

Figure. (a) The angular dependence of the electric polarization Pc along c axis, measured at 4.2 K at H =1.3 T when the magnetic field rotates in the ac plane. (b) The dependences of Pc  on a magnetic field applied in ac plane at an angle of 60o from c axis at different temperatures (the inserts in (a) and (b) explain the geometry of the experiment). (c) The dependence of the dPc/dH4 derivative on 1/T3, which characterizes the temperature dependence of the fourth order magnetoelectric susceptibility α3. Symbols are an experiment, lines are a theory.

 

A.A. Mukhin , V.Yu. Ivanov, A.M. Kuzmenko, A.Yu. Tikhonovsky, B.V. Mill
 JETP Letters 121, issue 4 (2025)

 

 

In the thermodynamics of the conventional macroscopic systems the entropy is the extensive quantity, i.e. it is proportional to the volume of the system. That is why the splitting of the system with volume $V$ in two parts with volumes $V_1+V_2=V$ does not change the total entropy of the system,  $S(V_1+V_2)=S(V_1) +S(V_2)$. This, however, is not applicable to the thermodynamics of the black hole: the entropy of the black hole is not extensive. The splitting of the black hole of mass $M$ to two black holes with the same total mass $M_1+M_2=M$ leads to the decrease of the total entropy,  $S(M_1) +S(M_2) < S(M_1+M_2)$.

The composition rule for the black holes and thus the black hole thermodynamics can be obtained by consideration of the quantum processes -- processes of quantum tunneling. The calculations of the rate of quantum tunneling process of radiation of particles and photons from the black hole hole gives the temperature of the black hole radiation, which coincides with the Hawking temperature. On the other hand, the radiation of small black holes by the larger ones (or in general the splitting of the black hole to the smaller parts) are described by the processes of macroscopic quantum tunneling.

The macroscopic quantum tunneling is the rear event caused by quantum fluctuations, which in the black hole thermodynamics can be considered in the same manner as thermal fluctuations.
According to Landau-Lifshitz book "Statistical Physics", thermal fluctuations in the macroscopic system lead to decrease of the entropy, and thus the processes of the black hole fragmentation are determined by the change of the entropy after the splitting.  Then, the calculations of the rate of the fragmentation using the method of the macroscopic quantum tunneling allow us to obtain the composition rule for the black hole entropy:
\begin{equation}
\sqrt{S(M_1 + M_2)}=\sqrt{S(M_1)}+ \sqrt{S(M_2)}\,,
\label{CompositionN}
\end{equation}
which reproduces the Bekenstein-Hawking entropy. So, the macroscopic quantum tunneling approach is actually another way for the derivation of the black hole entropy.
 
 This composition rule demonstrates that the black holes obey the special type of the generalized statistics -- the Tsallis-Cirto statistics with $\delta=2$. This also suggests that the black hole  can be considered as an ensemble of the elementary black holes with the Planck-scale mass $M_0=1/\sqrt{4\pi G}$. The black hole mass is $M=NM_0$, where $N$  is the number of these micro black holes, which play the role of the black hole "atoms". The  Bekenstein–Hawking entropy of the black hole with $N$ atoms, is $S(N)=N^2$.



G.E. Volovik
JETP Letters 121, issue 4 (2025)

Axion-like particles (ALPs) are hypothetical pseudoscalar bosons, natural in some  extensions of the Standard Model of particle physics. Their interactions with ordinary matter and radiation are suppressed, making it challenging to detect them in laboratory experiments. However, these particles, produced within stellar interiors, can provide an additional mechanism for energy loss, potentially influencing stellar evolution. Prominent methods of searching for such effects involve measuring the properties of red giants and helium-burning stars in globular clusters.

With recent updates on parallaxes and proper motions of stars published in Gaia Data Release 3, the precision of the measurement of evolution parameters of globular-cluster stars increased dramatically. Making use of previously derived theoretical relations and the new data on seven particular clusters, we place the strongest upper limit on the ALP-electron coupling, and find a 3.3 sigma indication of nonzero ALP-photon coupling.

 

S.Troitsky                                   
JETP Letters 121, issue 3 (2025)

 

The paper presents the results of a study of tunneling transport in macroscopic vertical van der Waals heterostructures based on bilayer graphene (BLG). The equilibrium tunneling conductivity was measured between two BLG sheets whose crystal lattices are rotated relative to each other by a small angle of ≈ Q ~ 0.7°, which imposes certain restrictions on the possibility of interlayer tunneling with energy and momentum conservation. The tunneling boundaries on the experimental conductivity map depending on the gate voltages are well described by the model, which takes into account the electrostatics of the system and tunneling at the Fermi level between the BLG sheets.

Anomalous in amplitude asymmetric peaks of conductivity were detected at the boundaries of the tunneling region, which we associate with the manifestations of van Hove singularities at the edges of the conduction band and the valence band near the gap formed in bilayer graphene under the influence of an electric field. The sharp asymmetry of such peaks is consistent with the spatial localization of van Hove singularities in different monolayers of bilayer graphene in a perpendicular electric field.

Schematic of dual-gated BLG/hBN/BLG device and measured map of tunneling conductance (in the center) as function top and bottom gate voltages. The tunneling is forbidden in the central part and displays prominent peaks near the charge neutrality points shown by dotted lines. Right and left pictures describe asymmetric situations from both sides of the charge neutrality: enhanced tunneling thanks to electron wave function in top BLG being pulled closer to the bottom BLG (right), and suppressed tunneling due to the opposite displacement of the wave function (left).

 

E.E.Vdovin et al.,
JETP Letters 120, issue 11 (2024)

 

 

The search of super-rare decay $K^+ \to \pi^0\pi^0\pi^0 e^+ \nu$ is performed by the OKA collaboration. No events of the searched process observed, the upper limit set:
$Br < 5.4 \times 10^{-8} ~ 90\%$ C.L. is currently the world's best one. The previous value listed in Particles’ Table (PDG) is 65 times worse. The decay is sensitive to New
physics. The search of this decay turned out background-free which paves the road for future high-statistics experiments. The result will be published in JETP Letters
and presented at the international conference ICPPA-2024.The upper limit on the $K^+ \to \pi^0\pi^0\pi^0e^+\nu$ decay

Search for the $K^+ \to \pi^0\pi^0\pi^0e^+\nu$ decay.   Missing momentum and missing energy in the $K^+$ rest frame: data (red bullets),   MC simulation of backgounds (blue stars) and MC simulation of signal (dots).
  The vast majority of the decay events are expected within the area marked with the rectangle.

A. V. Artamonov, V. N. Bychkov, S. V. Donskov et at.,
JETP Letters 120, issue 8 (2024)

The appearance of intense pulsed sources of terahertz (THz) radiation has generated the increasing interest in their influence on metal nanofilms, including ferromagnetic ones, which are components of THz optics and spintronics devices. In this field, one of the most important tasks is to study energy transport between the electrons and lattice at a nanoscale in the time domain under the irradiation of intense THz pulses.

In this work, using a hybrid pump-probe scheme of femtosecond interference microscopy, as a combination of the sample excitation by a subpicosecond THz pulse and of visible femtosecond probe pulses, the relaxation of the electron and lattice in a 25 nm thick nickel film sample near the melting point was explored.

The increase in reflection of the probe pulse at the moment of action of the THz pump pulse with a duration of 0.7 ps and a strength of 11 MV/cm is induced by the raise of the electron-electron collisions frequency in case of nonequilibrium heating, when electron temperature $T_e $ exceeds the lattice temperature $T_i$. The subsequent decrease in reflection during several picoseconds is caused by the heating of the lattice at the stage of temperature equilibration between $T_e $ $T_i $. The variation of the complex permittivity indicates the onset of the nickel film melting in 5-10 ps after the THz exposure. The morphological studies by scanning electron and atomic force microscopy showed the surface modification of the film with a significant increase in its roughness after heating, apparently associated with the dewetting effect.

Fig 1 Spatial distributions of the reflectivity changes of probe for a time delay: a) - 0 ps, b) - 6.7 ps; c) - normalized reflection coefficient of the probe from the nickel film vs time.

 

S. I. Ashitkov, P. S. Komarov, A. V. Ovchinnikov, S. A. Romashevskiy,, E. V. Struleva, O.V. Chefonov, M. B. Agranat
JETP Letters 120, issue 8 (2024)

 

 

It is known that quantum effects can manifest themselves at the macroscopic level in anisotropic magnets with low critical temperatures of magnetic ordering. The physical reason for the difference between the results of the phenomenological approach for such materials and the results of the quantum theory is the crystal field, leading to mixing of the states with different spin projections.

In this paper, we show that the experimentally observed features of the low-temperature behavior of the magnetization of the van der Waals topological antiferromagnet MnBi2Te4 [1, 2] in an external magnetic field, oriented perpendicular to the layers of manganese ions, are due to the quantum effects caused by the nondiagonal nature of the trigonal component of the crystal field. In this case, the anomalous increase in the magnetization of MnBi2Te4 before the spin-flop transition, as well as after it in the phase of collapsed sublattices, is explained by the influence of the magnetic field on quantum fluctuations.

The theoretical dependences of the magnetization obtained considering the quantum effects are shown in Figure (a). They correlate well with the experimental data [1, 2] presented in Figure (b). The increase in the magnetization before the spin-flop field Hsf and after the saturation field Hcsat is determined by the quantum effects associated with the trigonal component of the crystal field.

1.Y.-J. Hao, P. Liu, Y. Feng et al., Phys. Rev. X 9, 041038 (2019).
       2.Y. Lai, L. Ke, J. Yan et al., Phys. Rev. B 103, 184429 (2021).

 

V.V. Val’kov, A.O. Zlotnikov, A. Gamov, N.A. Fedorova, F.N. Tomolin,
JETP Letters 120, issue 7 (2024)

 

 

 

 

Determining the correlation functions of the polarization states of light is a common experimental task in quantum optics and quantum information. Often, it is simpler and more convenient to work with fiber optics and phase transformations rather than manipulating polarization states in free-space optical setups, due to the greater operational convenience and stability of fiber-optic systems. Therefore, establishing a correspondence between measurable quantities for polarization and phase states, including correlators, becomes essential.
This correspondence is also employed in quantum cryptography. For example, the Reference Frame Independent (RFI) protocol is implemented in both free-space systems, where it was originally proposed, and fiber-optic systems.
Since in experiments the correspondence between phase and polarization transformations is often applied intuitively, leading to questions about the validity of such substitutions, it is necessary to establish a rigorous correspondence between polarization and phase transformations.
In this study, we have demonstrated that the sum of the squares of the correlator operators in the + and × bases is independent of the misalignment angle β between the coordinate systems during the preparation and measurement of both polarization and phase states.
Finally, we have established a correspondence between polarization transformations and phase transformations. We have also shown that there exists an invariant—the correlators of the field states—that does not depend on the interferometer's balancing. This finding allows for the use of fiber-optic implementations in experiments, thereby achieving greater convenience and stability in optical setups. We have provided phase transformations for single-photon states in terms of operator transformations, which remain valid for coherent states as well.
Figure. The transformations of quantum phase states during the passage through the Mach-Zehnder-Interferometer.
Molotkov S.N. and Sushchev I.S.
JETP Letters 120, issue 7 (2024)

 

In the absence of reliable experimental data, theoretical studies became the primary approach to understanding neutral excitations in fractional quantum Hall states. An analogy between the lowest-energy excitations of certain fractional states (Laughlin liquids) and gravitons - quanta of the gravitational field - was discovered theoretically. For this reason, the lowest-energy neutral excitations of Laughlin liquids with zero momentum are called chiral gravitons or magnetogravitons. Previously, the authors proposed a technique that uses light reflection to detect analogs of chiral gravitons in the Laughlin liquid. Those are neutral excitations with a change in the spin quantum number of the electron system by one - spin-magnetogravitons (SMG). It turned out that SMGs with zero momentum can have unprecedentedly long lifetimes, although the relaxation dynamic of these excitations is non-monoexponential. This suggests that the description of the SMG system as an ensemble of identical, non-interacting quasi-particles is insufficient to explain the existing experimental data.

In this paper, we investigated the long-term relaxation of SMG ensembles in a Laughlin liquid at an electron filling factor of 1/3. Studying the time dynamics of such long-lived excitations presents a significant experimental challenge. To address this, the resonance reflection (RR) technique and coherent anti-Stokes-Stokes Raman scattering of light (aSSR) were employed. Both scattering processes contribute to the reflection spectrum, but their intensities vary differently on the change in the excitation power. The RR signal is linear across the full range of powers, while the aSSR signal exhibits a nonlinear dependence on the excitation power due to the formation of the SMG ensemble. As a result of measuring the relaxation processes of SMGs at different laser powers and excitation spot sizes, it was shown that there are two types of these excitations (bright and dark). The lifetimes of dark SMGs can reach hundreds or thousands of seconds at a temperature of 0.6 K, whereas the lifetimes of bright SMGs are less than one second. The maximal amount of SMGs diluted in the Laughlin liquid is constant, but the ratio of the dark and bright SMGs can be varied experimentally by rising the SMG density. It seems the dark SMGs are quasi-particles organized in a novel condensed state in the Laughlin liquid.

Reflection spectra of the Laughlin liquid at the electron filling factor 1/3 at different laser excitation powers (black dots represent weaker excitation, red dots represent stronger excitation). The diagrams show the processes of resonance reflection (RR) and anti-Stokes-Stokes Raman scattering (aSSR).

A.V.Larionov et.al,
JETP Letters 120, issue 6 (2024)

 

 

Future development of nuclear energy forsees implementation of a closed fuel cycle in the 4th generation nuclear power plants and Accelerated Driven System (ADS-systems), i.e. nuclear reactors driven by high-current proton accelerators with energies of about 1 GeV for burnup of long-lived isotopes in spent fuel. We report precision measurements of the 237Np fission cross section in the neutron energy range of 0.3-500 MeV using the time-of-flight spectrometer GNEIS created on the basis of the SC-1000 synchrocyclotron at the NRC “Kurchatov Institute” – PNPI. The fission cross section of 237Np was measured relative to that of the reference nucleus 235U. The uncertainty of the obtained ratio was 2-3%. The results cover both the range of 0.3-20 MeV (the reactor spectrum), which is important for today's and near-future nuclear technologies, and the more challenging area of 20-500 MeV, which is critical for the development of advanced ADS technologies.

Figures 1 and 2. 237Np fission cross-section in comparison with the results of other studies.

 

Vorobyev A.S., Gagarski A.M., Shcherbakov O.A., Vaishnene L.A., Tiagelskaia A.M., Olkhovich N.M., Barabanov A.L.
JETP Letters 120, issue 6 (2024)


 

 

 

The research paper provides the classification of resonant interactions of a coherent field with an anharmonic oscillator using the established analogy with multiphoton interactions of light with atoms. In this context consideration is given to the characteristic nonlinear terms in the Hamiltonian, which change the state of the anharmonic oscillator by means of a certain number of quanta p. The interference interaction, in which the absorption of one quantum of a coherent field leads to a multiquant transition in an anharmonic oscillator due to electrodipole interaction and nonlinearity, manifests itself both as the superposition of resonances of the cascade type and the lambda-V type. Taking into account the nonlinearity of the third and fourth orders, the general formulas are applied to a resonant process of absorption of one photon and two-fold excitation of the oscillator. This resonance is a superposition of interference resonances of cascade type (nonlinear term with p=1) and lambda type (nonlinear term with p=3, see Fig.).

The resonant processes of both second harmonic and low-frequency generation of emission are predicted and described, with its experimental study of nutations allowing us to estimate the parameters of anharmonicity of the considered model. The analogy and effective resonant operators are obtained using algebraic perturbation theory, which differs from the canonical Van Fleck perturbation theory, for example, by requiring the absence of time-varying terms in the effective Hamiltonian in the Dirac picture.

Basharov A.M.
JETP Letters 120, issue 6 (2024)

 

 

 

The first experimental results on the polarization of inclusively produced Λ-hyperons in the 𝐾- and 𝜋-beams with a momentum of 26.5 GeV/𝑐 were obtained  at the SPASCHARM facility at the U-70 accelerator complex in NRC “Kurchatov institute” – IHEP (Protvino). The polarization of Λ-hyperons in the 𝜋-beam does not exceed several percent in most of the studied kinematic region, with the exception of the region 𝑝𝑇>1 GeV/𝑐, where the polarization is 23±9%. For 𝐾mesons incident on nuclear targets, in the region of large values ​​of the Feynman variable 𝑥𝐹 and the transverse momentum 𝑝𝑇, a substantially larger positive polarization was observed for the first. In the region 𝑝𝑇>0.3 GeV/𝑐 the average polarization PN = is 23.6 ± 3.6%, which is a 6.5 sigma effect. In the region 𝑝𝑇>1 GeV/𝑐 polarization reaches 66 ±18%.

The observed spin effects may have a non-perturbative nature, associated with spontaneous breaking of chiral symmetry in QCD with formation of constituent quarks with mass of about 300 MeV and a large negative (-0.4) anomalous chromomagnetic moment, which could polarize quarks via the Stern-Gerlach effect in a non-uniform chromomagnetic fields. 

Dependence of 𝑃𝑁 on the transverse momentum 𝑝𝑇 in the reactions 𝜋𝐴 → Λ𝑋 and 𝐾𝐴 → Λ𝑋, obtained at an energy of 26.5 GeV at the SPASCHARM experimental facility at the U-70 accelerator complex in Protvino.

V.V. Abramov, V.V. Moiseev, I.G. Alekseev, N.A. Bazhanov et al.
JETP Letters 120, issue 6 (2024)

 

 


 

 

 

A new class of altermagnetic materials has been added to usual ferro- and antiferro- magnetic classes by extending the concept of spin-momentum locking  to the case of weak spin-orbit coupling, i.e. to the non-relativistic groups of magnetic symmetry. For altermagnetics, the small net magnetization is accompanied by alternating spin-momentum locking in the k-space, so the unusual spin splitting is predicted.

For example, RuO2 altermagnet consists of two spin sublattices with orthogonal spin directions. In the k-space, the up-polarized subband can be obtained by π/2 rotation of the down-polarized subband, so RuO2 altermagnet is characterized by d-wave order parameter. Experimental  investigations can be conveniently performed for MnTe altermagnetic candidate, which is characterized by accessible (2–3 T) magnetic field range in contrast to RuO2 altermagnetic.

For some altermagnetic candidates,  anomalous Hall effect (AHE) has been experimentally demonstrated in a few early experiments,  despite of the expected zero non-relativistic net magnetization. It has been  argued theoretically, that the spontaneous nature of the AHE still requires relativistic spin-orbit interaction. Thus, inconsistency between the expected zero non-relativistic net magnetization and ambiguous experimental behavior requires comprehensive magnetization measurements in altermagnetics in wide temperature and magnetic field ranges.

Here, we experimentally study magnetization reversal curves for MnTe single crystals, which is the altermagnetic candidate.  Below 85 K, we observe the sophisticated angle dependence of magnetization M(α)  with beating pattern as the interplay between M (α) maxima and minima in the external magnetic field. This angle dependence is the most striking result of our experiment, while it cannot be expected for standard magnetic systems. We claim that our experiment shows the effect of weak spin-orbit coupling in MnTe, with crossover from relativistic to non-relativistic net magnetization, and, therefore, we experimentally confirm altermagnetism in MnTe.

Crossover from ferromagnetic to antiferromagnetic behavior shown as M(α) curves in different  magnetic fields. In low fields (around 0.2 kOe), M(α) shows ferromagnetic-like 180◦ periodicity. At high magnetic fields (around 15 kOe), the periodicity is changed to the antiferromagnetic 90◦ one. For the intermediate fields (around 6 kOe), one can see interplay between the maxima and the minima in M(α) curves.

 

Orlova N.N., Avakyants A.A., Timonina A.V., Kolesnikov N.N., Deviatov E.V.,
JETP Letters 120, issue 5 (2024)

 

 

 

The source of small particles that fill our Solar System are the disintegrating nuclei of comets and collisions of bodies in the Asteroid Belt. The release of dust during the destruction of comet nuclei occurs as follows. As a comet approaches the Sun, it usually acquires a characteristic structure: a visible giant tail, a nucleus (usually invisible) that is very small in size compared to the tail, and an atmosphere surrounding the nucleus called the comet’s coma. The coma and the tail are formed as a result of the outflow of material from the comet’s nucleus. In the core, icy layers of frozen gases alternate with dust layers. It is believed that as they are heated by solar radiation, the gases formed as a result of sublimation flow out, carrying dust particles with them. As a result, the comet’s nucleus becomes a source of gas and dust flow moving (following the nucleus) towards the solar wind.

Since comet dust interacts with electrons and ions of the surrounding plasma, as well as with solar radiation, the dust becomes charged. As a result, the environment surrounding the comet’s nucleus can be interpreted as a dusty plasma. Dusty plasma processes can, for example, have significant manifestations during the formation of a bow shock wave formed as a result of the interaction of a comet coma with the solar wind. It turns out that it can sometimes be considered as a type of dust ion-acoustic shock wave. For a typical comet nucleus and a relatively dense coma, an important role in the formation of the bow shock wave can be played by anomalous dissipation caused by the charging of dust particles.

Analogously to the cases of the Moon, satellites of Mars, asteroids, where the near-surface exosphere includes photoelectrons knocked out from the surface layer of regolith under the influence of UV solar radiation, solar wind plasma, charged particles scattered on the regolith material, secondary charged particles, neutrals, volatile substances contained in regolith and the interiors of bodies, microparticles of regolith, in the case of comets, dusty plasma processes can make a certain contribution to the formation of a gas-dust flow. The study of such processes and the determination of conditions (in particular, the distances from the comet to the Sun) under which it is dusty plasma processes that determine the dynamics of dust particles in the vicinity of cometary nuclei are the purposes of the paper.

A physical and mathematical model is developed for a self-consistent description of dusty plasma processes above the cometary nucleus, which takes into account both electrostatic and gas dynamics effects. On the basis of this model, the number densities of photoelectrons and dust particles above the surface of the illuminated part of the comet’s nucleus, the distribution functions of photoelectrons, the altitude dependences of the charges and sizes of dust particles, as well as electric fields are determined.

Analysis of the calculation results shows that dusty plasma processes in the physics of comets can have significant manifestations in situations where the comet is sufficiently far from the Sun. For a comet characterized by the parameters close to those of the nucleus of Halley’s comet, dusty plasma in the vicinity of the cometary nucleus is formed due to electrostatic interactions, i.e. similar to the formation of dusty plasmas near other atmosphereless bodies (such as the Moon, satellites of Mars, asteroids), if the distance from the comet to the Sun is not less than ~(2.5 - 3.5) AU. In this case the electrostatic processes are more intensive than gas dynamics those. If the comet is at closer distances from the Sun, then the dynamics of the dust particles is determined by the gas flow from the comet’s nucleus.

Figure. The main elements characterizing the dusty plasma system in the vicinity of the comet’s nucleus (outflow of material from the comet’s nucleus (I), the near-surface charged dust particles (II), the photoelectrons (III), photons of solar radiation ($\hbar \omega$), and the solar wind).

S. I. Popel, A. P. Golub’, and L. M. Zelenyi,
JETP Letters 120, issue 5 (2024)

 

 

 

The Rabi model is widely used in circuit quantum electrodynamics to describe the interaction between microwave photons and qubits. A superconducting resonator and a qubit can be coupled simultaneously through both capacitance (analogous to the electro-dipole interaction) and inductance (analogous to the magneto-dipole interaction). In this scenario, two coupling constants arise that are responsible for the interaction, and the general model that describes this situation may be called the anisotropic Rabi model [1].

The Hamiltonian of the anisotropic model has a complex spectrum that is sensitive to small changes in the parameters. This raises an intriguing question: does the Rabi model, including its anisotropic version, exhibit chaotic behavior? The answer to this question is not straightforward, as there is no classical counterpart for the Rabi model to compare it with.

To answer this question, we used a unitary transformation to remove the degeneracy of the states and numerically calculated the eigenfunctions and eigenvalues of the anisotropic Rabi Hamiltonian. The complex behavior of the quantum web, which is similar to the Poincaré mapping in classical chaos theory, provides clear evidence for the existence of weak chaos. Furthermore, we have found a correlation between the behavior of the intersections of quantum web trajectories and the localization. This correlation is illustrated in Figs (a) and (b). We also found that the usual transition from Poisson statistics to Wigner statistics with increasing coupling constants does not occur in the anisotropic model. This is because there is a strong diagonal perturbation in the model, and the distances between energy levels are concentrated within a finite interval, as shown in Figure (c). We have demonstrated that the matrix of the anisotropic model belongs to the class of sparse tree-type matrices  rather than being a representative of orthogonal or unitary ensembles. At the same time, the positions of levels in the density of states resemble the arrangement of "old fence latches" (see Fig. (d)).

 

[1] A. Parra-Rodriguez, et al., Quantum Sci. Technol. 3, 024012 (2018).
        [2] A. Peres,Phys. Rev. Lett. 52, 1711 (1984).

Yu.E.Lozovik and A.M.Satanin,
JETP Letters 120, issue 4 (2024)
 

 

 

 

Laser-induced forward transfer (LIFT) technology is widely used to create various materials and functional microdevices, including laser printing of photoluminescent nanomaterials for photonic devices. A method for accurately and safely printing upconversion nanoparticles (UCNPs) on various acceptor substrates is proposed. For high spatial resolution of laser printing, NaYF4:Yb3+Tm3+/NaYF4 core/shell nanoparticles with an average size of 30 nm are embedded in a sandwich structure on a donor substrate. The sandwich consists of two layers of gold, 50 mm and 20 nm thick, between which a layer of nanoparticles is placed. In some cases, to improve the adhesion of the gold film, a titanium layer 10 nm thick is additionally applied to the surface of the donor glass. The transfer and printing of UCNPs in the experiments is carried out by focusing nanosecond laser radiation with a wavelength of 1064 nm into a spot with a diameter of ~30 μm and at optimal pulse energy of 8.5–25 μJ. UCNPs fully retained their photoluminescent properties after transfer despite the high temperature ΔT>1000 K and pressure jumps ΔP>150 MPa encountered during the LIFT process. In this way, the proposed approach allows laser printing of UCNPs while maintaining their functional characteristics, which opens new opportunities for the design of photonics devices based on the upconversion effect.

 

 

 (a) Scheme of upconversion nanoparticles (UCNPs) placement on the donor substrate; (b) scheme of the experiment on laser-induced forward transfer of gold nanoparticles with UCNPs to the acceptors substrate; (c) comparison of UCNPs normalized photoluminescence spectra excited at 975 nm before and after LIFT; (d) the photo of the “RUS” printed on a coverslip

 

V. S. Zhigarkov et al.,
JETP Letters 120, issue 2 (2024)

 

 

Electron-positron annihilation line at 511 keV in the gamma-ray emission of our Galaxy was discovered half a century ago; however, the origin of positrons producing this line has not been established yet. Despite the annihilation rate in the Galaxy being extremely high, distribution of annihilation emission along the Galaxy does not resemble distribution of emission at other wavelengths. Therefore, positrons should be emitted “quietly”, in the process, which does not produce significant observable by-products. Additionally, to form a prominent annihilation line, positrons should be born with low-energy not exceeding several MeV.

In this letter, we study the contribution of cosmic rays into the annihilation emission. Cosmic rays are generally associated with high-energy phenomena, such as production of charged and neutral pions. We however consider a process, which is usually overlooked in astrophysics of cosmic rays – production of electron-positron pairs due to electromagnetic interactions of charged particles. This process has significantly lower threshold compared to pion production and produces positrons at low energies. Therefore, much more abundant low-energy cosmic rays can be involved in the pair production, which compensates for the lower cross-section of the process.

 

I. Dremin and D. Chernyshov
                JETP Letters 120, issue 2 (2024)


 

We compare the superconducting gap structure of underdoped and overdoped iron pnictides NaFe1-xCoxAs with x ≈ 0.02–0.045 in order to determine its evolution along the doping phase diagram. Using incoherent multiple Andreev reflection effect (IMARE) spectroscopy, we observed multiple-gap superconductivity and directly determined three superconducting order parameters DLout, DLin, and DS, as well as their temperature dependences. Due to a number of indirect arguments, we attributed DLout and DLin to one and the same, anisotropic superconducting condensate, being the maximum and the minimum Cooper pair coupling energies in the related bands. The degree of the possible anisotropy AL º 100%[1 - DLin/DLout] remains almost constant with temperature until Tc. We detected a significant increase in AL in the underdoped region (up to 42%) as compared to overdoped one (about 22%) with similar critical temperatures Tc ≈ 18.5 K. Such increase in the gap anisotropy in the underdoped regime could be caused by an influence of the spin density wave and nematic orders at the superconducting characteristics.

S.Kuzmichev et al.,
JETP Letters 120, issue 2 (2024)

 

Photoionization underlies many fundamental studies and applications related, for example, to the high-order harmonics generation, attosecond and terahertz pulses, and the study of ultrafast electronic dynamics in solids at petahertz frequencies. Ionization and subsequent electronic dynamics induced by ultrashort mid-infrared pulses make it possible to study the band structure of semiconductors through the generation of high optical harmonics both in the perturbative regime of moderately intense fields and in the non-perturbative regime of strong fields. The study of such ultrafast processes requires extremely short laser pulses with a stabilized carrier-envelope phase (CEP) with the one-cycle or subcycle pulse duration.

In this Letter, we experimentally demonstrate the control of CEP-sensitive plasma nonlinearity, which causes the generation of new spectral components, in a thin ZnSe film. Ultrafast ionization induced by an intense mid-IR CEP-stable one-cycle pulse in a ZnSe film leads to scattering of broadband probing radiation due to the electron plasma density induced refractive index changes. By changing the CEP, it is possible to control the electron density of ZnSe, and therefore its plasma nonlinearity.

Experimental (a) and simulated (b) ultrashort probe pulse spectrum transmitted through the ZnSe film with thickness of about 1 um as function of carrier-envelop phase of pump pulse ionizing this film.

 


I. Savitsky et al.,
JETP Letters 120, issue 1 (2024)

 

Mean field, or dilute nucleonic gas, approximation remains a basic approach to bulk properties of atomic nuclei. However, there is a strong evidence for presence in nuclei, with the weight of about 20%, of strongly correlated compact multinucleon aggregates with density of 4-5 times the normal nuclear density, in the ballpark of density of neutron stars. Whether or not nucleons in these short-range correlated (SRC) states do preserve their identity, or merge into QCD motivated multiquark states, is still an open issue. In both scenarios nucleons enter SRCs with moments above the Fermi momentum of the mean field approximation. At the partonic level, the first evidence for breaking of the dilute gas approximation was discovered in 1983 by EMC collaboration in deep inelastic scattering of muons off nuclei, and ever since then confirmed by NMC and JLAB collaborations.  In strong interaction processes SRCs manifest themselves in production of particles beyond the kinematical region accessible in the collisions with nucleons carrying mean-filed Fermi momentum. Regarding the two above options for the internal structure of SRCs, of principal importance are experimental tests of the universality of SRC vs. nuclear mass number. So far these tests were confined to a light quark sector in the breakup of pn pairs in deep inelastic electron-nucleus collisions, and to high momentum cumulative pion production in proton-nucleus collisions.

In this letter, we report the first observation of SRC universality in kaon production on nuclei in the kinematic region of large energy-momentum transfers, thereby extending the investigation of the SRC universality to the sector of strange quarks, what is inaccessible with nucleon knockout. If the nucleons in the correlated pairs keep their identity then the properties of the produced particles should be almost the same as those in free space. But if the nucleons lose their identity and form multiquark objects one can expect significant change in the above properties. In the process of kaon production from nuclei with large energy-momentum transfer we observed three peculiarities which have no analogues in the collisions with free or mean-field nucleons. First, the enhanced K+/π+ cross section ratios for middle and heavy nuclei. Second striking feature of the K to π cross section ratio is that it stays constant throughout the entire range of changing of the light cone variable α. Third peculiarity related to the interaction of produced kaons with nuclear environment responsible for their absorption during the way out of nucleus. A comparison of the measured and calculated target atomic mass dependencies for the cross sections for K+ and K- production demonstrate a strong difference between the hadronic Glauber approach and the experiment which indicates an anomalously weak absorption of high-momentum kaons in nuclear matter. It should be emphasized that the analyzed data on the production of strange mesons were obtained in an unexplored kinematic region of significantly larger energy-momentum transfers than the data for protons. The results of the performed analysis support the QCD motivated models of SRCs.

 

Yu. T. Kiselev
JETP Letters 120, issue 1 (2024)

 

In the last decade, quantum key distribution (QKD) systems with an untrusted intermediate node have been actively studied. The corresponding quantum key distribution protocol was called Measurement Device Independent (MDI). In such systems, an intermediate untrusted node does not require protection of the equipment on it, and the eavesdropper sees the entire operation of the equipment, including the results of the operation of photodetectors.

In early works, only assumptions were given as to why such a quantum key distribution system ensures the security of distributed keys - without strictly proving the security of the protocol. It was mentioned that the security proof of the MDI protocol is similar to the basic BB84 protocol. For this reason, despite the existing experimental implementations of the MDI quantum key distribution system, questions continue to arise about the physical reasons for the protocol security.

Our work provides an analysis of the MDI protocol and shows the physical reasons for the protocol security. They are based on such fundamental properties as the interference of photons from different sources, monogamy of entanglement and non-orthogonality of quantum states. A simple and explicit conclusion is given showing the equivalence of the MDI and BB84 protocols and the physical reasons for the coincidence of expressions for the length of the final key.

S.Kulik and S.Molotkov
JETP Letters 120, issue 1 (2024)

 

We have simulated, for the first time, the process of transforming graphene into diamond under pressure induced by localized mechanical force. This was accomplished using machine learning, to describe the interactions between carbon atoms in detail.
Graphene, a single layer of carbon atoms arranged in a honeycomb lattice, stands out for its exceptional strength. However, converting it into diamond is a complex challenge. Diamond, another form of carbon, is even harder and more wear-resistant.
In this study, we used machine learning to model graphene's behavior under pressure. Machine learning, a type of artificial intelligence, learns from data. Here, we used it to analyze how graphene reacts under varying pressure.
The created model allowed us to simulate the process of pressing a sharp tip into graphene. We found that under high enough pressure, the carbon atoms in graphene rearrange themselves, forming a diamond lattice. This transformation wasn't random, though. Interestingly, the orientation of the graphene layers even dictated the specific type of diamond to emerge. The simulation revealed that one could potentially control the formation of different diamond structures, such as the standard cubic diamond or the rarer and even harder hexagonal lonsdaleite, depending on how they manipulated the graphene.

S.Erohin et al.,
JETP Letters 119, issue 11 (2024)

CaKFe4As4 belongs to a novel 1144 family of iron-based superconductors and therefore is in the focus of research interest. In stoichiometric composition, it becomes superconducting (SC) at Tc ≈ 36 K.

Using incoherent multiple Andreev reflection effect (IMARE) spectroscopy of planar break-junctions, we revealed a multiple-gap superconductivity of CaKFe4As4 with the coexistence of at least two SC condensates developing in different bands below Tc: the first, possibly, anisotropic “strong” SC condensate with nodeless large SC gap DL, and the second “weak” SC condensate with a small gap DS. These fundamental energy characteristics of the SC state in CaKFe4As4 were directly measured for the first time: the magnitudes Di and its characteristic ratios 2Di/kBTc at T << Tc.

The SC gap structure and the characteristic ratios 2Di/kBTc for CaKFe4As4 appeared similar to those determined by us earlier in the sister CaKFe4As4 and Ba(Fe,Ni)2As2 compounds, thus pointing at a universal SC pairing mechanism in the 1220-type  compounds.

 

T. E. Kuzmicheva, S. A. Kuzmichev and A. S. Medvedev
JETP Letters 119, issue 10 (2024)

Today, optical clocks demonstrate the systematic frequency uncertainty at $10^{-18}$ level and precision reaching $10^{-18} \div10^{-21}$, what opens up the possibility of studying gravitational redshift on a mm scale. Advances in optical clocks have led to redefinition of most base units in SI through the unit of time (second), and a redefinition of the second itself is scheduled for 2030. One of the requisites on this path is to perform accurate comparisons of time and frequency between different metrological institutions with a measurement error below $5 \times 10^{-18}$, which can be accomplished by using a network of stabilised optical fibres or transportable optical clocks. The latter is in demand for intercontinental comparison of optical clocks, for relativistic geodesy, as well as for the space-based synchronisation (navigation, data transmission).

Optical clocks based on thulium atoms are promising for building transportable systems due to the low sensitivity of the clock transition frequency at a wavelength of 1140 nm to the environment. Our group demonstrated earlier a record low clock transition frequency shift from the blackbody radiation [1] as well as low sensitivity to the magnetic field by formation of the synthetic frequency [2]. Beside this, thulium optical clock has convenient optical wavelengths for laser cooling, trapping and clock transition excitation.

In this work we present the first experimental results on the synchronous comparison of two thulium optical clocks. We simultaneously excite clock transitions in two systems using a single ultra-stable clock laser. This allowed us to exclude the influence of phase noise of the clock laser, including Dick effect, from the measured difference of the synthetic frequencies between two systems and achieve instability of $10^{-16}$ after 500 s. We also demonstrate that the frequency difference between two clock transition in a single system can reach low $10^{-17}$ level.

[1] Nat Commun 10, 1724 (2019). https://doi.org/10.1038/s41467-019-09706-9
       [2] Nat Commun 12, 5171 (2021). https://doi.org/10.1038/s41467-021-25396-8

Figure 1. Allan deviation of the frequency difference of two thulium optical clocks for synchronous comparison. The red triangles indicate the synthetic frequency comparison while orange circles and blue squares – individual clock transitions comparison ($\nu _{32}$ and $\nu _{43}$) between the two systems. The green and purple dots demonstrate the Allan deviation of the differential frequency in each of the two setups.

 

A.Golovizin et al.
JETP Letters 119, issue 9 (2024)

 

The method of ultrafast electron diffraction (UED) makes it possible to detect laser-induced structural dynamics in matter with high spatiotemporal resolution [1]. It turned out to be convenient to use a thin gold film as a photocathode (Fig. 1), while the process of photoelectron emission itself can be induced by femtosecond (fs) radiation with ħw @ 4.65÷4.75 eV [2, 3]. For the linear photoelectric effect, this contradicts the reference data on the work function (WAu @ 5.1÷5.3 eV) [4, 5].

In our model (it is taken into account that during the manufacture of a bimetallic Au/Cr cathode the chromium layer is covered with an oxide film), an exclusively thin layer of Cr “works”, and the role of Au, as an inert layer, is reduced to maintaining the unchanged structure of the “sandwich” itself (Cr – oxide layer – Au). Electrons from the Fermi level in chromium tunnel into the bulk of gold (here it is important to take into account the possibility of “quick switching on” of the conductivity of the oxide layer under the action of fs laser pulses). They “ballistically” spread over the entire thickness of the gold film, where they are then supplied with the energy required for photoelectron emission. As a result, good agreement with experiment was obtained.

Fig. 1. Electron bunches after the photocathode (III harmonic fs Ti:Sa laser) are accelerated in an electric field and focused by a magnetic lens. The sample is excited by the II harmonic of the same Ti:Sa laser. The diffraction pattern is recorded at different times.

 

  1. Filippetto, et al., Rev. Mod. Phys. 94, 045004 (2022)
  2. Vallejo, et al. Phys. Rev. B 97, 054302 (2018)
  3. Zong, et al. Nature 620, p. 988–993 (2023)
  4. Moradi, et al. Ultramicroscopy 253 113809 (2023)
  5. J. Kupersztych, M. Raynaud, Physical Review Letters 95, 147401 (2005)

S.A. Aseyev, B.N. Mironov, D.G. Poydashev, A.A. Ischenko, E.A. Ryabov
JETP Letters 119, issue 7 (2024)

 

 

 

 

Cosmic rays with energies above $10^{19}$eV, observed in 1999 - 2004 by the High Resolution Fly's Eye (HiRes) experiment in the stereoscopic mode [1], were found to correlate with directions to distant BL Lac type objects (BL Lacs, which constitute a subclass of blazars, active galactic nuclei with jets pointing to the observer), suggesting non-standard neutral particles travelling for cosmological distances without attenuation. This effect could not be tested by newer experiments because of their inferior angular resolution. The distribution in the sky of BL Lacs associated with cosmic rays was found to deviate from isotropy, which might give a clue to the interpretation of the observed anomaly. However, previous studies made use of a sample of BL Lacs which was anisotropic by itself, thus complicating these interpretations. Here, we use a recently compiled isotropic complete sample of BL Lacs and the same HiRes data to confirm the presence of correlations and to strengthen the case for the local large-scale structure pattern in the distribution of the correlated events in the sky (see the picture, where red boxes - sample used in [2], $\theta = 0.8^{\circ}$, blue stars - isotropic sample, $\theta = 1.3^{\circ}$, shading represents the weighted density of galaxies [3]).

[1] HiRes collaboration, Astrophys. J. 610:L73 (2004)
       [2] Gorbunov, D.S., Tinyakov, P. G., Tkachev, I. I., and Troitsky, S.V. JETP Lett. 80, 145 (2004).
       [3] Troitsky, S. Eur. Phys. J. C 81, 264 (2021)

 


M.A.Kudenko and S.V.Troitsky
JETP Letters 119, issue 5 (2024)

Taming spin-waves at the edge of the Brillouin zone with femtosecond flashes of light
 
Revealing efficient means for excitation of spin waves that are coherent, have controllable phase, the shortest possible wavelength and the highest achievable frequency is a cornerstone for several technologically relevant fields in magnetism, including  THz spintronics and magnonics as well as ultrafast writing of magnetic bits. Here we propose a new mechanism for allowing to generate such  spin waves up to the edge of the Brillouin zone in an antiferromagnet,  where the frequency and the wavelength reach the benchmarks of fundamental limits of THz and nm, respectively. The idea is to launch the spin waves employing a femtosecond laser pulse which acts on spins as an optically generated torque and, simultaneously, promotes the process of parametric amplification. In theory, the problem is modelled using a modified Matheu equation with an additional term representing the optically generated torque.

A.Zvezdin, R.Dubrovin, A.Kimel
JETP Letters 119, issue 5 (2024)

Transition metal dichalcogenide monolayers have recently drawn an attention of researchers due to their unusual properties and potential for applications in nanoelectronics. These are an atomically thin materials with general formula MX_2, where M is a transition metal atom like Molybdenum or Niobium etc., and X is a chalcogen atom like Sulfur of Selenium. It's crystalline structure lacks inversion symmetry which opens the possibility for intrinsic spin-orbit coupling. Due to this fact these systems have complicated band structure with few spin-splitted Fermi contours like depicted on figure.

One of the intriguing phenomena in these materials is superconductivity which was observed in NbSe_2, gated MoS_2 and others. The precise physical picture of superconducting state is still under debate in the scientific community. The aim of this letter is to shed the light on some collective properties of such a system and how they are related to the pairing between electrons. The effective low-energy action for fluctuations of the phase of the order parameter was derived, and collective subgap excitations in the system were analyzed. It was shown that for nearly equal singlet and triplet coupling constants, there is a special collective mode of Leggett type, which is gapped and becomes softer if parallel magnetic field to the system is applied. These results open the possibility to identify this collective mode on experiment and shed the light on the relevant pairing mechanism.

A.G.Semenov
JETP Letters 119, issue 1 (2024)

 

This work proposes a method for constructing a relative atomic gravimeter based on the use of an atomic fountain on ultracold atoms. The method is based on measuring the shift of the Ramsey spectrum line in an atomic fountain in a gravitational field. For a fountain-type microwave frequency standard on Cs atoms, the accuracy of the gravitational field measurement is $\delta g=2\times10^{-6}g/\sqrt{\tau_a}$. With integration time $\tau_a=10000 s$, the achievable accuracy is $\delta g\approx2\times10^{-8}\approx20\,\mu$Gal.

Schematic of an atomic fountain gravimeter using a microwave clock transition. The time of flight of atoms through a microwave gravimeter T depends on the acceleration of gravity g. This leads to a shift in the frequency corresponding to Ramsey resonances at frequencies other than the exact resonance when the acceleration of gravity changes.

 

A.Afanasiev et al.,
JETP Letters 119, issue 2 (2024)

 

 

 

For a magneto-optical trap (MOT) formed near an atom chip using 87Rb atoms we have investigated various loading modes: loading from thermal atomic vapors and from a low-velocity atomic beam. The possibility of controlling MOT loading by spatial control of the atomic beam was demonstrated using an atomic beam,. This enables to increase the speed of loading atoms into MOT while maintaining an ultra-high vacuum in the area of the atomic chip. Under optimal loading conditions, the maximum number of atoms in MOT was 4.9 × 107, whereas  the lifetime of atoms in MOT was 4.1 s.

Measured time dependence of the number of atoms in MOT near the atom chip. (a): Black curve (1) corresponds to the loading of atoms from thermal vapor; green curve (2) –loading from a low-velocity atomic beam whose position relative to the center of the atomic chip is shown on the panel (c); blue curve (3) - loading of atoms from a low-velocity atomic beam, whose  position is controlled using one-dimensional optical molasses (b). Figures (b) and (c) show photos of the illuminated atomic beam against the background of an atomic chip. The atomic beam propagates from left to the right and is illuminated by a narrow laser beam extending from top to bottom. The areas where of  the atomic beam intersects with the laser beam are shown in red. The microwire of the U-shaped trap (through which current flows to form the required magnetic field)  is highlighted in yellow.

 

P.I.Skakunenko et al.,
JETP Letters 119, issue 1 (2024)

 

 

The cumulative process is particle production in a kinematical region forbidden for reactions with free nucleons. The SPIN set up  provides a detailed study of  charged particles emitted with high transverse momentum ( pT > 1 GeV/c) from nuclear targets irradiated with protons from the U70 accelerator of the Institute for High Energy Physics. The working kinematic region of the SPIN experiment makes it possible to study the cumulative particle production caused by hard interactions with dense multiquark (multinucleon)  configurations  inside nuclear matter. Cross-sections for the antiproton production as a function of momentum are presented in the left figure for four targets, C, Al, Cu and W. The upper horizontal axis shows the X2 values (“Stavinsky variable” [1]), which corresponds to the minimum target mass required to produce antiprotons at an angle of 400. The curves in the left figure are calculations in accordance with the parameterization [2], in which the dependence of the cross sections on the  nuclear mass (A) is represented by ~$A^{(2.4+X_2)/3}$. Close to universal for all targets  X2-dependence is an evidence for formation of antiprotons in interactions with  multinucleon (multiquark) configurations inside a nucleus.

At first glance, the ratio between the yields of antiprotons and $\pi $ mesons  looks the same for different nuclei. However, if to devide ($\bf \vec p / \bf \pi^-$) values  measured for the heavier nucleus by for carbon target (as it is done in the right figure) one can see that the double ratio does systematically exceed unity, which may indicate certain impact of  FSI. The double ratio constructed using the proton and $\pi $spectra from tungsten and carbon samples shows a much stronger influence of secondary processes on the inclusive spectra of proton.

[1]  V. S. Stavinskii, JINR Rapid Comm. 18, 5 (1986)                                              
        [2] N.N. Antonov et al., Physics of Atomic Nuclei, 2022, Vol. 85, No. 3, pp. 282–288.              

N.N. Antonov et al.,                   
JETP Letters 119, issue 1 (2024)                    

 

 


 

 

 

Profiles of pressure in many tokamaks adhere to the well-established model of canonical profiles proposed by Coppi and developed by Razumova, Dnestrovskii, and others. To predict parameters of future tokamaks, the pressure should be presented as a product of density and temperature. We averaged 162 profiles and observed that the radial profile of electron temperature depends on the radial profile of electron density according to the simple formula Te(ρ) =const ne(ρ)1.65. The analytical model of a density attractor, also known as Turbulent EquiPartition (TEP), assumes that plasma is frozen-in in poloidal magnetic field. The resulting density profile depends on the specific poloidal magnetic volume, ne(ρ)v(ρ)=const. The TEP model and the mechanism of particle pinch were previously confirmed in large aspect ratio tokamaks TCV and JET. Here, we examined the density profiles in a spherical tokamak in hot ion mode and identified the best fit as ne(ρ)v(ρ)1.06=const. The proposed model of neo-canonical profiles predicts electron temperature and density profiles in assumption of a known magnetic configuration. It remains unclear which part of neo-canonical profiles is more rigid - pressure, density, or temperature - or it depends on a tokamak operating regime. The future will reveal whether this model can be extrapolated to ignition parameters or not.

(a) Dependence of local electron density normalized on average density on specific poloidal volume (b) Dependence of local electron temperature on local electron density normalized on average temperature and density. The region of turbulent transport   is selected by green.

G.S. Kurskiev, V.V. Yankov, V.K. Gusev, N.S. Zhiltsov, E.O. Kiselev, A.K. Kryzhanovskii, V.B. Minaev, I.V. Miroshnikov, Yu.V. Petrov, N.V. Sakharov,
V.V. Solokha, A.Yu. Telnova, N.V. Teplova, E.E. Tkachenko, G.A. Troshin, E.A. Tyukhmeneva, P.B. Schegolev
JETP Letters 119, issue 1 (2024)

 

 

 

We consider the evolution of an initially planar monolayer of charged microparticles (plasma crystal) equilibrated in both horizontal (in the plane of the monolayer) and vertical parabolic confinements.We use the molecular dynamics simulations to study the buckling-like instability of such a system (using as an example the Yukawa type of interactions between the microparticles) at weakening of the vertical confinement. In particular, it is shown that the radial inhomogeneity of the plasma crystal leads to a qualitatively different character of the layering compared with homogeneous systems: the layering starts in the center of the crystal (where the interparticle distance is less than at periphery) and propagates with weakening of the vertical confinement as a layering wave that moves to the periphery. This effect explains remarkably well the behavior of plasma crystals observed in recent experiments with quasi 2D complex plasmas.

Layering of a planar plasma crystal at weakening of the vertical parabolic confinement. The distribution of particles over the height is shown as a function of on the parameter P characterizing the strength of the confinement. For small values P the system is a monolayer with a hexagonal symmetry (fragment is shown in panel (a)). When the parameter P is increased, the system spontaneously splits into two layers with a shifted square lattice (see, panel (b)). The color of the microparticles is determined by the height: the red particles are located above, and the blue ones are below. A further increase of P leads to a structural transition, i.e. the square lattice is transformed into a hexagonal one for each layer and they are shifted relative to each other (see, panel (c)). The subsequent increase of P leads to the formation of a third layer with the fcc type of symmetry (see, panel(d)), and the lattice transforms into an hcp lattice with hexagonal symmetry of all three layers (the case is shown in panel (e)) then.

                                                                                                                              B.A. Klumov 
JETP Letters 118, issue11 (2023
                                                                                               

 

 

 

 

One possible evidence for CP-violation beyond the Standard Model would be a discovery of non-vanishing Electric Dipole Moments (EDM) of elementary particles. To search for the EDM of charged particles one can store them in a circular accelerator and observe the EDM effect on the beam polarization. The necessary condition for a build-up of the observable EDM-effect is a coherent spin motion. Possible sources of spin decoherence include spin chromaticity, orbit lengthening and spin resonances. In this regard of special interest are novel features of the so-called “frozen spin” storage rings with electrostatic and hybrid E+B bending. The first step to increase the Spin Coherence Time (SCT) is to turn on a radiofrequency cavity. The next step is to manipulate equilibrium energy levels associated with betatron orbit lengthening and nonlinear momentum compaction factor, as suggested by a solution of nonlinear equations of longitudinal motion. We demonstrated that the effective equilibrium energy is a scalar characteristic of the spin motion of a beam with a distribution in a 6D phase space. It has to be the same for all particles in the beam to achieve a high SCT. Spin resonances act as another source of spin-decoherence. Their impact needs to be taken care of especially for the proton beam in the entire energy range of the machine.


Phase trajectory in longitudinal plane for initial coordinates x = 0, y = 0 (a) and x = 3 mm, y = 0 (b); initial dp/p = 1.2 · $10^{−4}$

 

Melnikov A.A., Senichev Yu.V., Aksentyev A.E., Kolokolchikov S.D.
JETP Letters 118, issue 10 (2023)

Recently, nitrogen-doped lutetium hydride was found to be a near-ambient superconductor with a $T_c=294$K at a pressure of only 10 kbar. In this paper, within DFT+U, we investigate the electronic structure of both parent lutetium hydride LuH$_{\boldsymbol{3}}$ and the nitrogen doped lutetium hydride LuH$_{\boldsymbol{2.75}}$N$_{\boldsymbol{0.25}}$. It is shown that with nitrogen doping, the N-2p states enter the Fermi level in large quantities and bring together a significant contribution from the H-1s states. The presence of N-2p and H-1s states at the Fermi level in a doped compound might facilitate the emergence of superconductivity. For instance, nitrogen doping almost doubles the value of DOS at the Fermi level for LuH$_{2.75}$N$_{0.25}$. A  simple BCS analysis shows that for the nitrogen doped LuH$_{2.75}$N$_{0.25}$ compound,   $T_c$ value might be more than 100 K and may even increase with further hole doping.

(Left) Crystal structure of LuH2.75N0.25 with two types of H atom surroundings. (Right) The bands projected on Wannier function with linewidth showing contributions of H-1s octahedral and N-2p states

 
                                 N. S.Pavlov, I.R. Shein, K. S.Pervakov, V.M.Pudalov, I.A.Nekrasov
                        JETP Letters 118, issue 9 (2023)

 

The interest to the charge imbalance phenomena [1,2] has grown recently in connection with planar nanosystem investigations since nonequilibrium quasiparticles appear in mesoscopic superconducting (S) structures due to narrowings, interfaces with submicron normal metal parts (N) etc., even at T<<Tc [3]. We have investigated the quasiparticle transport in planar submicron superconductor/normal metal (S/N) structures with SNS Josephson junctions (Nb-Cu-Nb, Nb-Au-Nb) and normal metal (Cu, Au) N-injectors. A nonlocal supercurrent was observed in Josephson junctions, when nonequilibrium  quasiparticles were injected from a normal-metal electrode into one of the superconducting banks of the Josephson junction in the absence of a net transport current through the junction. The occurrence of the nonlocal supercurrent in the junction is related to the need to compensate the quasiparticle flow in it. The charge-imbalance relaxation length in niobium was determined experimentally by using the nonlocal measurement scheme proposed in [3]. Along with aluminum, niobium is the most widely used superconductor for fabrication of superconducting electronic nanodevices, detectors, bolometers.

[1] A. Schmid and G. Schön, J. Low Temp. Phys. 20, 207 (1975).
      [2] G. J. Dolan and L. D. Jackel, Phys. Rev. Lett. 39, 1628 (1977).
      [3] T. E. Golikova, M. J. Wolf, D. Beckmann, I. E. Batov, I. V. Bobkova, A. M. Bobkov, and V. V. Ryazanov, Phys. Rev. B 89 104507 (2014)

I.S. Lakunov, S.V. Egorov, E.D. Mukhanova, I.E. Batov, T.E. Golikova, V.V. Ryazanov
JETP Letters 118, issue 9 (2023)

 

Cavity polaritons originate from the strong coupling of excitons and light. When excited resonantly, they form macroscopically coherent states. Nonlinear interaction of polaritons involves optical multistability which manifests itself in sharp switches between alternative coherent states in response to varying excitation parameters. As a result, the intensity and polarization of the emitted light can be controlled on a very short (sub-nanosecond) timescale.

Owing to the Zeeman effect in a magnetic field, the polariton system has two branches of optical response that are characterized by opposite circular polarizations. Here, a new mechanism of polarization reversal is predicted, according to which the current state undergoes a transition to dynamical chaos and then the alternative spin state is established spontaneously. Such spin switches, which are mediated by a chaotic stage, proceed in both ways in the vicinity of the same critical point. As a result, the sign of the circular-polarization degree of the emitted light can be directly controlled by the intensity of optical pump.

The figure illustrates the switches between opposite-spin states under the conditions of a slow increase or decrease of the pump intensity as well as the chaotic dynamics of polarization at the intermediate stage; dashed lines are dynamically unstable solutions

 

 

Gavrilov S., Ipatov N., Kulakovskii V.
JETP Letters 118, issue 9 (2023)

 

Creation of nuclear clock is one of the most topical subjects in contemporary physics. Many papers on the topic regularly appear in Phys. Rev. Lett. and Phys. Rev. A, C. The main problem is to measure the isomer energy with a sufficiently small uncertainty within the isomer linewidth, which goes down ultimately to 10-19 eV. Resonance laser excitation presents such a way. However, in spite of hard work all the past decade through, the task seems to be as far from success as in the beginning. Because of a very narrow linewidth, scanning the interval needs too much time. As a result, many scientists get disappointed with such results and doubt in future success.              

This paper proposes a simple method to reduce the isomer energy uncertainty. This method is a consequence and at the same time a clear illustration of the Warsaw effect of mixing the ground and isomeric levels of the nucleus via interaction with the electron shell [1]. Proposed by Wigner, this mixing mechanism has not yet been confirmed experimentally. In our case, the usual photoelectric effect leads to the emission of electrons, whose spectrum forms not one line from each shell, but two. Moreover, the distance between each two lines is exactly equal to the energy of the isomer.

      [1] F.F. Karpeshin,  S. Wycech, I.M. Band, M.B. Trzhaskovskaya, M. Pfuetzner and J. Zylicz, Rates of transitions between the hyperfine-splitting components of the ground-state and the 3.5 eV isomer in 229Th89+. Phys. Rev. C 57, 3085 (1998).

F.F. Karpeshin
JETP Letters 118, issue 8 (2023)

 

 

Channeling of charged particles by bent crystals has been successfully used to manipulate beams at high- and ultra-high-energy accelerators, but in the energy region below 1 GeV crystals are practically not used, although this area is important for applied research, including medical research.
The article presents an experiment performed at the PNPI synchrocyclotron [1], in which the deflection of 1 GeV protons by a bent silicon crystal 1 mm long by an angle of (3.0 ± 0.1) mrad with an efficiency of (32 ± 3)% was observed for the first time.
The experiment used the same scheme as in experiments on searching for volume reflection [2]. The working crystal for the experiment was manufactured at PNPI according to the method presented in [3].
The Figure shows a simplified scheme of the experiment and the result of measuring the transverse distribution of protons after passing through the crystal.
The experimentally obtained efficiency corresponds to the dechanneling length (1.9 ± 0.3) mm, which is noticeably different from the estimate of the dechanneling length of 1 mm obtained by recalculating the result of the volume capture experiment [4].
A larger dechanneling length makes it possible to use crystals that are longer in the direction of the beam and thereby increase the particle deflection angle.

Figure. Experiment scheme and result.

 

 

[1] https://www.pnpi.nrcki.ru/en/facilities/fm-cyclotron-sc-1000
       [2] Yu.M. Ivanov, N.F. Bondar, Y.A. Gavrikov et al., JETP Letters 84, 372 (2006).
       [3] https://conference-indico.kek.jp/event/163/contributions/3165/attachments/2195/2761/Bent_crystals_for_the_SPS_crystal-assisted_slow_extraction_v3.1.pdf
       [4] V.M. Samsonov, The Leningrad experiment on volume capture, in Relativistic Channeling NATO ASI series B: Physics 165, 129 (1987).

 

D.A.Amerkanov, L.A.Vaishnene, Yu.A.Gavrikov, B.L.Gorshkov, A.S.Denisov, E.M.Ivanov, P.Yu.Ivanova, Yu.M.Ivanov, M.A.Koznov, V.I.Murzin, L.A.Shchipunov
JETP Letters 118, issue 8 (2023)

Among the 122 family of iron-based superconductors, BaFe2-xNixAs2 pnictides are relatively understudied so far. Due to a lack of direct probes, an interplay between multiple-band effects, magnetism, and superconductivity remain ambiguous.

In the stoichiometric state, BaFe2As2 shows long antiferromagnetic order with a spin density wave below Tm ≈ 138 K. With electron (Fe,Ni) substitution, spin density wave is gradually suppressed, and a superconductivity emerges. In the optimally doped composition BaFe0.9Ni0.1As2, the temperature of the superconducting transition reaches a maximum Tc ≈ 22 K. Despite both, underdoped (UD) and overdoped (OVD) compositions have similar Tc = 0–22 K range, there is a fundamental difference between these two parts of the doping phase diagram: a coexistence between spin density wave and superconductivity takes place in the UD region, being fully absent in the OVD region.

Here, using incoherent multiple Andreev reflection effect spectroscopy, we present local and direct study of the superconducting order parameter of UD BaFe0.92Ni0.08As2 and OVD BaFe0.88Ni0.12As2 compounds with similar Tc ≈ 18 K. We compare the determined superconducting gap structure, and discuss possible influence of the spin density wave to the superconducting properties.

T.E. Kuzmicheva, S.A. Kuzmichev, K.S. Pervakov, V.A. Vlasenko
JETP Letters 118, issue 7 (2023)

In the paper "Life, the Universe, and everything-42 fundamental questions"  Roland Allen and Suzy Lidstr\"om presented personal selection of the fundamental questions. Based on the condensed matter experience, we suggest the answers to some questions concerning the vacuum energy, black hole entropy and the origin of gravity. In condensed matter we know both the many-body phenomena emerging on the macroscopic level and the microscopic (atomic) physics, which generates this emergence. It appears that the same macroscopic phenomenon may be generated by essentially different microscopic backgrounds. This points to various possible directions in study of the deep quantum vacuum of our Universe.

 For example, there are at least 6 different scenarios of emergent gravity, which are supported by different condensed matter systems. In particular, the spin-triplet $p$-wave superfluid $^3$He-B supports the Akama-Diakonov theory, in which the gravitational tetrads emerge as the order parameter of symmetry breaking phase transition, while metric is represented by the fermionic quartet.  The chiral superfluid $^3$He-A supports the scenario in which the gravitational tetrads emerge together with Weyl fermions and gauge fields in the vicinity of the topological Weyl points in the energy spectrum of fermionic quasiparticles.  The gravitational tetrads may also emerge as the elasticity tetrads, which describe the elasticity theory in crystals. Condensed matter also demonstrates that metric may emerge from the non-quadratic vielbein, where the dimension of spin space is larger than the dimension of coordinate space, etc.

In all the condensed matter scenarios of emergent gravity, tetrads are the primary emergent objects, while metric is the secondary object, which is the bilinear form of tetrads.  This would suggest that geometry is the secondary emergent phenomenon. Whatever scenario (if any) is preferred by Nature, the gravity is not described by Einstein metric theory and requires the extended theory in terms of tetrads such as the Einstein-Cartan-Sciama-Kibble theory.

We also discuss the condensed matter views on the  cosmological constant problem and on the black hole thermodynamics. In particular, the answer to the question "Why does conventional physics predict a cosmological constant that is vastly too large?" is the following. The so-called conventional physics ignores the condensed matter lesson that in the full equilibrium the diverging zero-point energy of quantum fields is cancelled by  the atomic (trans-Planckian) degrees of freedom. The reason for cancellation is the general laws of thermodynamics, which are the same for relativistic and non-relativistic vacua (ground states).

G.E. Volovik
JETP Letters 118, issue 7 (2023)

A strong suppression of tunneling between graphene sheets in a magnetic field was found due to the appearance of a correlation Coulomb gap in the tunneling density of states. The origin of this phenomenon lies in a radical change in the tunneling transport of charge carriers in a strong magnetic field - there is a transition from effective resonant tunneling to the mode of strong blocking of this process. In the absence of a magnetic field, the electrons in each of the graphene layers weakly interact with each other and can tunnel into the adjacent graphene layer almost unhindered. In a magnetic field, due to the appearance of a strong correlation electron-electron Coulomb interaction inside the layers, for interlayer tunneling it is necessary to expend additional energy for the extraction of an electron from a correlated state in one layer and its injection into another. The total energy costs of these processes are determined by the Coulomb interaction inside the graphene layers and set the value of the resulting energy gap ∆. The value of the correlation Coulomb gap ∆ measured by us in graphene structures significantly exceeded those obtained in GaAs/AlAs systems, which is probably due to the large scale of cyclotron energies in graphene compared to GaAs, as well as the possible influence of interlayer Coulomb interaction.

Fig.a An optical micrograph of the sample, the top and bottom graphene monolayers are circled in red and blue dashed lines, respectively, and also shows the BN-2 tunnel barrier and the BN-3 gate dielectric. The inset shows the sequence of heterostructure layers and the measurement scheme. Fig.b A sharp peak (red line) on the dependence of the interlayer conductivity on the voltage Vb as a result of effective resonant tunneling, and a dip (marked as on the blue line) near Vb=0 as a manifestation of the Coulomb correlation gap. The inset shows the Landau levels on Dirac cones of graphene layers and possible tunneling transitions between them with conservation of energy and momentum.

Yu.N.Khanin, E.E.Vdovin, S.V.Morozov, K.S.Novoselov
JETP Letters 118, issue 6 (2023)

 

 

Quantum interferometry is a rapidly growing area of research. A promising opportunity for a technological breakthrough in this direction is associated with the discovery of 2D topological insulators, which are materials insulating in the bulk, but exhibiting  conducting   one-dimensional helical edge states (HES)   at the boundaries.  Such HES  are robust to dephasing by  conventional non-magnetic  thermal bath and hence are ideal candidates for building  blocks of quantum sytems based on interference effects.

We study a helical crystal formed by tunnel-coupled  HES existing at the edges of identical antidots periodically situated in a two-dimensional topological insulator placed in a magnetic field.  
The first experimental realizations of  systems of periodically arranged antidots in HgTe/CdTe based structures    have already been reported \cite{Maier2017}.

The  spectrum of the helical crystal  can be controlled by gate electrodes or by changing the magnetic flux through the antidots.  We demonstrate the appearance of  a topologically protected qubit  at the boundary between two regions with different fluxes. The qubit  properties depend on the  value of the flux jump at the boundary  and can be controlled by the gate voltage.  We derive the effective Hamiltonian of such a qubit  and analyze  the dependence of its properties on the main parameters of the superlattice: the tunnel coupling between antidots, and the probability of jumps with  spin flip. We also find that   an ensemble of $N \sim T L/v_{\rm F}$ topologically protected qubits can arise at relatively high temperatures, $T\gg v_{\rm F}/L,$ when the temperature window covers several bands of the crystal (here $L$ is the  size of the antidots)

Thus, we have demonstrated the possibility of creating controllable qubits in the helical crystal. The most interesting applications of the obtained results in the field of quantum computing are expected due to possibilities of purely electrical high-temperature control of qubits.


(a) An example of  experimental implementation of a helical crystal, taken from [1];
(b) One-dimensional chain of helical rings formed by HES (marked in red and blue) connected by tunnel or ballistic contacts (marked in grey) with the boundary between two semi-infinite  arrays of rings with different radii, on which a flux jump occurs, and, as a consequence, a localized qubit appears;
(c) Dispersion of low-lying bands of the helical crystal. The vertical distance between the Dirac points can be controlled by  special configuration of gate electrodes.    The dotted lines show the position of the localized levels that also can be controlled by gates.

1. H. Maier, J. Ziegler, R. Fischer, D. Kozlov, Z. D.Kvon, N. Mikhailov, S. A. Dvoretsky, and D. Weiss, Nat. Commun. 8, 2023 (2017).
 

R. A. Niyazov, D. N. Aristov, V.Yu. Kachorovskii
JETP Letters 118, issue 5 (2023)

It is shown that the effects of p-d covalent mixing of the spin-orbital electron states of divalent manganese and tellurium ions in triple layers Te-Mn-Te in the van der Waals material MnBi2Te4 can lead to the formation of nontrivial topology of the energy structure in the presence of long-range magnetic order.

To realize this effect, the combined influence of the crystal field and spin-orbit interaction should lead to such a hierarchy of Kramers doublets of the splitted 3d5 electron configuration of Mn2+ ions that the states with Lz=2, sz= 1/2 and Lz=-2, sz=-1/2 correspond to the half-filled spin-orbit doublet. As in the BHZ model, the states with maximum values of the total orbital moment correspond to the upper spin-orbit doublets, which are formed from 5p6 electron configurations of Te ions.

 It is supposed that the intraatomic Coulomb repulsion of electrons in manganese ions is strong. In this case, due to the kinematic interaction of Hubbard fermions, the ferromagnetic state is established in the layer of manganese ions and causes the splitting of spin subbands. This allows realization of conditions when there is energy overlap of the upper subband of Hubbard fermions with p subbands of fermions. Under these conditions Chern number gets the value +1 corresponding to the nontrivial topology.

Fermi excitation spectrum for two phases: a) unsaturated ferromagnetic phase (lines with different colors correspond to the spin-splitted energy branches); b) paramagnetic phase with the energy branches which are degenerated with respect to the spin projection. For ferromagnetic phase the Chern number Q = 1 (the topology of the energy structure is nontrivial) and Q = 0 for paramagnetic state (the topology is trivial).

In the paramagnetic phase the overlap of the bands disappears, and the topology of the energy structure becomes trivial. These factors establish the relationship between the ferromagnetic ordering of magnetic moments of manganese ions in the layer with the topology of the Te-Mn-Te energy structure.

It should be emphasized that, in accordance with the character of the spin orbitals of manganese ions the magnetic moments of these ions in the ordered phase are oriented perpendicular to the layers. In this case the anisotropy is strong, that leads to Ising-like behavior of the magnetic layer of manganese ions. At the same time, the fermion hoppings between such layers lead to the realization of the antiferromagnetic bond between magnetic moments from different layers, according to the Anderson mechanism.

 

V.V. Val’kov, A.O. Zlotnikov, A. Gamov
JETP Letters 118, issue 5 (2023)

 

 

The tunneling approach to the de Sitter stage of the expanding Universe demonstrates the existence of two different thermal processes. The first one is related to the cosmological horizon, and it gives the conventional Gibbons-Hawking temperature $T_{\rm GH}=H/2\pi$, where $H$ is the Hubble parameter.
 The atom in expanding Universe can serve as the detector, which can measure the ionization rate due to absorption of the Hawking photons. However, in addition there is another channel of ionization, which is not related to horizon and is only determined by the de Sitter metric near the atom. The corresponding activation temperature is twice the Gibbons-Hawking temperature, $T=H/\pi$.
This means that the atom feels the de Sitter metric as the thermal bath with $T=H/\pi$, i.e. the de Sitter state has the local temperature, which is not related to horizon. It is not excluded that the atom also feels the thermal bath of the Hawking photons, but anyway the effect of such bath is exponentially suppressed compared to the local bath.
 
If one  assumes that the temperature $T=H/\pi$ determines the local thermodynamics of de Sitter state, one obtains the local entropy density $s_{\rm dS}=(3\pi/4G)T$. Then the total entropy in the volume $V$ inside the cosmological horizon agrees with the Gibbons-Hawking entropy of the horizon, $s_{\rm dS}V=A/4G$, where $A$ is the horizon area.  This entropy is usually interpreted as the entropy of the cosmological horizon, but it comes from the local entropy inside the horizon. It is possible that there is some kind of bulk-surface correspondence.

The local thermodynamics of the de Sitter state includes also the gravitational coupling $K=1/16\pi G$ and the scalar Riemann curvature ${\cal R}$ as the thermodynamically conjugate variables. These variables modify the thermodynamics of the Gibbs-Duhem relation in the de Sitter state. The free energy density is proportional to $-T^2$, which is similar to that in the non-relativistic  Fermi liquids and corresponds to the Sommerfeld law. This is also similar to the relativistic stiff matter introduced by Zel'dovich with equation of state $w=1$.  The modfied thermodynamics is also applied to the Schwarzschild-de Sitter black hole and to black and white holes with the de Sitter cores.
 

G.E.Volovik
JETP Letters 118, issue 4 (2023)
 

Resonant scattering of electromagnetic waves by mesoscale dielectric spherical particles with Mie size parameter in order of 10 is a relative new phenomenon in mesotronics [1]. It has been discovered recently that such weakly dissipating dielectric (from low index [2] to moderate and high index [3]) homogeneous spheres support high order Fano resonances yield magnetic field-intensity enhancement factors on the order of 105–107. In all known works, the Mie size parameter, i.e. external diameter, was chosen from the resonance condition. We show that yet one more novel phenomenon of increasing the intensity of the magnetic field without changing the Mie size parameter of the non-resonant sphere by introducing an air cavity.

In this paper, for the first time, we consider scattering by the mesoscale dielectric cenosphere (from two Greek words “kenos” - hollow and “sphaira” - sphere) and high-order Mie resonances, when the external particle size is not determined from the resonance condition. We show that the maximal field’s intensity enhancement can be controlled by introducing the air cavity into the non-resonant homogeneous sphere and by changing the wall thickness of the cenosphere. It has been show that it is possible to control the interaction between bright and dark modes in a cenosphere by adjusting the air cavity radius. As a result, the intensity of the magnetic and electric field enhancement increase. The results highlight the great potential of the cenosphere to generate the giant magnetic fields intensity in an initially non-resonant dielectric mesoscale sphere.

 

Figure 1. Magnetic field intensity enhancement distribution for a hollow spherical particle with the Mie size parameter of q=39.75 (8 um diameter), refractive index of n=1.5 in linear (left) and log (right) scale.

References

  1. I.V.Minin, O.V. Minin. Photonics 9, 762 (2022).
  2. I. V. Minin, O. V. Minin, S. Zhou. JETP Letters, 116(3), 144–148 (2022).
  3. Z.Wang, B.S. Luk’yanchuk, L. Yue, et al.  Sci Rep 9, 20293 (2019).

 

O.V.Minin, S. Zhou, I.V.Minin
JETP Letters 118, issue 3 (2023)

 

 

Neutrinos have emerged as a captivating subject within modern physics, stimulating considerable interest and investigation. While the Standard Model initially regarded neutrinos as massless particles, recent experimental observations of neutrino oscillations have provided compelling evidence for their possession of mass. To determine the mass of neutrinos in a model-independent manner, researchers have turned to experiments focused on the analysis of nuclear beta decay and electron capture processes. Presently, the most stringent direct upper limit on the mass of the electron antineutrino stands at approximately 0.8 eV [1], while the most stringent limit on the mass of the electron neutrino is approximately 225 eV [2].

To markedly reduce the laboratory restriction on the mass of the electron neutrino, various collaborations such as ECHo, HOLMES, and NuMECS have proposed an experiment centered on investigating the electron capture process in the isotope Ho-163 using a calorimetric method. These collaborations aspire to diminish the limit on the mass of the electron neutrino to a few eV, rendering it comparable to that of antineutrino. However, to conduct such experiments, it is imperative to ascertain the mass difference between the decay isotopes Ho-163 and Dy-163, also known as the Q value, at the required level of accuracy. Achieving this precision necessitates the utilization of Penning-trap mass spectrometers, exclusively viable for highly charged ions [3]. Recently, the mass difference between Ho-163 and Dy-163 ions was determined for ionization degrees 38, 39, and 40 [4].

The conversion of the mass difference of highly charged ions to that of neutral atoms necessitates the calculation of the binding-energy difference for both atoms and ions, while ensuring an appropriate level of uncertainty. In the present study, the corresponding calculations were conducted employing large-scale relativistic configuration-interaction and relativistic coupled-clusters methods.

References

[1] M. Aker, A. Beglarian, J. Behrens, et al. (KATRIN Collaboration), Nature Physics 18, 160 (2022).
[2] P. T. Springer, C. L. Bennett, and P. A. Baisden, Physical Review A 35, 679 (1987).
[3] P. Filianin, C. Lyu, M. Door, et al., Physical Review Letters 127, 072502 (2021).
[4] S. Eliseev and Y. Novikov, The European Physical Journal A 59 (2023).
 

I.Savelyev, M.Kaygorodov, Yu.Kozhedub, i.Tupitsyn, V.Shabaev
JETP Letters 118, issue 2 (2023)

Rare-earth orthochromites RCrO3 (R = Y, La – Lu) with distorted perovskite structure are characterized by a high Néel temperature, magnetoelectric effect, and significant magnetocaloric effect at low temperatures. These compounds may be used in magnetic cooling devices, as solid-state fuel cells, thermistors with negative temperature coefficient of electrical resistance, as well as in photovoltaics.

The main intrigue associated with the magnetoelectric effect is that electric polarization cannot arise in the centrosymmetric structure of RCrO3. Currently, there is an active discussion in the scientific literature about the causes of the magnetoelectric effect in these compounds.

In the present work, a high-resolution spectroscopic study of ErCrO3 was carried out on crystals grown by advanced technology at the Institute of Solid State Physics, Chinese Academy of Sciences. In addition to the already known phase transitions (antiferromagnetic ordering at TN = 133 K and Morin-type spin-reorientation transition at TSR = 10 K), we observed a well-defined anomaly in the temperature dependence of the exchange splitting of erbium spectral lines in ErCrO3, indicating, possibly, a new phase transition.

A detailed examination of the line shape at low temperatures indicates the presence of additional positions for Er3+ ions in ErCrO3. Presumably, these are positions near uncontrolled impurities entering the crystal during its solution-melt growth and forming regions with distorted structure responsible for the appearance of polarization.

A.Jablunovskis, E.Chukalina, Li-Hua Yin, M.Popova
JETP Letters 118, issue 2 (2023)

 

Heavy ion collision experiments at RHIC and the LHC led to the discovery of the Quark Gluon Plasma (QGP) formation in $AA$ collisions.
One of the manifestations of the QGP formation in $AA$ collisions is strong suppression of high-$p_T$ hadron spectra (jet quenching).
Jet quenching in $AA$ collisions is due to medium modification of the parton fragmentation functions (FFs) caused by radiative and collisional energy loss of fast partons in the hot QGP.
The dominant contribution to the parton energy loss comes from the radiative mechanism due to induced gluon radiation.
The available data from RHIC and the LHC on the nuclear modification factor $R_{AA}$ of hadron spectra in $AA$ collisions can be described in the pQCD picture of parton energy loss for the QGP formation time $\tau_0\sim 0.5-1$ fm that is roughly consistent with the results of hydrodynamical analyses of experimental data on $AA$ collisions.

It is possible that mini QGP (mQGP) may be produced in $pp$ and $pA$ collisions as well. This possibility is now under active investigation. Experimental data on the strange particle production in $pp/pA$ collisions support the onset of the mQGP regime in $pp$/$pA$ collisions at the charged hadron pseudorapidity multiplicity density $dN_{ch}/d\eta\gtrsim 5$. At the LHC energies in $pp$ jet events we have $dN_{ch}^{ue}/d\eta\sim 10-15$, that seems to be large enough to expect the mQGP formation. The size and the temperature of the mQGP fireball produced in $pA$ jet events should be larger than in $pp$ collisions, since besides one hard
$pN$ interaction the projectile proton typically undergoes several soft interactions with the spectator wounded nucleons. This should result in a stronger medium modification of the FFs in $pA$ collisions. A promising way to probe the jet quenching effects in $pA$ collisions is measurement of the medium modification factor $I_{pA}$ for the photon-tagged FFs for $\gamma$+jet events (see Figure). Experimentally, $I_{pA}$ is defined as the ratio between the away-side associated hadron yields per trigger photon in $pA$ and $pp$ collisions.

We calculate $I_{pA}$ for 5.02 TeV $p$+Pb collisions for conditions of the recent ALICE measurement \cite{ALICE_IpA}. Our calculations show that, for the scenario with the mQGP formation both in $p$+Pb and $pp$ collisions,  jet quenching can lead to a deviation of $I_{pA}$ from unity by $\sim 0.1-0.2$ for $z_T\sim 0.5-0.8$ ($z_T$ is the ratio of the hadron transverse momentum to the photon one). This, within errors, is consistent with ALICE data \cite{ALICE_IpA}. However, a definite conclusion about the presence or absence of jet quenching in $pA$ collisions cannot be drawn due to large experimental errors. Our results demonstrate that this requires a  significantly more accurate measurement of $I_{pA}$ (with errors $\lesssim 0.1-0.2$).

 

Fig.1 A cartoon of the typical $pA$ collision with $\gamma$+jet production:  side view of the initial state (left) and beam view of   the final state (right)

 

[1] S. Acharya  et al.  [ALICE Collaboration],   Phys.Rev. C102, 044908 (2020)  [arXiv:2005.14637].

 

B.G. Zakharov
JETP Letters 118, issue 1 (2023)

The laboratory strategy of searching for axion-like particles (ALPs) implies their production and detection using large electromagnetic fields, and usually called Light-Shining-through-Wall (LSW) experiments.

One of the options of EM fields are applicable to LSW is the radio range setup. It consists of two cavities separated by a non-transparent wall. ALPs are produced in the first cavity by interaction of electromagnetic field components. Generated ALPs can pass through the wall and convert back to photons in the detection cavity. In addition, several proposals with LSW radio cavities appeared in the literature, including superconducting radio frequency (SRF)  cavities.

We compare different LSW setups, including normal conducting and superconducting cavities. Another aspect of our analysis is geometry of the setup, which can be adjusted in order to achieve higher sensitivity to ALPs parameters. We also take into account the technical difficulties of each scheme.

Figure. The sensitivity of normal conducting setup (top panels) and superconducting setup (bottom panels) for coaxial and parallel cavity locations. Left panels: the dependence on the cavities radius-to-length ratio R/L for the fixed volume. Right panels: expected reach as a function of ALPs mass at optimal R/L ratio.

D. Salnikov, P. Satunin, M. Fitkevich, D. V. Kirpichnikov
JETP Letters 117, issue 12 (2023)

 

 

 

The electron shell of the daughter atom often appears excited in the double β-decay, which causes a change in the energy taken away by β-electrons. The average value and variance of the excitation energy of the electron shell of the daughter atom are calculated for the double β-decay of germanium in both the Thomas-Fermi model and the relativistic Dirac-Hartree-Fock theory. With a probability lower than one, the parent-atom electron shell evolves into the daughter-ion electron shell in the ground state. The GRASP-2018 software program, which implements the relativistic Dirac-Hartree-Fock approach, is used for constructing the wave functions of the electrons of the germanium atom and the selenium ion to find the corresponding overlap amplitude $K_z = \langle Ge \mid Se III \rangle$,  GRASP-2018-based calculations yield a value of  $K_Z = 0.575$ A two-parametric model of the energy spectrum of β-electrons in the neutrinoless mode is built using the estimates obtained. Figure 1 shows the probability distribution function

$$F(T)=K_Z^2+(1-K_Z^2)\int_T^Qw(1-T'/Q)dT'/Q,$$

which determines the probability of β-electrons to have an energy that differs from the reaction energy, $Q$ , by no more than $Q - T > 0$ . Here,  $ w(x)$ is the probability density of the excitation energy of the electron shell, measured in units of $Q$, and $T = Q(1-x)$. The function  is assumed to be a binomial probability density function with free parameters set by the mean and variance of the electron-shell excitation energy. The shift in total energy of β-electrons is found to be under 50 eV at a 90% confidence level. The average excitation energy, on the other hand, is an order of magnitude greater at  $300 \div 400$ , while the variance is $ \approx (2900 eV)^2$ , which we explain by the dominant contribution of core-level electrons to the energy characteristics of the process. Still, the probability is nearly saturated by electron excitations with a small amount of released energy, which are common at the outer atomic levels. Distortion of the peak shape of the double-β decay must be taken into account when analyzing data from detectors with a resolution of $\approx 100 eV $ or higher.

Fig.1: The probability distribution function of the energy of β-electrons. Lines 1 and 2 correspond to the average excitation energy of the electron shell of 300 and 400 eV, respectively, and the variance $D=(2870 eV)^2$  The numerical values stand for the double β-decay of germanium, with $ Q= 2039.061(7) keV $ representing the reaction energy.

M.I. Krivoruchenko, K.S. Tyrin, F.F. Karpeshin
JETP Letters 117, issue 12 (2023)

In contrast to traditional excitonic insulators, where the Coulomb interaction is responsible for electron-hole coupling and excitons formation, in the case of spin crossover systems, the interaction leading to exciton ordering is due to correlated electron hopping. With the high-time-resolution pump-probe spectroscopy development, of interest are the spin crossover and exciton Bose condensation in nonequilibrium conditions under the action of femtosecond laser pulses. We have elaborated a novel mechanism of excitonic order photoenhancement in strongly correlated spin crossover systems, which is due to the massive mode appearance in the collective excitations spectrum and not associated with a transition to any metastable or excited state (see Fig. 1).

Fig. 1. Collective excitations spectrum in the exciton condensed phase for square lattice (a, b) and exciton order parameter temporal dynamics after laser pulse action (c, d). The calculations were carried out taking into account the diagonal (left) and off-diagonal (right) electron-phonon interaction. The initial thermodynamically equilibrium state is marked by dashed line. The red solid line shows the average value of order parameter time oscillations after turning off the external radiation. Time 𝑡 is given in units of 𝜏0 = 10−12 sec.

The study of the nonequilibrium dynamics of strongly correlated systems can provide new knowledge in understanding their properties and new ways to control various ordered states.
 

Orlov Yu.S., Nikolaev C.V., Ovchinnikov S.G.
JETP Letters 117, issue 12 (2023)

 

 

The interaction between the spin degree of freedom and the orbital motion of the electron plays a key role in modern spin condensed state physics. Indeed, it underlies a number of non-trivial fundamental phenomena, such as spin and anomalous [1] Hall effects, topological insulators [2], Majorana fermions [3]. From an applied point of view, this type of interaction determines the relaxation of nonequilibrium spin polarization and can be used to control the charge carrier spin states. Thus, the study of the spin-orbit interaction in various material systems is an extremely important scientific task.

In the present work a detailed study of the spin-orbit interaction in a series of ZnO/Mg$_{x}$Zn$_{1-x}$O heterojunctions with a wurtzite structure containing a two-dimensional electronic system was carried out. The spin-orbit interaction constants were determined from the analysis of the spin-orbit interaction-induced modification of the single-particle $g$-factor in the quantum Hall effect regime. The $g$-factor value was measured with high accuracy by the electron spin resonance technique in a wide range of magnetic fields and electromagnetic radiation frequencies. The spin-orbit interaction constants were determined for a series of samples with different concentrations of $\text{Mg}$, which allowed the dependence of the spin-orbit interaction constant on the two-dimensional electron density $n$ to be obtained. The measured value of the constant lay in the range $0.5 -0.8$~meV$\times\text{\AA}$ and was rather weakly dependent on $n$. Approximation of the experimental data allowed us to determine the coefficients $\alpha_0=0.5~\text{meV}\times\text{\AA}$ and $\gamma=0.12~\text{eV}\times\text{\AA}^3$, giving linear and cubic by wave vector contributions to the spin-orbit interaction, respectively. These values were correlated with the results obtained by other scientific groups.

Fig. a) Experimentally obtained values of the Rashba coefficient $\alpha$. (a) Dependence of $\alpha$ on the two-dimensional electron density. The blue empty circles are the experimental data obtained in the present work. The red filled circle is the value obtained in [4]. The solid line shows the corresponding theoretical $\alpha$ fit. Inset: red solid and dashed lines are the square of the wave function and the lowest level energy of dimensional quantization, respectively. The black solid and  dashed lines are the profile of the potential well with and without self-consistency. The data are given for the ZnO/MgZnO heterostructure with two-dimensional electron density $n=6.5\times10^{11}$~cm$^{-2}$. (b) Dependence of $\alpha$ on the parameter $\left(b\left\langle \hat{k}_{z}^{2}\right\rangle -2\pi n\right)$. The solid line shows a linear approximation of the dependence. From the slope of the line and its intersection with the ordinate axis, the constants $\alpha_0$ and $\gamma$ shown in the figure are determined.

[1] M. Konig, S. Wiedmann, C. Brüne, A. Roth, H. Buhmann, L.W. Molenkamp, X.-L. Qi, S.-C. Zhang, Science 318, 766 (2007)
       [2] M.Z. Hasan, C.L. Kane, Rev. Mod. Phys. 82  3045 (2010)
       [3] S. Nadj-Perge, I.K. Drozdov, J. Li, H. Chen, S. Jeon, J. Seo, A.H. MacDonald, B. A. Bernevig, A. Yazdani, Science 346 602 (2014)
       [4] Y. Kozuka, S. Teraoka, J. Falson, A. Oiwa, A. Tsukazaki, S. Tarucha, and M. Kawasaki, Phys. Rev. B. 87,205411 (2013).
 

A. R. Khisameeva, A. V. Shchepetilnikov, A. A. Dremin, I. V. Kukushkin
JETP Letters 117, issue 9 (2023)

It is known that for the so-called "anomalous" liquids (water, melts of Te, Se-Te, Ga-Te, Ge-Te, etc.), an unusual (often nonmonotonic) behavior of the temperature and pressure dependences of many physical properties is observed. We have shown that these liquids also have anomalous absolute values for a number of physical characteristics. The reason for this is the presence of several types of local structures in these liquids and a change in the mutual concentration of these structures with a change in temperature and (or) pressure (smooth structural transformations). As a result, the heat capacity and compressibility of such liquids are anomalously high, and the speed of sound in them are anomalously low compared to liquids that do not experience structural transformations. For example, water has a compressibility 5 times higher than amorphous modifications of ice. At picosecond and subpicosecond times measurements give "instantaneous" values of the speed of sound and bulk modulus in anomalous liquids, which are much higher than the low-frequency relaxing values. It is this circumstance that leads to anomalous "fast" sound in such liquids. "Fast" sound in ordinary liquids is almost entirely determined by the contribution of shear stiffness at high frequencies. In anomalous liquids, the main contribution to "fast" sound is related to the strong frequency dependence of the bulk modulus (its sharp decrease with decreasing frequency). “Slow” sound, high values of heat capacity and compressibility in anomalous liquids are not directly related to the presence or absence of a first-order phase transition ending in a critical point, and take place in any scenario of structural transformations.

Fig. 1. The temperature dependences of the sound velocity in water and the longitudinal speed of sound for amorphous and crystalline ices are presented. Also the conditional velocity V* = (B/ρ)1/2 for amorphous ice  is shown (brown color online). The dashed line shows the linear extrapolation of the hydrodynamic sound velocity for water to the region of low temperatures. The asterisk corresponds to the speed of "fast" sound in wate

 

V.Brazhkin, I.Danilov, O.Tsiok
JETP Letters 117, issue 11 (2023)

 

The development of an effective multi-qubit optical quantum memory at a telecommunication wavelength (λ~ 1.5 microns) is one of the key tasks in optical quantum technologies largely due to the great interest in creating a quantum repeater based on it for optical quantum communications over long distances. In this work, we experimentally implemented an optical quantum memory protocol based on the revival of silenced echo (ROSE) at a telecommunication wavelength for signal light fields with a small number of photons. To this end, a long-lived (>1 s) absorption line was initialized and the orthogonal geometry of propagation of the signal and rephasing fields was chosen. The recovery efficiency for the orthogonal polarization components of the signal pulse was 17±1% with a storage time of 60 μs. The input pulse contained on average ~38 photons, and the retrieved echo signal ~6 photons with a signal-to-noise ratio of 1.3. Methods for increasing the signal to noise ratio are proposed and discussed in order to implement efficient quantum memory for single-photon light fields at a telecommunication wavelength

Fig.1. The temporal histogram of the photon detection.  Storage of weak coherent input pulse (black histogram at t = 0) with µ~38 photons. Revival of silenced echo signal (red histogram at t=60 μs) contained µ = 6  in the detection window of 4 μs . Retrieval efficiency of input pulse was 15.9%.  Optical noise level from spontaneous emission within the echo temporal mode was 4.5 photons.

 

M.Minnengaliev, K.Gerasimov, S.Moiseev
JETPL Letters 117, issue 11 (2023)

 

 

Approximate formulas for the potentials for protons and hydrogen atoms in a metal are proposed. It is shown that taking into account the effects of screening the charge of an incident particle makes it possible to explain the difference between the interatomic interaction potentials obtained in the framework of the density functional theory for the gas phase and the potentials obtained by the authors when processing experimental data on the scattering of atomic particles from the surface of a solid body. The effect of screening in the potential on the angular distributions of atomic particles after passing through thin films of matter and on nuclear stopping power is established.

Fig. 1. Interaction potential versus the interatomic distance for H-Au system. The DFT potential for the gas phase is given. Dots show the data, in which the potential values were obtained by processing the experimental data on the scattering of particles on a surface or passage through thin films. Lines with dots calculation by proposed formulas.

 

P.Yu. Babenko, V.S. Mikhailov, A.N. Zinoviev
JETP Letters 117 issue 10, (2023)

 

 

 

We consider formation of a spatially-separated Fermi-Bose mixture in the bismuthates BaKBiO3 (BaKPbBiO3). We remind that the superconductivity in bismuth oxides is governed by the tunneling of the local electron pair from one SC (bosonic) cluster to the neighboring one via the normal (non-superconducting) fermionic barrier in the two-well structure of the effective ionic potential.

We analyze the disordered thin films of the granular SC on the basis of the 2D attractive-U Hubbard model in the presence of random potential describing the scattering of electrons on impurities and defects in the dirty film. In the framework of the Bogoliubov-De Gennes approach, we observe in this model an appearance of inhomogeneous states of spatially separated Fermi-Bose mixture of Cooper pairs and unpaired electrons with the formation of bosonic droplets of different size in the matrix of the unpaired normal states for large values of Hubbard attraction and diagonal disorder.

We discuss briefly the possibility of the formation of the metallic hydrogen droplets in the insulating matrix close to the first-order phase boundary on the phase diagram between  liquid and crystalline metallic and molecular hydrogen .

Fig.1. Two-dimensional distribution of electron density (left column), electron-hole mixing (middle column) and order parameter (right column) for the averaged electron density n = 0.15 per site on 24 × 24 square   lattice with the amplitude of diagonal disorder: V / t = 10.0., where t is the nearest neighbor hopping integral.

M.Yu.Kagan et al.,
JETP Letters 117, issue 10 (2023)

 

 

In the TeV range of energies, it becomes difficult and very costly to control particle trajectories using electromagnets to obtain extracted beams at accelerators. For these purposes, high-gradient devices based on curved crystals are more suitable. These crystals can work as ultra-strong lenses with a focal length of less than 1 m, with an equivalent magnetic field of 1000 Tesla. In this work, we implemented a scheme for the formation of a divergent beam with an energy of 50 GeV by two successive focusing crystals to create an axially symmetric beam with a small divergence of 30 μrad in both the horizontal and vertical planes (see Fig. 1).

Figure 1. a – two-crystal  optical scheme for the formation of an axially symmetric beam. b – two-dimensional image of the beam profiles measured behind the crystals : 1 - undeflected 50 GeV proton beam, 2 - horizontally deflected beam by the first crystal due to channeling, 3 - vertically deflected beam by the second crystal, but not captured by the first crystal into channeling, 4 - axially symmetric beam with small divergence (Lindhard angle, 30 mrad), which passed through two crystals in the channeling mode.

       In this experiment, the bent crystals simultaneously deflect and focus the beam due to the bevelled front end face. The use of such a scheme with an internal target and two crystals will make it possible to implement a new method for the formation of neutrino beams at large accelerators, which is significantly simpler than the schemes used now.

II.G.Britvich et al.,
JETP Letters 117, issue 9 (2023)

 

Controlling the spin structure in graphene is one of the most important problems of material science today. To use graphene in spintronics, especially for the realization of dissipation-free transport, it is necessary to be able to control the spin splitting of its electronic states and the topologically nontrivial band gap at the Dirac point.

This work aims to investigate the influence of the size of misfit dislocation loops on the sublattice ferrimagnetism in graphene. It is shown that graphene and the underlying gold layer with different sizes of Au-Co dislocation loops are characterized by ferrimagnetic ordering within atomic layers. The presence of additional Au adatoms under graphene enhances the induced Rashba interaction in graphene, but does not destroy the ferrimagnetic order in graphene. Since gold clusters can be present in the system after intercalation of gold, both on the surface of graphene and under graphene, control of the number and size of clusters as a result of intercalation can be used to enhance the induced Rashba interaction and obtain a topological phase in graphene.

Fig. 1. (a) Relaxed unit cell of Gr/Au/Co structure with misfit dislocation loop. Arrow's sizes are proportional to atomic magnetic moment values on carbon atoms. (b) STM image of periodic dislocation loops under graphene. (c) ARPES intensity map for the π band as the second derivative of intensity with respect to binding energy. The magnetic band gap Eg of about 80 meV is indicated.

 

A.G.Rybkin et al.,
JETP Letters 117, issue 8 (2023)

 

 

 

Integrable systems in classical mechanics can be subdivided into two large classes. The first one consists of many-body systems and their spin generalizations. The second includes integrable tops, Gaudin models and spin chains. In statistical mechanics these two classes are known as IRF (interaction-round-a-face) models and Vertex models respectively. A pair of statistical models of different types are (sometimes) related by the so-called IRF-Vertex correspondence, which transforms their quantum R-matrices into each other. Similar phenomenon in classical mechanics provides gauge transformation relating Lax pairs of two models. For example, the Calogero-Moser model is many-body system with inverse square potential. There exists a gauge transformation, which transforms it into the top like model of Euler-Arnold type. Two-body Calogero-Moser is gauge equivalent to some special integrable top in 3-dimensional space, and $N$-body system is transformed into  ultidimensional matrix top.

In this paper we describe gauge equivalence at the level of 1+1 field generalizations of the above mentioned models. The field analogue of Calogero-Moser model is given by quite complicated system of soliton equations. At the same time the 1+1 field generalization of the integrable top is given by a certain Landau-Lifshitz type model, describing behaviour of multidimensional magnetization vector on a line (or circle). We show that two models are indeed gauge equivalent at the level of U-V pairs satisfying the Zakharov-Shabat equation. As a result explicit change of variables is obtained.

 

 

 

K.R. Atalikov, A.V. Zotov
JETP Letters 117, issue 8 (2023)

Based on Akama-Diakonov (AD) theory of quantum gravity it was suggested that one can introduce two Planck constants, which are the parameters of the corresponding components

of Minkowski metric, $g^{\mu\nu}_{\rm Mink} = {\rm diag}(-\hbar^2,\hslash^2,\hslash^2,\hslash^2)$. In the AD theory, the interval $ds$ is dimensionless, as all the diffeomorphism invariant quantities (we call this "the dimenionless physics"). The metric elements and thus the Planck constants are not diffeomprphism invariant and have nonzero dimensions. The Planck constant $\hbar$ has dimension of time, and the second Planck constant $\hslash$ has dimension of length. It is natural to compare $\hslash$ with the Planck length $l_{\rm P}$. However, this connection remains an open question, because the microscopic (trans-Planckian) physics of the quantum vacuum is not known.

 

Dimensionless physics emerges also in some other approaches. This includes the $BF$-theories of gravity, the model of superplastic vacuum described in terms of the so-called elasticity tetrads, and also the acoustic gravity experienced by phonons in Bose condensates. In the Bose liquids, such as superfluid $^4$He, the microscopic physics is well known: it is atomic physics. The atomic physics demonstrates that the corresponding acoustic Planck constant $\hslash_{\rm ac}$ is on the order of the interatomic distance $a$. This suggests that in the relativistic quantum vacuum, the Planck constant

$\hslash$ is on the order of the Planck length $l_{\rm P}$. Then the Planck mass, which enters the Einstein–Hilbert action and which is dimensionless as all the masses in the AD quantum gravity, is on the order of unity, $M_{\rm P}=\sqrt{\hslash /G}\sim 1$. That is why the Planck mass becomes the natural choice for the unit of mass.

 

In liquid helium the application of pressure changes the interatomic distance $a$ and thus modifies the acoustic Planck constants. In relativistic quantum vacuum, the non-zero vacuum pressure corresponds to the expanding de Sitter Universe. This suggests that in the de Sitter vacuum the Planck constants deviate from their Minkowski values. The relative change is

$\Delta \hbar/ \hbar \sim \Delta \hslash/\hslash \sim \hslash^2 H^2 \ll 1$, where $H$ is the Hubble parameter.

 

G.E. Volovik
JETP Letters 117, issue 7 (2023)

Discovered more than 100 years ago liquid crystals are nevertheless much younger than other equilibrium states of matter known from ancient times. Hence, liquid crystals are far from being exhausted as a topic of research. Due to their already existing and potential applications, special attention has been attracted to chiral liquid crystals. Chiral nematics or cholesterics are formed by spatial orientational ordering of elongated molecules and are characterized by helical structure.

In this work we study the behavior of cholesteric near the temperature of the transition to the isotropic phase TC. Near TC depending on the pitch of cholesteric helix a remarkable sequence of structures is formed: three-dimensional (3D, so-called Blue Phases BPIII, BPII, BPI), two-dimensional (2D) and one-dimensional (1D) in the plane of the sample:

The transition from 3D to 2D and 1D occurs near TC with decrease of chirality.

This work mainly discusses the 2D periodic structures forming near TC (Figure 1). The reason of their appearance can be related to frustration which could be relieved by formation of topological defects and focal conic domains. We expect that our results will motivate further investigations of various modulated textures in chiral liquid crystals.

Figure 1. (a) Periodic two-dimensional (2D) structures formed by chiral nematic; photographs in reflected and transmitted light. The horizontal size of the images is 60 micron (a) and 80 micron (b)

 

K.D. Baklanova, V.K. Dolganov, E.I. Kats, P.V. Dolganov
JETP Letters 117, issue 7 (2023)
 

 

 

 

Physical phenomena such as echo arise due to the coherence of atomic states, which is induced in a medium by exposing it to pulses of various physical nature. In the case of a photon echo, we are talking about laser pulses in the visible and infrared ranges [1, 2]. In the case of a phonon echo in paramagnetic crystals, the carrier frequencies of probing acoustic pulses lie in the far ultrasonic range [3, 4].

Echo-signals demonstrate the memory of the prehistory of exposure on the various media. Therefore, echo-effects can find applications in information storage and processing systems.

After actions on a two-level medium by two resonant pulses, separated from each other by a time interval $\tau$, the primary echo-signal appears at the instants of time $2\tau$.

Atomic coherent states are destroyed under the action of irreversible phase relaxation. For example, in two-level atoms, phase relaxation leads to an obvious decrease in the intensity of echo responses. In multilevel media, phase relaxation processes can be supplemented by quantum intra-atomic interference of various quantum transitions. Therefore, here one should expect nontrivial phenomena related to the effect of phase relaxation on the properties of echo-signals after exposure to the medium by coherent resonant pulses.

Figure. The appearance of two echo signals at the instants of time $2\tau$ and $3\tau$ after the actions on the paramagnet of two transverse ultrasonic pulses separated by a time interval $\tau$. Pulses are characterized by envelope $\psi$ and durations $\tau_1$ and $\tau_2$. Generation of $3\tau$- echo is possible only if the irreversible phase relaxation times for allowed quantum transitions different from each other.

The study carried out here demonstrates the fundamental possibility of generating two coherent echo signals at times $2\tau$ and $3\tau$ (see figure) in an equidistant three-level system with a cascade scheme of allowed transitions. Moreover, the second echo signal is due to irreversible phase relaxation. The disappearance of phase relaxation entails the disappearance of the echo signal. The mechanism of this effect lies in the destructive interference of two allowed quantum transitions emitting in anti-phase. The difference in phase relaxation times at these transitions leads to incomplete suppression of the resulting coherence. It is for this reason that a signal is generated the $3\tau$- echo. As a physical implementation, an ultrasonic echo on a system of paramagnetic ions embedded in a cubic crystal is considered. Thus, the incoherent processes occurring in the medium are the main reason for the occurrence of one of the coherent responses of the medium to an external resonant action. In a two-level system, such an effect is impossible, since it is the result of destructive interference of two quantum transitions emitting in anti-phase.

  1. U.Kh. Kopvillem and V.R. Nagibarov, Fiz. Metallov i Metalloved. 15, 313 (1963).
  2. N.A. Kurnit, I.D. Abella, and S.R. Hartmann, Phys. Rev. Lett. 6, 567 (1964).
  3. V.R. Nagibarov and U.Kh. Kopvillem, Sov. Phys. JETP 25, 618 (1967).
  4. N.S. Shiren and I.G. Kazyaka, Phys. Rev. Lett. 28, 1304 (1972).

    S.V. Sazonov
    JETP Letters 117, issue 7 (2023)

Among carbon allotropes, one of the mostly discussed and largely controversial candidate is the T12 carbon phase, the representation of which as a monolayer made it possible to propose a hypothetical material - penta-graphene (PG) [1], a single-layer carbon allotrope consisting of five-membered rings. Its atomic structure and various properties have been studied in detail using the computational methods. Studies show a wide range of potential applications for penta-graphene, however, it should be noted that there are a number of works that investigate the stability of penta-graphene. The results allow us to conclude that penta-graphene is not mechanically stable, undergoing bending and twisting deformations of the atomic structure in the periodic and limited representations.
In this work, we study the stability of different types of two-dimensional structures based on penta-graphene and show its possible formation and stability. In addition, optical and electronical properties for different types of considered structures have been demonstrated.

  1. S. Zhang, J. Zhou, Q. Wang, X. Chen, Y. Kawazoe, P. Jena, PNAS 112, 2372–2377 (2015).

A.N. Toksumakov, V.S. Baidyshev, D.G. Kvashnin, Z.I. Popov
JETP Letters 117, issue 6 (2023)

 

 

The interatomic dipole-dipole interaction is commonly thought to be the main physical reason for spectroscopic effects, which are nonlinear in atomic density. However, we have found that the free motion of atoms can lead to other effects that are nonlinear in atomic density due to the damping of the running wave in a gas of resonant atoms. As a result, from the viewpoint of an atom moving at a velocity v, the wave not only changes the frequency by the value kv (Doppler frequency shift), but the field amplitude becomes time dependent: it increases when the atom moves contrary to the wave propagation and decreases when the atom moves along the wave propagation. Correct taking into account of this effect in the framework of the self-consistent solution of the Maxwell-Bloch equations leads to the deformation (shift and asymmetry) of the Doppler lineshape of the absorption resonance. For example, the frequency shift of the field-linear contribution to the transmission signal is more than an order of magnitude greater than the shift due to the interatomic dipole-dipole interaction, and the first nonlinear correction has an even stronger deformation, which exceeds the influence of the interatomic interaction by three orders of magnitude. Thus, the found effects caused by the free motion of atoms require a significant revision of the existing picture of spectroscopic effects, which depend on the atomic density in a gas.

V.I. Yudin et al.
JETP Letters 117, issue 6 (2023)

 

The presence of dust clouds, formed as a result of carbon dioxide condensation, with a dust particle characteristic size of about 100 nm at altitudes approximately equal to 100 km is an important feature of the Martian mesosphere. The existence of such clouds was discovered by the Mars Express mission measurements using the SPICAM infrared spectrometer. In March, 2021, the rover Mars Science Laboratory Curiosity took photographs of Martian clouds that appeared to be formed of solid carbon dioxide particles.

The natural assumption is that, analogously to the noctilucent clouds in the Earth’s atmosphere, these mesospheric clouds are the dusty plasma structures in the ionosphere of Mars. This assumption is consistent with the concepts of dusty plasmas, according to which one of the main features distinguishing dusty plasmas from ordinary one (not containing charged dust particles) is the possibility of self-organization, leading to the formation of macroscopic structures such as dusty plasma clouds, drops, crystals, etc.

The purpose of this letter is to refine the model describing the dusty plasma structures in the Earth’s ionosphere, as well as to determine (on the basis of the updated model) the altitude distribution of particles constituting the Martian mesospheric clouds. The model for the Martian atmosphere takes into account the following features in comparison with the Earth’s atmosphere:

(1) The main gas component of the Martian atmosphere is carbon dioxide (about 95%), therefore only solid carbon dioxide particles constitute the Martian mesospheric clouds. In turn, water vapor, forming composite icy particles of noctilucent clouds in the Earth’s ionosphere, contains only 0.5% of the mass of atmospheric gas.

(2) Under conditions of the Earth’s atmosphere the density of water vapor is negligible compared to the density of nitrogen and oxygen, so that during the entire time of sedimentation the main inhibiting factor is viscous friction, while for the Martian mesosphere the situation is more complicated. In the condensation zone, the inhibition factor of a dust particle due to the collision of condensate molecules to it (analogous to the reactive force) is significant because of the large number density of desublimating carbon dioxide, as well as non-zero relative velocity of CO2 molecules. At the same time, the viscous friction force is caused by only 5% of gases admixed to the carbon dioxide of the atmosphere of Mars. In the sublimation zone, all the gas of the Martian atmosphere creates a viscous friction force, because the relative velocity of the evaporating carbon dioxide molecules is equal to zero in this case. Physically, this means that the particles of the evaporated CO2 detached from the dust particle are decelerated not due to the acceleration of the particle, but due to the molecules of the atmosphere.

(3) As in the case of Earth, the atmosphere of Mars does not transmit ultraviolet radiation with sufficiently low wavelengths. Thus, the transmission coefficients of the Martian atmosphere at an altitude of about 100 km, calculated on the basis of experimental data obtained by the SPICAM spectrometer, for wavelengths less than 165 nm (which corresponds to photon energies exceeding 7.5 eV) are approximately equal to zero, and for higher wavelengths are approximately equal to one. The work function of CO2 in the solid phase is equal approximately to 11.5 eV. Thus, it can be assumed that at the observed altitudes the photoelectric effect is negligible for the dust particle charging process. Furthermore, the charges of dry ice (CO2) particles are negative because the electron mobility is greater than the ion one.

Based on the developed model, the altitude distribution of dust particles in the Martian mesospheric clouds has been obtained. It turns out that an important factor affecting the formation of dusty plasma clouds, which should be taken into account, is the Rayleigh-Taylor instability. This instability leads to the fact that the dusty plasma clouds can exist only with sufficiently small sizes of their constituent dust particles. Furthermore, there is an upper limit on the thickness of the dusty plasma clouds.

 

Figure. (left) Temporary evolution of the dust particle altitude distribution in Martian mesospheric clouds formed as a result of sedimentation of a cloud of seeds, which constitutes initially a model rectangular profile of number densities at altitudes of 110-120 km. (right) The dependence of the characteristic development time of Rayleigh-Taylor instability and the sedimentation time versus dust particle sizes at the altitude of 90 km.

 

Yu. S. Reznichenko, A. Yu. Dubinskii, and S. I. Popel
JETP Letters 117, issue 6 (2023)

 

 

 

 

KMnO$_4$, a compound containing highly oxidized Mn$^{+7}$, appears to be in conflict with the extremely high ionization energy of approximately a hundred eV required to create such an ion. This value far exceeds the typical chemical bonding energy of a few eV. To gain further insight into this phenomenon, we employ the Wannier functions formalism to examine the distribution of Mn-3d electrons and O-2p electrons in the MnO$_4^-$ complex for empty electronic states.  Our results indicate that the $d^0$ configuration for the manganese ion in this compound is indeed not entirely representative of the system. Specifically, only approximately half of the hole density attributed to this configuration by the Wannier functions corresponds to d-electrons, while the remaining half is distributed among the surrounding oxygen atoms (see Figure). Consequently, the actual charge of Mn atoms is closer to +2, as the calculated total number of d-electrons is equal to 5.25.

Moreover, we suggest a method for dividing the bonding energy into covalent and ionic contributions within the Wannier functions formalism. Our analysis clearly indicates that the MnO$_4^-$ complex exhibits a nearly perfect covalent type of chemical bonding, with a smaller ionic component.

In other words, in Mn(VII) state only about two electrons are transferred to oxygen atoms, while the remaining five electrons are engaged in covalent bonding.



Anisimov V.I., Oganov A.R., Mazannikova M.A., Novoselov D.Y., Korotin Dm.M.
JETP Letters 117, issue 5 (2023)



 

Transverse periodic modulation of the refractive index in arrays of waveguides has a stabilizing effect and makes it possible to avoid spatiotemporal  collapse, in contrast to a homogeneous cubic non-linear medium.
               In this letter we have demonstrated strong spatiotemporal compression of IR radiation in the weak anomalous group velocity dispersion region, in arrays of waveguides fabricated by femtosecond laser writing inside fused silica. With pulse shortening by more than an order of magnitude without additional dispersive post-compression, the pulses reach a duration of several periods of the light field at wavelengths of the telecommunication range.
               These results open up wide opportunities for the development of waveguide arrays for spectral transformation and temporal compression of subpicosecond pulses with μJ energies, further experimental studies of the dynamics of ultrashort pulses in topological switching devices and, in particular, the excitation and propagation of stable topological light bullets in systems with complex spatial structures, e.g. dynamic waveguide arrays.

Cross-correlation measurements with a reference pulse, depending on the input energy of IR pulses. Linear mode (left), localization threshold (middle) and maximum localization (right). The bottom row shows the corresponding IR images of the output profiles.

A.A. Arkhipova et al.
JETP Letters 117, issue 5 (2023)

The atomic Bose condensate is a unique macroscopic quantum object. Its use in quantum computing has long been discussed. The use of magnon Bose condensate (mBEC) for this purpose has a number of advantages. In a film of yttrium iron garnet (YIG), magnons reach the concentration required for Bose condensation with a dynamic deviation of the precessing magnetization by an angle of about 3°. In this case, the magnon density can reach 1016 per cm3. Averaging over such a large number of identical particles makes it possible to carry out quantum operations up to room temperature. Typically, mBEC is formed at the repulsion of magnons. In this case, a positive frequency shift occurs, called the "foldover" resonance. In this article, for the first time, the coherent state of magnons is obtained at their attraction. A negative frequency shift was obtained, called the inverse "foldover" resonance. In this case, the magnon Bose condensate should also appear. The stability of the condensate is achieved by external RF pumping. Promising are the further studies of the dynamic properties of the resulting Bose condensate with an attractive potential, which have already been studied for an atomic condensate.

Fig. 1. Angle of precessing magnetization deflection for in-plane (2,4) and out-of-plane (1,3) magnetization as a function of the pump energy. At angles larger than 3°, magnons should form mBEC.

Yu.Bunkov, P.Vetoshko, T.Safin, M.Tagirov
JETP Letters 117, issue 4 (2023)

 

 

This work is devoted to theoretical studies of methods for obtaining and experimental identification of superhard hexagonal (2H) diamond (Fig. 1a). Calculations showed that the most probable way to obtain 2H diamond is to treat cubic (3C) diamond with [211](111) shear stress exceeding 102.9 GPa at an average pressure of ~ 37.7 GPa (Fig. 1b). We also calculated spectral characteristics of hexagonal diamond and other diamond polytypes. It is established that hexagonal diamond can be unambiguously identified if there are no other diamond polytypes with non-zero hexagonality in the system under study. In addition, Raman and electron energy loss spectroscopy data were analyzed for the presence of 2H diamond polytype in carbon compounds of artificial or natural origin. The analysis showed that pure hexagonal diamond has not yet been obtained, and the structure of the synthesized compounds is close to the structure of polytypes with a large lattice period or random layer packing.

Figure 1. (a) Crystal structures of 3C and 2H diamond polytypes. (b) Pressure versus shear stress during the phase transition of cubic diamond to hexagonal diamond.

V.Greshnyakov
JETP Letters 117, issue 4 (2023)

Erbium-doped crystals are widely studied with the aim of using them in quantum telecommunications. The lifetime of coherence of electronic states is important here. Analyses of the time dependence of the photon echo intensity provides a direct method of measuring this time.
   The article presents results of studying the external magnetic field effect on the intensity of photon echo in LuYF4 and YLiF4 single crystals with erbium impurity ions. It was found that the intensity of echo signals critically depends on the direction of the magnetic field H changes and on the sign of the angle between H and the C axis of the crystal. Moreover, this dependence exhibits a butterfly-shaped hysteresis.

To explain the observed effects, it is assumed that they are caused by the interference of magnetic dipole and electric dipole resonance  transitions excited simultaneously by optical resonance pulses. The effects of such interference are present in materials with a magnetoelectric effect, when external magnetic field creates electric polarization, and electric field creates magnetization. Usually such effects are observed in multiferroics, materials in which spontaneous polarization and magnetization can coexist. We believe our paper reports the first observation of the magnetoelectric effect in crystals with low-concentration of paramagnetic impurity centers. The results obtained may be important  for the development of fundamentally new methods for controlling optical properties of impurity ions in crystals by  the external magnetic field.

 A.M.Shegeda, S.L.Korableva, O.A.Morozov, V.N.Lisin, N.K.Solovarov, V.F.Tarasov
JETP Letters 117, issue 4 (2023)

This work is aimed at theoretical studies of artificial graphene created by lateral triangular electrostatic modulation (superlattice) of two-dimensional electron gas in GaAs heterostructure. The period of the superlattice is about 100nm. Experiments on this system are in progress. The system is interesting for two major reasons that are related to the large lattice spacing. (i) The magnetic field 25 mT is equivalent to 6000 T in natural graphene, so this is the study of graphene at extremely high magnetic field. (ii) Electron-electron correlations are strongly enhanced compared to that in natural graphene.
The Hall resistance at the energy slightly below the first Dirac point is shown in the figure. The red line represents the device without disorder. As expected, there are quantum Hall plateaus at $B\approx30$ mT. What is unexpected and what is the major result of the present work is the reduction of the quantum Hall plateaus resistance due to long-range disorder. The green and the blue lines show the Hall resistance for devices with progressively increasing disorder.


O. A. Tkachenko, V. A. Tkachenko, D. G. Baksheev,  O. P. Sushkov
JETP Letters 117, issue 3 (2023)

A method of ghost fiber-optic 3D endoscopy is proposed, in which, spatial and temporal correlations of light beams formed in a bundle of single-mode fibers illuminated by femtosecond laser pulses are used to obtain volumetric images of objects. An original algorithm, using both the properties of femtosecond radiation and the features of light propagation in an inhomogeneous scattering medium, makes it possible to achieve spatial depth resolution in the process of ghost image restoraton. To confirm the effectiveness of the proposed method, numerical simulation of the restoration of a  3D ghost image of an object in the form of an octahedron with a layered structure was carried out (Fig. 1).

Fig.1. (a) the original profile of a layered 3D object in the form of an octahedron; (b) numerical result of reconstructing the three-dimensional profile of its scattering using the ghost  3D algorithm

The obtained results are important for the development of the fundamentals of ghost fiber  optics, which is at the intersection of  fiber, statistical and quantum optics, ghost image method and intelligent computer vision systems.

                                                                       A.V.Belinsky, P.P.Gostev, S.A.Magnitskiy, A.S.Chirkin,
                                                                       JEPT Letters 117, issue 3 (2023)

 

Isotropic diffuse gamma-ray flux in the PeV energy band is an important tool for multimessenger tests of models of the origin of high-energy astrophysical neutrinos and for new-physics searches. So far, this flux has not yet been observed. Carpet-2 is an air-shower experiment at the Baksan Neutrino Observatory of INR RAS capable of detecting astrophysical gamma rays with energies above 0.1 PeV. Photon-induced air showers can be distinguished from the cosmic-ray background by their low muon content, and Carpet-2 uses its 175 square-meter muon detector for this purpose. Here we report the upper limits on the isotropic gamma-ray flux from Carpet-2 data obtained in 1999-2011 and 2018-2022. To minimize the effect of uncertainties of modelling of hadronic air showers on the result, we developed a new statistical method based on the shape of the entire muon-number distribution. With this method we obtained upper limits on the isotropic flux shown as open and filled circles in the plot (the gray symbols represent the limits from other experiments).

 

D.D.Dzhappuev et al.
JETP Letters 117, issue 3 (2023)

In Diakonov theory of quantum gravity, the gravitational tetrads emerge as the bilinear combinations of the fermionic fields. According to this theory, such tetrads have dimension of inverse length, $1/[L]$, and thus the metric in general relativity may have dimension $1/[L]^2$. Several other approaches to quantum gravity, including the model of superplastic vacuum and BF-theories of gravity, support this suggestion. Even the acoustic metric emerging in condensed matter systems has dimension $1/[L]^2$. The important consequence of such unusual dimension of the metric is that all the diffeomorphism invariant physical quantities are dimensionless. These include the action $S$, interval $ds$, cosmological constant $\Lambda$, scalar curvature $R$, scalar field $\Phi$, etc., Dimensionless physics: Planck constant as an element of Minkowski metrici.e. $[S]=[ds]=[\Lambda]=[R]=[\Phi]=[1]$. The consequences of Diakonov theory suggest that metric describes the dynamics, quantum mechanics and thermodynamics, rather than the geometry.

 

In this paper we are trying to further exploit the Diakonov idea and consider the dimension of the Planck constant $\hbar$. The application of the Diakonov theory suggests that the Planck constant $\hbar$ is the parameter of the Minkowski metric and has the dimension of length, $[\hbar]=[L]$. Moreover, the Newton constant $G$ also has the dimension of length, $[G]=[L]$, which provides the correct dimension of the Planck length $[l_P]^2=[\hbar G] =[L]^2$. Whether the Planck constant $\hbar$ equals the Planck length $l_P$ is an open question.

 

In principle it is not excluded that there can be different Minkowski vacua, with cosmological phase transitions between these vacua, see the paper by F.R. Klinkhamer, Extension of unimodular gravity and the cosmological constant, Phys. Rev. D 106, 124015 (2022). Then each vacuum may have its own value of the parameter $\hbar$. In this case the thermal contact between two Minkowski vacua obeys the Tolman law, i.e., in thermal equilibrium their temperatures are connected in the following way: $\hbar_1/T_1=\hbar_2/T_2$.

 

G.E.Volovik
JETP Letters 117, issue 3 (2023)

Magnetic and electronic states of iron in the hexagonal close-packed (hcp) ε-Fe phase were studied by synchrotron Mössbauer spectroscopy on Fe-57 nuclei by the nuclear forward scattering (NFS) method. The measurements were performed at ultrahigh pressures up to 241 GPa (2,410 MBar) in the temperature range from 4 to 300 K, as well as in external magnetic fields up to 5 Tesla. It has been found that Fe atoms are in a non-magnetic state (Fig. 1c) in the entire P-T region. The  theoretically proposed magnetic instability and quantum spin fluctuations, which can be stabilized by external magnetic field, are not confirmed by our measurements of NFS spectra in an external magnetic field. It has been found that the dependence of the isomer shift on pressure IS(P) is non-linear (Fig. 1a), and at the maximum pressure of 241 GPa, the value of IS reaches an extremely high negative value ≈ – 0.8 mm/s, indicating a very high electron density at the iron nuclei. At 100–240 GPa, sharp changes in the electron density on the iron nuclei were found in the 100–200 K temperature range (Fig.1b). This indicates the occurrence of phase transitions with a change in the electronic structure, that may be associated with a sharp increase in conductivity or even with the appearance of superconductivity.

Figure 1. (a) Pressure dependence of the isomer shift in ε-Fe iron for various temperatures. The solid lines are the third-degree polynomial approximation. (b) Temperature dependences of the isomer shift for various pressures. The isomeric shift values are given relative to α-Fe at room temperature and ambient pressure. (c) P-T phase diagram of iron: triangular symbols mark the P-T points where the NFS spectra were measured in our experiment.  All points indicate the non-magnetic state of iron.

 

A. Gavriliuk,  V. Struzhkin, S. Aksenov, A. Mironovich, A. Ivanova, I. Troyan, I. Lyubutin
JETP Letters 117, issue 2 (2023)

 

 

Mesocavities support simultaneous interactions of exciton to few cavity modes. Such situation occurs when strength of exciton-photon interaction (Rabi splitting) and energy interval between cavity modes are comparable. Recently, non-monotonic dependence of the occupancy of polariton states on the pumping intensity has been observed.

Figure. Dependence of the population of polariton modes on pumping. For polariton modes with energies below the exciton energy, anomalous hysteresis loops are observed with a nonmonotonic dependence of the population on pumping.

A. V. Belonovskii, V. V. Nikolaev, E. I. Girshova
JETP Letters 117, issue 2 (2023)
 

The Fröhlich charge transfer mode was initially erroneously proposed as an explanation for superconductivity. It turned out later that the described collective conductivity mechanism is indeed realized in quasi-one-dimensional conductors with charge density waves (CDWs), but the CDW conductivity is finite. Moreover, in the limit of a strong electric field E, the CDW conductivity, $\sigma_{\rm CDW}(\it E)$, approaches the conductivity of the electrons condensed in it in the normal (metallic) state, but never exceeds it. No universal explanation for this regularity has been proposed by now.

In this work, this regularity is probed on the NbS3 monoclinic phase. NbS3 compound is unique in that three CDWs are formed in it, and all three can slide in the presence of  electric field. The authors have suggested a way of mobility estimation, applicable both to the CDWs and to the quasiparticles forming them. It turned out that the difference between the mobilities of different CDWs reaches almost two orders of magnitude. At the same time, the mobility of each of them is close to the normal-state mobility of the quasiparticles forming it. Moreover, there is a correlation between the temperature dependences of CDW and quasiparticle mobilities. For example, both the CDW-0 state and its constituent quasiparticles exhibit a dielectric behavior. In this case, the mobility value, 0.04–0.05 cm2/Vs, evidences for the hopping origin of conduction. The results of the work actualize questions about the mechanism of limiting conductivity of charge density waves.

Fragments of temperature dependences of conductivity of NbS3 samples in the regions of the three CDW transitions: TP0 (left), TP1 (middle) and TP2 (right). The vertical red lines show the “projections” of the $\sigma (\it E)$ dependences measured up to the high fields. The lines are placed at the temperatures, at which $\sigma (\it E)$ was measured. The length of each line gives the estimate of $\sigma_{\rm CDW}(\infty)$. One can see that this value is comparable with the value of s step, $\delta \sigma$, at the corresponding CDW transition (the left panel illustrates the method of $\delta \sigma$ estimation).

S. Zybtsev, V.Ya. Pokrovskii, S. Nikonov, A. Mayzlakh, S. Zaitsev-Zotov 
JETP Letters 117, issue 2 (2023)

The neutrino masses are at least six orders of magnitude smaller than the masses of all other charged fermions of the Standard Model. The exchange of weakly interacting particles of low mass creates an interaction potential with a high interaction radius, which can affect the structure of neutron stars. Since neutrinos are fermions, they can participate in long-range two-body interactions through the exchange of neutrino pairs. The neutrino-pair exchange potential is similar to the van der Waals potential resulting from the exchange of two photons.
The infrared instability of long-range multiparticle neutrino interactions in neutron stars has been the subject of discussion for a long time [1-3]. For regularization of neutrino-induced interactions in the infrared range, it was proposed to limit neutrino masses from below to a value of the order of one electron volt, which is remarkably close to the current neutrino mass constraints derived from tritium β-decay experiments and cosmological models.
In this paper, it is demonstrated that the infrared divergences discussed so far in the literature are absent in each individual term of the decomposition of the thermodynamic potential by powers of neutron matter density. Moreover, for both massless and massive neutrinos, all the terms vanish except for the interaction of two neutrons, which is negligible. As a result, long-range multiparticle neutrino interactions have no observable effect on the structure and stability of neutron stars.

[1] E. Fischbach, Long-Range Forces and Neutrino Mass, Ann. Phys. (N.Y.) 247, 213 (1996).
      [2] As. Abada, M.B. Gavela, O. Pinea, To rescue a star, Phys. Lett. B 387, 315-319 (1996).
      [3] E. Fischbach, D.E. Krause, Quan Le Thien and C. Scarlett, Implications of Recent KATRIN Results for Lower-Limits on Neutrino Masses, arXiv:2208.03790v1 [hep-ph] 7 Aug 2022.

M.I. Krivoruchenko
JETP Letters 117, issue 2 (2023)

The intrinsic antiferromagnetic topological insulator MnBi2Te4 provides a very attractive platform for the realization of various magnetic and topological states. In the ground state, the MnBi2Te4 thin films with an even number of septuple-layer blocks are axion insulators, but with increasing external magnetic field, they show a transition to quantum anomalous Hall regime, which is accompanied by conversion between collinear and non-collinear magnetization textures.
In this letter we present theoretical investigation of such topological transition. In the continuum approach, we model an effective two-dimensional Hamiltonian for the thin film of a topological insulator with non-collinear magnetization, on the basis of which we obtain the energy spectrum and the Berry curvature. The analysis of topological indices makes it possible to construct a topological phase diagram depending on the parameters of the system and the canting angle. For topologically different regions of the diagram, we describe the edge electronic states on the film side face. In addition, we investigate the spectrum of one-dimensional states on the domain wall separating domains with the opposite canting angles (see the figure). We also discuss the experimental situation in the MnBi2Te4 thin films.
The obtained results significantly deepen the understanding of the relationship between band topology and magnetic ordering.

Spectrum of electronic states in a thin film of antiferromagnetic topological insulator containing a domain wall.

V. N. Men’shov & E. V. Chulkov
JETP Letters 117, issue 2 (2023)


 


 

Optical coherence tomography (OCT) is a non-invasive imaging approach, expending the diagnostic possibilities in a wide range of tasks. An ability to resolve two closely located reflectors characterizes longitudinal spatial resolution, which is one of the most important characteristics of the OCT system. However, chromatic dispersion of the sample deteriorates the spatial resolution. Quantum OCT, based on the biphoton interferometery (general scheme is shown in figure 1, on the left), is widely considered as a means to cancel the dispersion effect.
The current Letter reports on a novel quantum OCT approach, based on interference of biphotons, that have different frequencies of the photons. It is shown that when the spectral separation between the photons is changed, the probability of coincident detection of the photons has an oscillating shape (an example of a spectral-domain biphoton interference signal is shown in figure 1 on the right).
The proposed spectral-domain quantum OCT approach was compared with traditional time-domain quantum OCT and classical OCT in terms of the longitudinal spatial resolution. It was analytically shown that when both the parasitic interference components and dispersion influence are taken into account, spatial resolutions of both time-domain quantum OCT and classical OCT are nearly the same, while the proposed spectral-domain quantum OCT can provide about 1.5-times better spatial resolution.

 

N. Ushakov, T. Makovetskaya,.A.Markvart, L.Liokumovich
JETP Letters 117, issue 1 (2023)

Within the self-consistent nuclear many-body theory and the Green function method, the task of calculation probabilities of the E1- transition between the first $2^+ and 3^-$  -excited levels in nuclei with pairing is considered. For the first time, calculations were performed for a long chain of even-even tin isotopes. For the characteristics of both phonons and E1- transitions between excited states, the well-known Fayans energy density functional was used. A good description of the available experimental data has been obtained for the reduced probabilities of E1 transitions between the first one-phonon states for isotopes 116-124Sn, rather than for isotopes 112Sn and 114Sn. Possible causes of this discrepancy are discussed, the most probable of which is the appearance of deformation in the ground or excited states. It is shown that for the explanation of E1-transition experiments in 116−124Sn it is necessary  to take into account new (i.e. dynamic three-quasiparticle) ground state correlations (GSC), Fig.1. Therefore, a self-consistent theoretical analysis of transitions between excited states is very promising for low-energy physics.

 

Fig.1. The reduced probabilities of E1-transition between one-phonon states B(E1)($3^-_1 \rightarrow 2^+_1$), e2fm2.
           The results of the calculation with and without dynamic ground state correlations are given. Experimental data [1, 2]

[1] R. Wirowski, M. Shimmer, L. Eser, S. Alberos, K.O. Zell and P. von Brentano, Nucl. Phys. A 586, 427 (1995).
       [2] L. I. Govor, A. M. Demidov, O. K. Zhuravlev, I. V. Mikhajlov and E. Y. Shkuratova, Sov. J. Nucl. Phys. 54, 196 (1991).

 

M. I. Shitov, S. P. Kamerdzhiev, S. V. Tolokonnikov
JETP Letters 117, issue 1 (2023)

 

The Mott (metal-insulator) transition occurs in d-metal compounds owing to strong Coulomb interaction (electron correlations). More often, this transition occurs in antiferromagnetic phase (so-called Slater scenario), but the situation changes for magnetically frustrated systems: only paramagnetic metallic and insulator states are involved, a spin liquid being formed. The transition into such insulator state is related to correlation-induced Hubbard splitting (the Mott scenario). In the Mott state the gap in the spectrum is essentially the charge gap determined by boson excitation branch. Therefore the electrons become fractionalized: the spin degrees of freedoms are determined by neutral fermions (spinons), and charge ones by bosons. The corresponding slave-boson representation was first introduced by Anderson.

In fact, bosons and fermions are coupled by a gauge field, so that the problem of confinement occurs. The transition into the metallic confinement state is described as a Bose condensation, the electron Green's function acquiring finite residue. On the other hand, in the deconfinement insulator state the bosons have a gap, so that the spectrum is incoherent (the full electron Green's function is a convolution of boson and fermion ones) and includes Hubbard's bands.

New theoretical developments provided a topological point of view for the Mott transition, since spin liquid possesses topological order. Phase transitions in frustrated systems can be treated in terms of topological excitations (instantons, monopoles, visons, vortices) which play a crucial role for confinement.

To describe the Mott transition we use the Kotliar-Ruckenstein slave-boson representation which provides explicitly the spectrum of both Hubbard bands. In the absence of considerable quasimomentum dependence of spinon distribution function (a localized spin phase without fermion hopping), the corresponding self-energy tends to zero. However, for a spin liquid we have a sharp Fermi surface. Thus for the Mott insulators the spinon Fermi surface is expected to be preserved even in the insulating phase, so that the Luttinger theorem (conservation of the volume under the Fermi surface) remains valid. However, this Fermi surface is strongly temperature dependent since a characteristic scale of spinon energies is small in comparison with that of electron ones. Thus the spectrum picture in the insulating state is considerably influenced by the spinon spin-liquid spectrum and hidden Fermi surface.

V.Yu  Irkhin
JETP Letter 117, issue 1 (2023)

In an imbalanced bilayer electron system formed in a single wide (60 nm) GaAs quantum well, we have observed an unexpected drastic transformation of the sequence of quantum Hall effect (QHE) states when tilting the magnetic field from the normal to the  plane of the bilayer system. The collective integer QHE states at total filling $\nu$ one and two are replaced by a set of fractional QHE states. Depending on the total electron density and its distribution between the two layers, controlled by the top- and back-gate voltages, the $\nu_F=4/3$, 6/5, 10/7 and 5/4 fractional quantum Hall states with both odd and even denominators have been observed. They typically come in pairs with two different fractions for a single field sweep. With a dual gate capacitive technique [1, 2], these fractional states have been identified as a combination of the integer QHE state at filling factor one in the layer with higher electron density (layer A) and fractional states at filling factors $\nu_F-1$ in the lower density layer (layer B). The observation of a pair of fractional states implies a redistribution of the electrons among both layers as the magnetic field is swept. This allows maintaining filling factor one in layer A, while facilitating a change to the other fractional filling factor in layer B. This is a new feature of co-existing QHE states in bilayer systems. Both the striking influence of tilting the magnetic field as well as the emergence of the 5/4 fractional quantum Hall state with 1/4 filling of layer B, deserve thorough theoretical analysis. Phenomenologically, the magnetic field component parallel to the layers impairs the coupling between them. We also note, that in our imbalanced samples the nearest neighbours for electrons in the lower density layer B are electrons of layer A, which can fundamentally change the manifestation of the electron-electron interaction. This may be responsible for the appearance of the even denominator 1/4 state in layer B. In general, the electron configuration studied here is promising for the quest for novel many body effects.

 

The magnetoresistance $R_{xx}$ (right scale) and Hall resistance $R_{xy}$ (left scale) versus normal component $B_n$ of magnetic field for two angles between the field and normal to the quantum well: $\Theta=0^{\circ}$ (blue lines) and $\Theta=48^{\circ}$ (black solid lines). Blue $R_{xy}$ line is shifted downwards by 0.05 for clarity. Vertical dashed lines show positions of total filling factors $\nu$ and $\nu_F$. The electron densities in the lower density layer $n_B$ (measured at low magnetic field) and in total electron system $n_t$ are given in units of $10^{10}$~cm$^{-2}$. Temperature $T=0.5$~K.

 

[1] S.I. Dorozhkin, A.A. Kapustin, I.B. Fedorov, V. Umansky, K. von Klitzing, and J.H. Smet, J. Appl. Phys. 123, 084301 (2018).
       [2] S.I. Dorozhkin, A.A. Kapustin, I.B. Fedorov, V. Umansky, and J.H. Smet, Phys. Rev. B 102, 235307 (2020).


 

 

 

 

 

S. I. Dorozhkin, A. A. Kapustin, and I. B. Fedorov, V. Umansky, J.H. Smet
JETP Letters 117, issue 1 (2023)

The Figure below shows the Fermi surfaces for InCo2As2 (panel (a)) and KInCo4As4 (panel (b)) obtained in LDA. For InCo2As2, all large sheets of the Fermi surface are concentrated around the corners of the Brillouin zone. For InCo2As2, all Fermi surface sheets have a pronounced kz-dependence. In the KInCo4As4 system, where the K- and In- layers of the crystal structure are interchanged, the Fermi surface becomes practically quasi-two-dimensional (panel (b)). It can also be seen in the band structure in the G-M and M-A directions near the Fermi level are almost identical (Panel (b)) in contrast to InCo2As2 (panel ()). The Fermi surface for KInCo4As4 is similar to that of iron-containing superconductors, but the shape of the Fermi surface sheets near the G-point is closer to a rectangular prism than to a cylinder. This shape of the Fermi surface sheets may facilitate nesting. Experimental synthesis and study of the KInCo4As4 samples is interesting for testing the occurence of superconductivity.

DFT/LDA calculated Fermi surfaces for InCo2As2 (panel (a)) and KInCo4As4 (panel (b)).

N.Pavlov, I.Shein, K.Pervakov, I.Nekrasov
JETP Letters 117, issue 1 (2023)

 

One of the most important directions in modern methods of micro-fabrication is stereographic two-photon polymerization lithography (TPP). This method enables creating three-dimensional polymer structures with a high accuracy, and is also very flexible for any production tasks.
Here we show how the TPP method can be useful for printing the basic elements of three-dimensional integrated optics. We fabricated polymer waveguides with attached prism adapters, as well as microresonators of various shapes and sizes. The waveguides suspended above a glass substrate with input/output prisms (Fig.1(a)) showed good efficiency in low-mode regime. The advantages of the proposed prism coupler are small size, wide spectral range and low losses (no more than 1.25dB). Another important feature of this work is the demonstration of printing of an active optical system using a polymer doped with various laser dyes. We also demonstrate  combined systems consisting of active microresonators and passive waveguides on a single substrate (Fig.(c)). The future development of such integrated optical system is very promising for creation of three-dimensional optical logic and sensor devices.

Figure 1. a) 3D model of a suspended waveguide with prism adapters, the blue line shows path of the optical beam, b) SEM image of the printed structure, c) optical image of the printed structure under illumination with white light and UV radiation, the blue ring is the luminescence of the dye in the cylinder.

A.Maydykovskiy, D.Apostolov, E.Mamonov, D.Kopylov, S.Dagesyan, T.Murzina
JETP Letters 117, issue 1 (2023)

In the transition metal compounds the Mott metal-insulator transitions driven by strong electron correlation effects are often accompanied by complex phase transformations associated with long-range ordering of the spin, charge, and orbital states. It results in the formation of complex phases and rich phase diagrams, which makes these compounds highly attractive for technological applications. A specific orbital ordering often yields a spin-singlet orbital-assisted Peierls state at low temperatures. In this view, quasi-one-dimensional vanadate V$_6$O$_{13}$, a member of the Wadsley phases V$_{m}$O$_{2m+1}$, reveals a highly unusual %coexistence of long-range magnetic and nonmagnetic spin-singlet states experimentally observed
magnetic state in its low-temperature insulating phase. In fact, being a mixed-valent oxide containing both 4+ and 5+ V ions (in the nominal $3d^1$ and $3d^0$ electronic state, respectively) with a corresponding ratio 2-to-1, below $\sim$150 K V$_6$O$_{13}$ undergoes a metal-insulator transition, accompanied by a remarkable decrease of magnetic susceptibility. Here, using the DFT+$U$ method we show that the phase transition at $\sim$150 K is associated with charge ordering at which the half of V$^{4+}$ ions form spin-singlet pairs, while the remaining V$^{4+}$ ions in the double V-V layers order antiferromagnetically below $\sim$55 K. Based on this we propose that the metal-insulator transition and low-temperature magnetic properties of V$_6$O$_{13}$ involve the spin-Peierls transition assisted by orbital ordering and concomitant distortions of the crystal structure.

 

(a) Lattice structure of the low-temperature (LT) spin-Peierls insulating phase of V$_6$O$_{13}$ projected on the (100) plane. (b) The crystal structure of V$_6$O$_{13}$ projected on the (110) plane. (c) Charge and orbital ordering of LT V$_6$O$_{13}$ projected on the (100) plane. The double layers with $x=\pm\frac{a}{4}$ which include zigzag chains running along the $b$-axis containing both 4+ and 5+ V ions, and a single layer ($x=0$) which is formed by V$^{4+}$ (with $3d^1$ state) ions, are shown. The size of orbital corresponds to its occupancy.  Red and blue colors correspond to the majority and minority spin states, respectively.

I. V. Leonov
JETP Letters 116, issue 12 (2022)

Quasi-one-dimensional (1D) linear-chain ternary iron chalcogenides AFeX2 (A = K, Rb; X = S, Se) have recently begun attracting attention due to their wide range of potential applications. One of the most interesting application is antiferromagnetic spintronics due to the great speeds and frequencies of magnons in these crystals. Tuning of an anticipated spin Hamiltonian and corresponding approximations to accurately describe a certain magnetic subsystem of a compound can be derived by comparing the experimental magnetic specific-heat data with the theoretical predictions derived from the model. The magnetic specific heat of a compound can be obtained as a difference between total specific heat and all the other contributions, exclude the magnetic one. However, the crystal lattice specific heat inevitably should be taken into account.
In this work, we have performed ab-initio calculations of vibrational properties of KFeSe2 compound using the density functional theory (DFT) without Hubbard correction as first approach to this task. Total and element specific phonon densities of states (PDOS) were calculated within a direct approach of harmonic approximation (Fig. 1 inset). Calculated PDOS shows numerous high-frequency vibrational modes of Fe and Se atoms, which strongly restrict application of the Debye model for fine analysis of thermodynamic properties of KFeSe2 such as lattice specific heat.
We used the obtained PDOS to calculate lattice contribution to the specific heat directly by using quasi-harmonic approximation. The calculated lattice contribution to the specific heat is presented in Fig. 1. The lattice specific heat reaches 96 JK-1mol-1 at 300 K and does not exceed Dulong-Petit law’s limit (about 99 JK-1mol-1). The lattice specific heat could be used in a future detailed analysis of magnetic properties of KFeSe2 such as magnetic specific heat and entropy of magnetic subsystem.

Figure 1. Temperature dependence of the lattice specific heat of KFeSe2; the inset shows the calculated phonon density of states in KFeSe2: element-specific (K, Fe and Se atoms, from bottom to top) and the total PDOS (at the bottom).

 

M.D. Kuznetsov, A. G. Kiiamov, D.A. Tayurskii
JETP Letters 116, issue 12 (2023)

 

 

Emergent Majorana zero modes in topological materials are extensively studied due to their exotic properties. Due to their nontrivial exchange statistics, braiding of Majorana modes allows for topologically protected quantum logic gates and their use for topological quantum-state manipulations.

In particular, hybrid superconductor-topological insulator structures were discussed. Fu and Kane analyzed a topological Josephson junction between superconducting films on top of a topological insulator and demonstrated the appearance of Majorana edge states. We consider a junction in an external magnetic field perpendicular to the surface where Majorana zero states are point-like structures bound to Josephson vortices. Similar setups can be used as a platform for topological quantum computations.

We observe that the tunnel coupling between the Majorana zero modes vanishes at zero chemical potential. This indicates protection of these modes and needs to be accounted for in relevant experiments. Moreover, variation of the chemical potential provides a method to couple Majorana modes and perform quantum operations, equivalent to braiding.

Figure. Superconductor-Topological Insulator-Superconductor Josephson junction in a transverse magnetic field along z. Blue and orange spots indicate location of Majorana bound states.

 

Backens S., Shnirman A., Makhlin Yu.
JETP Letters 116, issue 12 (2022)

 

W report the first experimental observation of quasi two-dimensional (q2D) plasma crystal in (3+1) dimensions: we resolved every single particle over a long time with unprecedented accuracy in both the spatial 3D and time domains, which allowed us to observe fine details of melting and recrystallization of the q2D structure confined in rf discharge. A new instrument based on optical tomography (optical stereo vision) was developed and implemented. We observed, in particular, a buckling transition from a nearly planar plasma crystal (with hexagonal lattice) to a two-layer system with square lattice vertically shifted relative to each other. We have found that the splitting of the planar system into two layers (or the structural instability of the crystal with the transition 1△ → 2□) occurs in the central part of the crystal and the phenomenon is caused by horizontal parabolic-like confinement, which leads to heterogeneity of the crystal in the radial direction. The conditions for the instability onset are met in the center of the plasma crystal due to maximal density of microparticles, while the crystal remains planar with a triangular lattice at the periphery. Molecular dynamics (MD) simulations of the simple Yukawa system reproduce remarkably well the observed structural instability.

(a) The central part of the plasma crystal observed in the experiment. The splitting of the planar crystal and formation of two layers with shifted square lattice can be clearly seen.
(b)   MD simulations of the Yukawa system in horizontal parabolic confinement with parameters close to the experimental ones reveal very similar features. The particles are color-coded according to their vertical position on both panels (a) and (b). The insets show side view of the systems.

 

R.A. Syrovatka, A.M. Lipaev, V.N. Naumkin and B.A. Klumov
JETP Letters, vol. 116, issue 12 (2022)

 

This paper reports on the observation of generation of coherent terahertz (THz) radiation from a-Si:H/a-SiC:H/c-Si p-n heterostructures  when they are photoexcited by laser pulses with a pulse duration of 15 fs and a wavelength of 800 nm. Such structures were designed as solar cells (SC) that capture a significant part of the solar spectrum and have sufficiently high quantum efficiency [1].

The THz generation is observed at a reverse bias voltage across the structure. As the bias voltage increases, the THz radiation pulse changes polarity and increases significantly in amplitude. The properties of the observed THz radiation can be explained by the fact that the contribution to the formation of THz radiation is made by two fast photocurrents generated in the structure by femtosecond laser pumping, which have the opposite directions and change in magnitude with increasing bias voltage. Investigations of THz generation processes can be used to study the dynamics of nonequilibrium charge carriers at subpicosecond times in complex structures of heterojunction solar cells. With a certain optimization of the structure of SCs, based on a-Si:H/a-SiC:H/c-Si, they can be used as emitters of coherent THz radiation.

(a) Waveform of THz radiation generated in the SC structure at a reverse bias of 9 V. The arrows indicate the positions of the peaks of the pulses of the observed THz radiation: the first pulse (solid arrow) and subsequent “echo” pulses (dashed arrows) due to the multiple reflection of the THz radiation from the upper and lower indium-tin-oxide layers of the structure, i.e. the Fabry-Perot effect. The inset shows the amplitude spectrum of THz radiation at a voltage of 9 V. The spectrum shows a THz frequency comb corresponding to Fabry-Perot resonances. (b) Dependence of the amplitude of the main (first in time) THz radiation pulse on the reverse bias voltage on the SC structure based on a-Si:H/a-SiC:H/c-Si.

[1] A. S. Abramov, D. A. Andronikov, S. N. Abolmasov and E. I. Terukov, Silicon Heterojunction Technology: A Key to High Efficiency Solar Cells at Low Cost.  In:  V. Petrova-Koch, R. Hezel, A. Goetzberger (eds),
    High-Efficient Low-Cost Photovoltaics (Springer Nature Switzerland AG, 2020), Ch. 7, p.113-132.

 

                                                                               A.V. Andrianov, A.N. Aleshin, S.N. Abolmasov, E.I. Terukov, E.V. Beregulin   
JETP Letters 116, issue 12 (2022)

 

 

Within the framework of the atomic representation, it is shown that ultracold atoms in an optical lattice with strong interaction at one site are described by an ensemble of colored Hubbard bosons (CBC). The chromaticity of such a boson is determined by the number of the induced transition between single-site states differing by one in the number of atoms. The ordinary boson is represented by a coherent superposition of CBH.

An essential property of the CBH ensemble is associated with the kinematic Dyson interaction due to the commutation relations of dynamic variables corresponding to the Lie algebra. This interaction in a strongly correlated mode affects both the Bose-Einstein condensation and the excitation spectrum of the CBC ensemble.

For small but finite values of the ratio of the kinetic energy to the repulsion energy of atoms at the site, in addition to the kinematic interaction, an important role is played by the effective intersite attraction and correlated jumps of the CBC. The use of the Dyson method with the introduction of the indefinite metric makes it possible to pass to new bosons and obtain equations describing the Bose condensation and the excitation spectrum of the CBC ensemble. The figure shows the increasing influence of the noted interactions on the excitation spectrum with an increase in the concentration n of bosons in the system. The concentration of condensate particles is denoted by n0.

 

Excitation spectrum in an ensemble of colored Hubbard bosons in the strong correlation regime. Red dotted line: n=0.25, n0=0.22; Green dashed line: n=0.6, n­0=0.4; Blue solid line: n=0.98, n0=0.46. As n increases, when the interaction between bosons effectively increases, a singularity appears in the dependence of the excitation energy on the quasimomentum, which corresponds to the roton part of the spectrum.

V.V. Val’kov    
JETP Letters 116, issue 12 (2022)

One of the most important achievements of the weak turbulence theory is the exact solutions to the kinetic equations for the wave energy spectrum found by Zakharov with co-authors in 1970-80. These distributions called now as the Kolmogorov-Zakharov spectra describe constant fluxes of energy or another integrals to small- or large-scale regions. To date, the weak turbulence theory has been very well confirmed for waves with notable dispersion.

            The situation is essentially different for acoustic type waves propagating without dispersion or with weak dispersion. The spectrum of weak acoustic turbulence was obtained in 1970 by Zakharov and Sagdeev. This theory assumes weak nonlinearity relative to the wave dispersion. In the limit of zero dispersion, the behavior of acoustic waves becomes strongly nonlinear resulting in formation of discontinuities. According to Kadomtsev and Petviashvili (1973), acoustic turbulence in this regime is considered as an ensemble of  shock waves. Thus, two types of spectra are known for acoustic turbulence: the weakly nonlinear Zakharov-Sagdeev spectrum and the strongly nonlinear Kadomtsev-Petviashvili (KP) spectrum. Despite the rather long history of the acoustic turbulence study, it has not yet been precisely clarified which of the turbulence spectra is realized in three-dimensional geometry.

            In this work, we have carried out direct numerical simulation of three-dimensional acoustic turbulence based on the model with quadratic nonlinearity and weak positive dispersion. The simulation was carried out using very accurate spectral methods. The results show that the system quickly enough passes into the developed turbulence regime with such a pumping so that nonlinear effects are weak compared with dispersion. In the turbulence energy distribution in the region of small wave numbers there appear jets in the form of cones which expand with increasing $k$, see Figs. 1a, 1b. The emergence of such structures has a very pronounced nonlinear origin. The turbulence spectrum, presented in Fig. 1c, has two different behavior at large and small scales. In small $k$, the energy distribution $\epsilon_k$ is anisotropic with visible deviations in the power-law spectrum. In the second region, $\epsilon_k$ becomes more isotropic and the turbulence spectrum $E(k)$ approaches the Zakharov-Sagdeev spectrum.

 

Fig. 1. (a) Isosurface of $\epsilon_k$ in the $k$ space; (b) $\epsilon_k$ at $k_z=0$;  (c) Energy spectrum $E(k)$,  the Zakharov-Sagdeev spectrum (black dashed line), and the KP spectrum (red  line).


E.Kochurin, E.A.Kuznetsov           
JETP Letters 116, issue 12 (2022)

Lithium rare-earth fluorides LiREF$_4$ is a family of magnetic materials with dominant dipolar interactions. Their magnetic properties can be significantly influenced by a single-ion anisotropy and exchange interactions between magnetic rare-earth ions. This influence is especially notable in the most isotropic member of the family, LiGdF$_4$, which exhibits no magnetic ordering down to a few hundred mK range. A lack of ordering signifies a delicate compensation between principal terms in the magnetic Hamiltonian. Such a ``hidden'' magnetic frustration may lead to a complex behavior, exotic states and multiple phase transitions as well as become a prerequisite for an enhanced magnetocaloric effect down to low temperatures.

Precise determination of the microscopic interactions is an essential task in exploring and understanding fundamental magnetic properties of LiGdF$_4$. We performed a comprehensive electron paramagnetic resonance (EPR) study of LiY$_{1-x}$Gd$_x$F$_4$ single-crystal samples with different concentrations of Gd ions ($x=0.005$ and 0.05). Modelling the EPR-spectra from individual Gd ions present in both samples gives an accurate determination of the single-ion anisotropy. Additional weak resonance lines observed only in the $x=0.05$ sample  (see upper panel in Figure) can be nicely reproduced by a model of Gd pairs coupled by dipolar and exchange interactions. Corresponding simulations (lower panel) give reasonable values of the two exchange interaction constants, which are further tested by comparing a strongly anisotropic Curie-Weiss temperature obtained for concentrated LiGdF$_4$ sample in our static magnetization measurements with theoretically computed values. A fine balance between the strongest interactions is indeed confirmed making this system quite promising for fundamental research and practical applications.

Left: The unit cell of diluted LiY$_{1-x}$Gd$_x$F$_4$ (only RE-sites are shown). Right top: Resonance absorption spectrum with basic single-ion lines (experimental and simulated) along with minor peaks (marked as ``a'', ``b'' and ``c'') originated from coupled pairs; Right bottom: simulated positions of minor resonance lines vs nearest-neighbor exchange constant $J_{\rm NN}$ compared to the absorption peak values.

S. S. Sosin, A. F. Iafarova, I.V.Romanova, O.A.Morozov,
S. L.Korableva, R.G.Batulin, M. Zhitomirsky, V.N.Glazkov
JETP Letters 116, issue 11 (2022)

Recently, signatures of Majorana zero modes were revealed in the monolayer FeSe compound.  On the theoretical side, it was predicted that a topological phase indeed emerges in the monolayer FeSe material in the normal state through considering an intrinsic spin-orbital coupling, while in the superconducting state, it was indicated that the nontrivial topology only appear for the odd parity pairing. Therefore, actually it is still not clear whether the superconducting monolayer FeSe material is topologically trivial.

In this Letter, we start from a two-orbital model which can describe qualitatively the superconducting properties of the monolayer FeSe superconductor. The edge states and the zero modes in the vortex core emerge when an additional spin-orbital coupling term is considered. Our main results are indicated in Fig.1. As is seen in Fig.1(a), when the open boundary condition is considered, the edge states indeed emerge. The low energy eigenvalues of the Hamiltonian in the presence of the two vortices are presented in Fig.1(b). As is seen, four zero energy eigenvalues exist. This can explain qualitatively the experimental signatures of the Majorana zero modes in this material. However, based on the calculation of the topological invariant and the Wilson loop technique, our results indicate that this system is still a topologically trivial system. We provide a possible explanation for the emergence of the zero modes in the monolayer FeSe material.

(a) The energy bands as a function of the momentum $k_y$ with the spin-orbital interaction with considering the open boundary condition along the $x$-direction. (b) The low energy eigenvalues of the Hamiltonian with two vortices.

F.Miao and T.Zhou                          
JETP Letters 116, issue 11 (2022)

On October 9, 2022, astrophysical instruments all over the world detected the record-breaking cosmic gamma-ray burst (GRB) 221009A. It was the brightest GRB ever observed, and it was accompanied by gamma rays of the energy never seen from a GRB. In particular, photons up to 18 TeV were observed by LHAASO and a photon-like air shower of 251 TeV was detected by Carpet-2. These energetic gamma rays cannot reach us from the claimed distance of the source (redshift z=0.151) because of the pair production on cosmic background radiation. If the identification and redshift measurements are correct, one would require new physics to explain the data. One possibility invokes axion-like particles (ALPs) which mix with photons but do not attenuate on the background radiation. Here we explore the ALP parameter space and find that the ALP--photon mixing in the Milky Way, and not in the intergalactic space, may help to explain the observations. However, given the low Galactic latitude of the event, misidentification with a Galactic transient remains an undiscarded explanation.

 

 

S.Troitskiy                                         
JETP Letters 116, issue 11 (2022)

Nowadays, the intrinsic magnetic topological insulator MnBi2Te4 [1] is the most promising platform for realizing a number of quantum effects caused by a combination of magnetic and topological properties in a material. Recently, the modification of the stoichiometry of this material by substituting Bi atoms for Sb atoms has been actively studied. Previously, an antiferromagnetic phase was demonstrated for the Mn(Bi1-xSbx)2Te4 x=[0, 0.5] material [2]. In this article, we have studied a number of samples Mn(Bi1-xSbx)2Te4 and discovered the existence of another magnetic phase in which both ferromagnetism (FM) and antiferromagnetism (AFM) are present at the same time. This is an important point, since the combination of FM and AFM in topological insulators is very interesting for realizing quantum effects and, therefore, for applications in devices.

In this work, SQUID magnetometry was used to investigate the magnetic properties. A feature of the work is that the samples Mn(Bi1-xSbx)2Te4 were studied by the ferromagnetic resonance (FMR) method for the first time. The field dependences of the magnetization measured by the SQUID method for all Mn(Bi1-xSbx)2Te4 x=[0, 0.5] samples clearly show both a hysteresis loop (characteristic of FM ordering) and a kink in the spin-flop transition (characteristic of AFM ordering) . Although the saturation magnetization of the hysteresis loop and the slope of the curve at fields above the spin-flop field differ significantly from sample to sample, other important characteristics, such as the spin-flop field and coercive force, show stability. In addition, the general regularity of the decrease in the field of the spin-flop transition, the Neel temperature, and the effective magnetization with an increase in the concentration of Sb x atoms is retained.

Figure: a) FMR data for Mn(Bi1-xSbx)2Te4 x=0.2 b) SQIUD data for Mn(Bi1-xSbx)2Te4 x = 0.2, gray dotted lines mark the kink of the spin-flop transition, HC is the coercive force.


[1] M. M. Otrokov, I. I. Klimovskikh, H. Bentmann, and collaboration, Nature, 576 416 (2019)
[2] B. Chen, F. Fei, D. Zhang, and collaboration, Nat. Communications, 10 4469 (2019)

D.Glazkova t al.                            
JETP Letters 116, issue 11 (2022)

 

 

Recently, superconductor–ferromagnet bilayers (SF) hosting topologically nontrivial magnetic configurations (skyrmions) have attracted much attention. Such topologically stable configurations can be stabilized by Dzyaloshinskii–Moriya interaction (DMI) in ferromagnetic films. Skyrmions in SF heterostructures induce Yu-Shiba-Rusinov-type bound states, host Majorana modes, affect the Josephson effect, and change the superconducting critical temperature.
 
Skyrmions and superconducting vortices can form bound pairs in SF heterostructures due to the interplay of spin-orbit coupling and proximity effect. Also, vortices and skyrmions interact via stray fields.
 
In this Letter, we extended the study of the interaction between a superconducting Pearl vortex and a Néel-type skyrmion in a chiral ferromagnetic film to a non-perturbative regime with respect to the stray fields induced by the vortex. We found that the predicted repulsion between the Néel-type skyrmion and the Pearl vortex interacting via stray field becomes suppressed with the increase of the vortex strength. This leads to a reduction of the distance between the centers of a Néel-type skyrmion and a Pearl vortex. Most surprisingly, we discovered the existence of an interesting evolution of the free energy of the system with the strength of the vortex-induced stray field where there could be more than one minima of the interaction energy at different relative distances between the skyrmion and the vortex.
 E. S.Andriyakhina, S. S. Apostoloff, I. S. Burmistrov
JETP Letters 116, issue 11 (2022)

 

The authors of the presented work develop a new direction for solving the problem of exciton Bose-condensation by proposing to condense magnetoexcitons - excitations in two-dimensional electron systems placed in an external quantizing magnetic field. Recently, the idea appeared to ​​condense cyclotron magnetoexcitons, in which the electron and hole are at different Landau levels in the conduction band. From this point of view, triplet cyclotron magnetoexcitons (or spin-flip excitons) in a quantum-Hall dielectric (electron filling factor n = 2) turned out to be the most promising. They are formed by an electron vacancy (Fermi-hole) at the completely filled zero Landau level and an excited spin-flipped electron at the empty first Landau level. Spin-flip excitons are the lowest-energy excitations in the system. In addition, they are long-lived composite bosons with spin S = 1, whose lifetime reaches milliseconds. At temperatures T < 1 K and concentrations nex ~ (1-10)% of the density of magnetic flux quanta in this Fermi system a new phase is formed, named magnetofermionic condensate. A distinctive feature of this condensate is its ability to spread from the region of photoexcitation into the volume of a quantum-Hall insulator over macroscopic distances - hundreds of microns and even millimeters.

It is found in this work that the ability to propagate in a non-diffusive way over macroscopic distances is inherent not only to excitons in the roton minimum, with a generalized momentum on the order of the reciprocal magnetic length, $q\sim 1/l_B$, which form a coherent magnetoexciton condensate, but also to excitons with momenta close to zero, $q\sim 0$. Therefore, it can be presumed that at small momenta, the spin-flip exciton transport also has a collective nature.

 

A.Gorbunov, A.Larionov, L.Kulik, V.Timofeev
JETP Letters 116, issue 11 (2022)

Spin defects in semiconductors are widely used for magnetic field sensing at the nanoscale. The most prominent example is the nitrogen-vacancy (NV) center in diamond, which is already being commercialized for a variety of applications. The sensing principle is based on the optically-detected magnetic resonance (ODMR) spectroscopy and requires application of resonant microwave (MW) fields with simultaneous measurement of the fluorescence intensity. Very recently, intrinsic defects in silicon carbide (SiC) emerged as serious candidates for sensing applications beyond diamond. SiC hosts spin centers (VSi), particularly silicon vacancies and divacancies, which can be coherently controlled at room temperature, possess a long coherence time in the ms range, reveal single-photon emission with a spectrally narrow zero-phonon line, and show integrability into electronic and photonic circuits. Further, these spin centers in SiC permit all-optical, MW-free magnetometry (effect of level anticrossing). In particular, a MW-free approach allows measuring in electrically conducting environments, such as integrated circuits (IC’s) or biological solutions, because photoluminescence of VSi in the 900 nm region, transparent to most biological materials.

In this article, we propose an alternative quantum magnetometer based on SiC. We demonstrate the use of SiC nanoparticles with vacancy spin centers in combination with commercial AFM cantilevers. We have developed a fabrication protocol for quantum sensors compatible with modern scanning microscopes. For this purpose, we have fabricated nanoparticles with VSi. Such crystals have been characterized and successfully attached to AFM probes.

Figure. Capture of a single 6H-SiC nanoparticle with $V_{Si}$ at the tip of a commercial AFM cantilever (a) AFM-topography of the Si wafer section with helium ion-irradiated 6H-SiC nanoparticles. (b) Confocal image of the PL signal (at 900 nm, with 532 nm excitation) of the same section. (c) The fabrication of an AFM probe capturing of a single SiC nanoparticle with VSi. (d) Control SEM images of the modified nano-SiC AFM probe

 

K.V.Likhachev et al.,                       
JETP Letters 116, issue 11 (2022)

 

 

Under conditions of high pressures up to 157 GPa (1,57Mbar) and high temperatures up to 2000 K, seven different iron-hydrogen FeHx compounds with completely different electronic and magnetic properties were synthesized. It was found that one of these compounds -  FeH2 has a tetragonal crystal structure I4/mmm and at a pressure of 82 GPa is magnetic up to a temperature of about 174 K (Fig. 1a). Another surprising result is the discovery of one of the FeHx phases, of unknown composition, that at a pressure of 128 GPa remains magnetically ordered in the temperature range from 4 to 300 K, and the extrapolated value of the Neel temperature can reach ~ 2100 K! (Fig.1b). The existence of magnetic phases of iron compounds at such a record high pressure is unique and has not been observed to date. It should be noted that such high pressures are characteristic of the region located on the boundary between the lower mantle and the outer core of the Earth, in which iron predominates. Therefore, the obtained experimental data on the magnetic state and electronic properties of iron phases are very important both from the fundamental point of view of the physics of metals and their magnetism, and also from the point of view of the physics of the Earth and terrestrial magnetism.

 

Figure 1. Temperature dependence of the magnetic hyperfine field Bhf at Fe-57 nuclei in the FeH2 phase at a pressure of 82 GPa; estimated Néel temperature is ~174 K (a); and in the FeHx(I) phase at a pressure of 128 GPa. Extrapolated value of the Neel temperature is  ~ 2100 K (b).

A.Gavriliuk et al.                              
JETP Letters 116, issue 11 (2022)

 

 

 

At the beginning of the nonlinear optics era, promoted by the invention of the laser, the higher-order nonlinearities were considered as the limiting factor for the nonlinear conversion processes. Since that time, such an intriguing research area appeared on the scientific horizon and the optical harmonic generation became the subject of intensive investigation. The extension of generated harmonics spectra to extreme ultraviolet (EUV) and X-ray spectral regions due to the process of high-order harmonics (HHG) generation paves the way to the generation of coherent electromagnetic pulses with the duration of attosecond level ($\sim 10^{18}$), that can be used to study the dynamics of matter on the time scale of electron motion. Nowadays, only HHG sources can provide the completely coherent radiation in these spectral regions, but its moderate photon flux is a drawback . Thus, the development of methods aimed at the increase of harmonic generation efficiency is a key task on the way to the construction of EUV and X-ray sources.

One of these methods is to control the macroscopic response of the medium, that is a collective response of the atoms constituting this medium. In the present work the macroscopic response of the medium is studied while registering the low-order (5, 7, 9, 11 – Fig.1) harmonics generated by femtosecond radiation of the Fe:ZnSe laser system (wavelength is $4.5 \mu m$ , pulse duration is 160 fs by the level of FWHM) in the argon gas jet. In order to optimize the regime of laser-matter interaction and to enhance the optical harmonic generation efficiency the gas jet length and the pressure were tuned. The experimental results were supported by analytical and numerical calculations. It is demonstrated that the increase of the jet length up to the confocal parameter size boosts the generation efficiency by more than one order of magnitude. Moreover, change of the jet length also leads to the change of the phase matching conditions that causes the modification of dependence of the generation efficiency on pressure. The latter fact indicates that propagation effects are important in such interaction regimes.

Fig.1. Experimental spectrum of harmonics generated by the mid-infrared $4.5 \mu m$, 160 fs pulse.

B. Rumiantsev et al.
JETP Letters 116, issue 10 (2022)

 

 

Recently it has been shown that new 2D diamond-like films - hydrogenated and fluorinated graphene bilayers twisted near 30o angles with forming interlayer bonding between the carbon atoms can have ultra-wide band gaps. These films named moiré diamanes have superlattice atonic structures close amorphous diamond.   To evaluate applications of the diamanes, for example, in optoelectronics and straintronics, the study of their mechanic properties is of great importance.

Herein mechanic properties of such type of diamanes have been explored by ab-initio molecular dynamics simulations. It is shown that for moiré diamanes the elastic constants differ noticeably from similar constants of the untwisted diamanes, and their break in plane occurs at larger strains than for the latter. Breakthrough under the action of the tip for the membrane Dn29.4 with twisted 29.4o angle occurs at greatest “critical” force value. Thus, the Dn29.4 diamane (an approximant of the quasicrystal) turned out to be more stiffed than the other diamanes.

Dn27.8 and Dn29.4 membranes (diameter 7 nm) bent without damage up to critical depths δc=11 Å and 9.4 Å, respectively. In this case, the “critical” force F applied to the Dn29.4 membrane turns out to be 4% higher than that for the Dn27.8 membrane.

Artyukh A.A., Chernozatonskii L.A.
JETP Letters 116. issue 10  (2022)

 

The behavior of 2D systems in the vicinity of melting is one of the important problem of condensed matter physics. Here, we focus on the kinetics of defects and clusters of defects during the melting of 2D Yukawa system (which is well known closely packed system with hexagonal lattice at crystalline state). In particular, we have shown that concentration of defects is a nice universal measure, sharply depending on the temperature at melting and characterizing the solid-liquid transition in two dimensions. Additionally, we obtained a spectrum of clusters of defects versus its mass; the spectrum also reveals quasiuniversal behaviour. Some metrics are proposed to use to quantify “solid-liquid’’ transition of 2D closely packed systems.    

Two-dimensional Yukawa system in the vicinity of melting: concentration of defects nd versus reduced temperature (here, Tm is the temperature of melting) taken at two different screening parameters κκ {\displaystyle \kappa } : (κ=2 (blue) and κ=4 (red)). Universality (i.e. the parameter nd  is κ-independent) of this measure is clearly seen. Insets show how the defects (clusters consisting of blue and red particles) look like for the different phases: solid-like (a), hexatic (b) and melt (c). Most abundant defects (dislocations of mass 2 and 4) and point disclinations are also indicated. Green color corresponds to crystalline particles, blue and red particles have 5 and 7 nearest neighbors, respectively. As seen, the value of ncan be used to unambiguously determine the phase state of the system.

     

B.A. Klumov                                  
JETP Letters 116, issue 10 (2022)

Nematic aerogel immersed into the superfluid 3He significantly changes its properties. Since the strands in nematic aerogel are directed along one axis (the anisotropy axis of aerogel) it makes possible to observe the Polar phase of superfluid 3He in such a system. The Polar phase has some unique features that differs it from other superfluid phases of 3He: it has topologically protected Dirac nodal line in the quasiparticle energy spectrum, stable half-quantum vortices in the system, etc.

In this letter we present another unique property of the system concerning its sound spectrum. In hydrodynamic regime two types of sound are possible in the superfluid system: the first sound – oscillations of pressure and density, and the second sound - oscillations of temperature and entropy. Due to interaction between impurities and 3He the combined system has four oscillation modes in the superfluid regime, including transverse oscillations of aerogel. Considering sound spectrum of the system we use another feature of the system -- the big difference between the values of elastic coefficients of aerogel and 3He, i.e. the speed of the first sound in 3He is much greater than any speed of sound in aerogel. In real experiments aerogel is surrounded by superfluid 3He and considering low-frequency modes of aerogel and 3He inside of it the liquid outside of aerogel can be assumed as incompressible. That is the reason for the existence of pure shear mode in the system where only oscillations of the form of aerogel are occurring while the volume of the system is fixed. The coupling between shear mode of aerogel and the second sound of superfluid liquid arises from anisotropy properties of aerogel. The found oscillation mode can explain the temperature dependence of frequency for one of resonances observed in experiments on oscillations of nematic aerogel in superfluid 3He. The given temperature dependence has two regimes: it is the same as in the fourth sound of the system in the vicinity of Tc, and further it follows the dependence of the shear mode of aerogel.  

 

E.Surovtsev                                 
JETP Letters 116, issue10 (2022)

Layered Ba(Fe,Ni)2As2 pnictides of the Ba-122 family remain still attracting due to their anisotropic superconducting properties, and possible interplay between superconducting, nematic, and magnetic subsystems. Unfortunately, the superconducting properties of underdoped BaFe1.92Ni0.08As2 crystals have not been studied yet, whereas the available data on the Ba(Fe,Ni)2As2 family are scattered and contradictory.

Here, for the first time we present a powerful complementary study of the superconducting order parameter symmetry in compounds with anisotropic superconducting properties in the crystallographic ab-planes. Using incoherent multiple Andreev reflection effect (IMARE) spectroscopy and the measurements of the lower critical field Hc1(T) of BaFe1.92Ni0.08As2 single crystals, we show at least two-gap superconductivity, directly determine amplitudes of the superconducting order parameters at T << Tc and their temperature dependences. We revealed a substantial in-plane anisotropy of both superconducting gaps, i.e. the dependence of the Cooper pair coupling energy on the kxky-momentum direction. A strong anisotropy of the small superconducting gap (up to 100% with nodes), as compared to that in optimally doped and overdoped Ba-122 pnictides studied by us earlier, could result from an influence of the antiferromagnetic phase which manifests in Ba(Fe,Ni)2As2 pnictides of underdoped composition.

A. Sadakov, A.Maratov, S.Kuzmichev et al.
JETP Letter 116, issue 10 (2022)

Twisted bilayer graphene is intensively studied nowadays. This material consists of two graphene layers; one of them is rotated with respect to another one by some twist angle q. Twisting produces the superstructure in the system. The band structure of twisted bilayer graphene depends substantially on q. At the so called first magic angle qc≈1o, it has 4 almost flat almost degenerate bands separated by energy gaps from lower and higher dispersive bands. This makes the electron liquid very susceptible to interactions. Magic angle twisted bilayer graphene shows unique properties including Mott insulating states and superconductivity.

In this Letter we study the spin density wave as possible ground state of the magic angle twisted bilayer graphene, existing on the background of non-uniformly distributed electron density. We showed that doping reduced the symmetry of the spin density wave order parameter from C6 down to C2 indicating the appearance of the nematic state. For doped system, the local density of states at Fermi level also shows nematic properties. This is confirmed by experiments. The spin texture changes from collinear to almost coplanar with doping. We also showed that in energy units the on-site magnetization is larger than variation of the charge density when doping is less than 3 extra electrons or holes per supercell.

 

Fig. 1. The spatial distribution of the absolute value of the on-site spin density wave order parameter calculated at half-filling (two extra holes per supercell). The profile is stretched in some direction indicating the appearance of the nematic state.

 

A.Sboychakov, A.Rozhkov, A.Rakhmanov
JETP Letters 116, issue 10 (2022)

This paper analyses the  behaviour of semiconductor based artificial graphene (SAG) in magnetic field. The SAG is created by patterning of the  honeycomb lattice on top of two-dimensional electron gas. Why  can one be interested in SAG when there is a very high quality natural graphene? The major difference is that SAG is tunable and hence can be driven to the regime of strong electron correlations that is impossible in natural graphene.  Therefore, SAG is an avenue to study exotic many-body electronic states. Another difference is in the magnitude of the magnetic field. We predict the  Wannier diagram shown in the figure. To observe such  Wannier diagram in natural graphene  one needs magnetic field about 200 thousand Tesla. Unless  an experimentalist has a laboratory in the vicinity of a neutron star, such experiment is unrealistic.  In SAG the predicted Wannier diagrams can be  observed in  usual laboratory magnetic fields.

We simulated one-particle quantum transport through $2\times 2\mu m^2$ square sample with a hexagonal lattice and a short-range disorder. Maps of the density of states DoS were calculated as a function of  magnetic field $B$ and electron density $n$ (Wannier diagrams) for several amplitudes of periodical potential comparable to or significantly greater than the Fermi energy. The figure shows the Wannier diagram for a dimensionless modulation $w=1$. Calculations of the four-terminal resistances show that the sign and magnitude of the dark ray slopes of DoS correspond to the plateaus of quantized Hall resistances $R_{xy}$.

Figure. Top panel - the  DoS$(n, B)$ map  calculated for the lattice with total modulation of the periodic potential $6.2$meV (dimensionless modulation $w=1$) and  $80$nm period.  The amplitude of shortwave disorder is $V_r=2$meV. Values $n_{1D}=3.6\cdot 10^{10}/$cm$^2$ and $n_{2D}=14.5\cdot 10^{10}/$cm$^2$ at $B=0$ mark the positions of the first and the second Dirac points. Bottom panel - Hall resistance $R_{xy}(B)$  for modulations $w=0.25$, $0.5$, $1.5$, calculated at fixed density $n=6\cdot10^{10}$cm$^{-2}$ and disorder $V_r=2$meV. Dashed arrows show a correspondence between points on dark rays of DoS and centers of quantized plateaus $R_{xy}$.

O. A. Tkachenko, V. A. Tkachenko, D. G. Baksheev,  O. P. Sushkov
JETP Letters 116, issue 9 (2022)

 

Currently, there is an increased interest in graphene-like group-IV materials such as silicene, germanene that are considered as perspective materials for the implementation of next-generation electronic devices. To control electronic properties one needs to apply a perpendicular electric field, therefore the insulating layer (or substrate) not destroying the two-dimensional nature of these materials is required. The most promising candidate is CaF2, having the closest lattice constant to the Si one and forming a quasi van der Waals interface with this material. In this work, we have grown the two-dimensional Si layers  embedded in a CaF2 dielectric matrix by molecular beam epitaxy and studied their properties by a variety of experimental methods. Studies using Raman spectroscopy, transmission electron microscopy, photoluminescence (PL) spectroscopy and electron paramagnetic resonance (EPR) method confirm the formation of two-dimensional Si layer areas in epitaxial structures obtained by the deposition of one, two and three biatomic Si layers (BLs) on the CaF2/Si(111) substrate at temperature of 550°C. In the Raman spectra of these structures, a narrow peak at 418 cm–1 was found (Fig. 1), which is due to light scattering on vibrations of Si atoms in the plane of a two-dimensional calcium-intercalated Si layer. In the EPR spectra of multilayer structures with areas of two-dimensional Si layers embedded  in CaF2, an isotropic EPR signal with an asymmetric Dyson shape and g = 1.9992 was observed under illumination. These characteristic properties make it possible to attribute this signal to photo-induced conduction electrons in extended two-dimensional Si islands. The results of the photoluminescence study demonstrating the PL peak at 685 nm can be considered as an additional evidence in favor of the formation of two-dimensional Si islands. The peak position corresponds to a bandgap width of 1.78 eV, that is in a good correspondence with the theoretical value obtained for bilayer silicene passivated with fluorine (e.g., when embedding in CaF2). The results obtained can be useful for understanding the mechanisms of two-dimensional material formation on CaF2/Si(111) substrates.

Figure 1. Raman spectra from multilayer structures with 9 Si layers, each of which was obtained by deposition of 1 BL (curves 3 and 4), 2 BLs (curve 2) and 3 BLs (curve 1). The spectrum from the structure with one Si layer  obtained by deposition of 1 Si BL (curve 5). For comparison the Raman spectra from the original Si(111) substrate (curve 7) and the CaF2 film (curve 6) with a thickness of 40 nm grown on the Si(111) substrate at 550°C are presented.

V. A. Zinovyev, A. F. Zinovieva, V. A. Volodin, A. K. Gutakovskii, A. S. Deryabin, A.Yu. Krupin,
L. V. Kulik,  V. D. Zhivulko, A. V. Mudry, A. V. Dvurechenskii

JETP Letters 116, issue 9 (2022)

 

 

 

Liouville gravity was invented by Polyakov as an alternative approach to superstring theory. The Liouville Minimal Gravity (MLG), which is a special  exactly solvable  class of Liouville  gravity, was partly exactly solved by Knizhnik, Polyakov and A. Zamolodchikov in 1987.
Namely, explicit expressions were found for the gravitational dimensions of physical observables,  as well as for two-point correlation functions. Then due to results of A. Zamolodchikov and Al. Zamolodchikov in 2-dimensional Liouville field theory  the explicit expression of 3-point correlators in MLF was found. The next important step, finding of 4-point correlators, was done in 2005 in the work of Al. Zamolodchikov and of one of the authors of this paper using the found earlier by Al. Zamolodchikov  the so-called Higher Equatios of Motion (HEM).
After that, the process of finding all correlations stopped. The reason was a lack of understanding of what to do with the so-called quasi-exact Q-terms. In this paper, we consider $N$-point correlators in Liouville's minimal gravity and  show how to solve the above problem and explicitly calculate the correlators for $N>1$. We explicitly demonstrate our approach for the $N=5$ case.

A.Artem'ev and A.Belavin
JETP Letters 116, issue 9 (2022)

 

         We discuss the connection between the Schwinger particle creation in the constant electric field and the particle production in the Unruh and Hawking effects. For that we consider the combined effects, which involve simultaneously the Schwinger particle production and the other effects.
One example is the combined Schwinger + Unruh process, in which both the charged and neutral particles are formed in the electric field. In this process, the charged particle is created by the Schwinger effect and moves with the acceleration in electric field. In the accelerated reference frame, the moving massive particle plays the role of the detector in the Unruh vacuum. This detector experiences the emission of a neutral particles – the Unruh radiation.
Another example is the combined Schwinger + Unruh + Hawking process, in which the pair of charged black holes is created in the electric field. It represents the triple cotunneling – the coherent sequence of three tunneling events.
The coherent combinations of the several processes are similar to the phenomenon of cotunneling in the electronic systems, where electron experiences the coherent sequence of tunneling events. These combined processes demonstrate that the entropy and temperature can be associated not only with the event horizons, as it was suggested by Gary Gibbons and Stephen Hawking, but can also be extended to the Schwinger effect. Schwinger pair creation obeys the same thermodynamic laws as in the black hole thermodynamics.

G.E. Volovik,                                     
JETP Letters 116, № 9 (2022)      

 

 

Superconductors with non-trivial pairing attract significant attention due to their rich physics. In this review, we discuss theoretical progress toward doped topological insulators that is the candidate for the spin-triplet superconductor. At low temperatures, nematic superconductivity in doped topological insulators of the family Bi2Se3 emerges. The experiment reveals that under the transition of these materials to the superconducting state, a spontaneous violation of rotational symmetry occurs in them. Such superconductivity is usually called nematic. It is well described by a vector spin-triplet order parameter. The review presents the main provisions of the microscopic theory and the phenomenological theory of Ginzburg-Landau (GL) for nematic superconductivity. Strong spin-orbit coupling inherent for Bi2Se3 and two electronic bands at the Fermi surface give rise to a competition between superconducting states with different spin and orbital structures. It turns out that taking into account the hexagonal crystal symmetry of Bi2Se3 (which manifests itself in the hexagonal warping of the Fermi surface) is necessary for the realization of the experimentally observed spin-triplet nematic phase. The dominance of the interorbital electron-electron pairing over the intraorbital one is another necessary condition for the existence of nematic superconductivity. In contrast to singlet superconductors, the critical temperature of the nematic superconductivity is partially sensitive to the non-magnetic disorder. The effect of Lifshitz transition from close to open Fermi surface under doping and the surface Andreev states are also discussed. The derivation of the GL theory with a two-component vector order parameter from the microscopic theory is presented. The GL approach shows that the ground state of the doped superconducting Bi2Se3 is either a nematic phase with the real order parameter and spontaneous strain or a “chiral” phase with the complex order parameter and spontaneous magnetization. The vector structure of the order parameter causes an unusual relationship between the superconductivity and the strain or magnetization. In particular, it gives rise to a strong anisotropy of the upper critical field (see Figure), a peculiar Pauli paramagnetism of triplet Cooper pairs, and the possible existence of the spin vortices with Majorana-Kramers fermion pairs located near their cores.

Figure description: Figure. A solid line shows in the polar coordinates the experimentally observed dependence of the upper critical magnetic field $H_{c2}$ on the angle $\theta$ between the direction of the applied field and the strain axis for two single crystals of Sr$_x$Bi$_2$Se$_3$ (A. Yu. Kuntsevich et al, Phys. Rev. B {\textbf 100} 224509 (2019)); () the sample is stretched, (b) the sample is compressed. Ginzburg-Landau's theory of nematic superconductivity fits the experiment well.

Khokhlov D.A., Akzyanov R.S., Rakhmanov A.L.
JETP Letters 116, issue 10 (2022)

 

 

One of the trends in the development of physical acoustics is the search for and prediction of phenomena similar to those discovered or predicted in nonlinear optics [1]. To a large extent, this concerns nonlinear phenomena associated with soliton dynamics. The temporal durations of the investigated acoustic solitons lie in a wide range of values ​​from micro- to subpicoseconds. In this case, carrier frequencies fill the far ultrasonic range from units to hundreds of gigahertz. The trend noted above also takes place in the study of optical and acoustic solitons containing about one and even half of the oscillation period of the corresponding physical nature. The studies of dissipative optical solitons should be singled out as a separate line [2]. Here the properties of both quasi-monochromatic and unipolar solitons are studied. Acoustic analogs of optical dissipative solitons are considered in accordance with the above-mentioned trend [3].
In this work, we study the possibility of the formation of unipolar localized acoustic objects due to two-phonon transitions in a system of nonequilibrium populated Stark and Zeeman sublevels of impurity paramagnetic ions. It is shown that a nanosecond unipolar soliton-like pulse of the type of a localized shear deformation autowave propagating perpendicular to the magnetic field can form in a cubic paramagnetic crystal subjected to longitudinal static deformation in the direction of an external magnetic field. The influx of the energy stored in paramagnetic ions into the pulse due to the nonequilibrium initial population of their stationary quantum states is compensated by irreversible losses caused by pulse damping due to its interaction with thermal vibrations of the crystal lattice, defects, and microinhomogeneities.

 

1.  F.V. Bunkin, Yu.A. Kravtsov, and G.A. Lyakhov, Sov. Phys. – Uspekhi 29, 607 (1986).       
        2.   S.K. Turitsyn, N.N. Rosanov, I.A. Yarutkina, A.E. Bednyakova, S.V. Fedorov, O.V. Shtyrina, and M.P. Fedoruk, Physics – Uspekhi 59, 642 (2016).    
        3.   S.V. Sazonov, JETP Lett. 114, 104 (2021)

 

S. V. Sazonov
      JETP Letters 116, issue 9 (2022)


 

 

MnBi2Te4 is the most promising platform for realizing non-trivial quantum effects, such as the quantum anomalous Hall effect and the topological quantum magnetoelectric effect. Recently, modifications of the stoichiometry of this material have been actively studied. In this work the electronic and spin structure of the topological surface states (TSS) of layered materials (MnBi2Te4)(Bi2Te3)m, m=1, 2 was studied.
This work presents calculations of the features of the electronic and spin structure of TSS, carried out by the density functional theory (DFT) method for samples with different surface terminations - magnetic MnBi2Te4 or non-magnetic Bi2Te3. Comparison with the results of experimental studies carried out by the method of angle-resolved photoelectron spectroscopy (ARPES) showed a correlation between the results of calculations and experimental measurements.
The effect of variation in the van der Waals distance between layers on the surface was theoretically studied and it was shown that with a variation of the surface van der Waals interval within ±4% for both systems, the possible change in the size of the gap at the Dirac point is within 30-50 meV. The application of an out-of-plane electric field to the surface leads to a different energy shift of the cone of Dirac states and the states of the valence and conduction bands. In this case, the applied electric field changes the size of the gap at the Dirac point, and at an electric field strength of –0.34 V/Å, the gap at the Dirac point almost closes, which can be used to modulate the magnetic and physicochemical properties of these magnetic topological insulators.

 

Electronic and spin structure with in-plane and out-of-plane spin orientation for MnBi4Te7 and MnBi6Te10 surfaces terminated by a magnetic septuple layer, and their change when an electric field (-0.34 eV/Å) is applied perpendicular to the surface. The circles show the change in the localization of the Dirac point and the Dirac gap size.

 

A.Shikin et al.
JETP Letters 116, issue 8 (2022)

HgTe/CdHgTe quantum wells (QWs) are one of the most interesting objects of modern condensed matter physics due to a number of unique properties Among them is the possibility of a topological phase transition induced not only by changing parameters of the HgTe QW, but also by varying pressure, temperature, or degree of disorder. For double HgTe/CdHgTe QWs there is another possibility, namely the degree of structure inversion asymmetry of the system caused by the electric field.
In this Letter, we have established the origin of this structural asymmetry in HgTe/CdHgTe double QWs and determined the contributions due to the built-in electric field, the difference in QW widths, and the order of their arrangement in the structure. In particular, we have shown that the states of the CdTe cap layer make the dominant contribution to the nonzero hole concentration in the QWs.

Figure illustrating the main charge distribution and electric field orientation in the double HgTe/CdHgTe p-type QW.

 

A.V.Ikonnikov et al.
JETP Letters 116, issue 8 (2022)

The observations at RHIC and the LHC in $AA$ collisions of the transverse flow effects and the strong suppression of high-$p_T$ hadron spectra (jet quenching) give evidence of the quark-gluon plasma (QGP) formation in $AA$ collisions. It is possible that a small QGP fireball can be formed in $pp$ collisions as well. The mini QGP formation in $pp$ collisions should lead to some jet modification. But since the effect should be small, it is practically impossible to detect it via the medium modification of the hadron spectra as compared to predictions of the standard perturbative QCD calculations. A promising observable for quenching effects in $pp$ collisions is the variation with the soft (underlying event (UE)) hadron multiplicity of the medium modification  factor $I_{pp}$ for the hadron-tagged jet fragmentation functions.
We calculate $I_{pp}$ for conditions of the recent preliminary ALICE measurement for 5.02 TeV $pp$ collisions. We find that the theoretical predictions with no free parameters for the multiplicity dependence of the ratio $I_{pp}/\langle I_{pp}\rangle$ are in reasonable agreement with the drop of this ratio with the UE multiplicity obtained by the ALICE Collaboration (see figure). The  escription of the data becomes better for the scenario with an incomplete thermalization of the matter at $dN_{ch}/d\eta < 10$. Our results show that the drop of the ratio $I_{pp}/\langle I_{pp}\rangle$ with the UE multiplicity, if confirmed by further measurements, may be viewed as the first direct evidence for the jet quenching in $pp$ collisions.


The ratio $I_{pp}/\langle I_{pp}\rangle$ vs the charged multiplicity   density $dN_{ch}/d\eta$  for $pp$ collisions at $\sqrt{s}=5.02$ TeV.   The solid curve is obtained assuming the QGP formation in the whole range   of the UE multiplicity, and the dotted line   corresponds to the scenario with a smooth transition from production   of free streaming particle   to formation of the thermalized QGP in the range $dN_{ch}/d\eta \sim 5-10$.

B.G.Zakharov
JETP Letters 116, issue 6 (2022)

The Lieb lattice is included as a sublattice in a very wide class of compounds with a perovskite type lattice, which have a wide variety of physical properties: high-temperature superconductors, ferroelectrics, ferromagnets and multiferroic.

In this paper we show that for two-dimensional Lieb lattice the energy of electron system decreases as a result of displacements of edge atoms from the centers along the edges. A decrease in the electronic energy leads to the appearance of soft phonon modes, anharmonic phonons, and to lattice instability. Under certain conditions, as a result, in the case of strong instability (i) a partially ordered sublattice of edge atoms arises with the doubled number of equilibrium positions for them, and (ii) quantum tunneling of edge atoms between equilibrium positions leads to the appearance of quantum tunneling modes.

The results of the work can be used in the study of a very wide range of phenomena: from high temperature superconductivity to fast proton transport in confined water, and quantum properties of a hydrogen bond.

 

M.I. Ryzhkin, A.A. Levchenko, I.A. Ryzhkin
JETP Letters 116, issue 5 (2022)

 

 

Ferroelectric domain reversal (engineering) is indispensable for nonlinear optics and highly promising for nanoscale memory devices. One of important features of the ferroelectric polarization reversal is that the necessary applied electric fields are typically orders of magnitude smaller than the depolarizing fields arising during this process. Thus, a strong compensation of arising polarization fields and charges is necessary. Very low bulk conductivity of ferroelectrics prevents such a compensation.

In this letter, we argue that two-dimensional conduction of arising domain walls can be the necessary effective mechanism of the charge compensation. This implies a revision of the basics of the ferroelectric domain reversal process. The expected involvement of the domain wall conduction follows the recent discovery and investigations of this phenomenon in many ferroelectric materials including lithium niobate crystals.

One of crucial ingredients of the reversal process is domain nucleation controlled by the value of the domain formation energy $W$. In the absence of the charge compensation this energy is excessively high ($W \gg 1$eV) making the reversal process practically forbidden. We have found that account for the domain wall conduction substantially lowers the domain formation energy and makes it sufficient for initiation of the domain reversal.  

 

a) The domain formation energy $W$ (in eV) at the applied field $E_0 = 4$kV/mm versus the transverse ($l_{a}$) and longitudinal ($l_c$) sizes of a half-spheroidal domain nucleus in the presence of the domain wall conductivity.
b) The energy $W$ (in eV) at $l_a = 1$~nm versus the applied field $E_0$ and $l_c$.
      

 

Sturman B., Podivilov E.,
JETP Letters 116, issue 4 (2022)

A complete understanding of soft matter rheology (including also elastic turbulence, or drag reduction) is still lacking. According to Newton response of a material (shear stress $\sigma (t) $) is proportional to the the applied shear strain $\gamma (t)$. However in many cases when shear strain ${\dot {\bar \gamma }}$ is suddenly withdrawn, the stress decays exponentially with a certain relaxation time in a contrast to the instantaneous dissipation in a Newtonian liquid. The following nomenclature of types of viscoelastic flows (non-linear viscoelasticity) are used to describe observations in soft matter materials

  • Dilatants or shear thickening (e.g., observed in a starch
  • Pseudo-elastic or shear thinning (observed in a blood or paint flows).
  • Bingham rheology, typical for materials like toothpaste or ketchup.
  • Thixotropy - viscosity depends on the time duration, and not on the rate of the applied shear. All thixotropic  materials are shear-thinning.


For such complex soft matter materials qualitative interpretation of non-Newtonian rheology are more-or less clear. For example shear thinning  behavior observed in polymer melts and solutions, is caused by the disentanglement of polymer chains during flow. This leads to less molecular/particle interaction and a larger amount of free space, decreasing the viscosity. Dilatancy (shear thickening), often occurs due to aggregation into flock.  Material jams when it is stirred vigorously, and flows when stirred gently.

Surprisingly enough almost all mentioned above types of the behaviors were observed recently in less exotic for physics material, so-called twist-bend nematic liquid crystal ($N_{TB}$). In this work I present a simple model to describe shear rheological behavior of the $N_{TB}$ liquid crystals. Using coarse-grained description of the $N_{TB}$ phase I find that at relatively low shear rate (${\dot \gamma } \leq {\dot \gamma}_{c1}$) the stress tensor $\sigma $ created by this shear strain, scales as $\sigma \propto {\dot \gamma }^{1/2}$. Thus the effective viscosity decreases with the shear rate ($\eta \propto {\dot \gamma }^{-1/2}$) manifesting so-called shear-thinning phenomenon. At intermediate shear rate ${\dot \gamma }_{c1} \leq {\dot \gamma} \leq {\dot \gamma }_{c2}$, $\sigma $ is almost independent of ${\dot \gamma }$ (a sort of plateau), and at large shear rate (${\dot \gamma } \geq {\dot \gamma}_{c2}$), $\sigma \propto {\dot \gamma }$, and it looks like as Newtonian rheology. Within our theory the critical values of the shear rate scales as ${\dot \gamma }_{c1}\propto ({\tilde {\eta }_2^0}/{\tilde {\eta }_3^0})^2$, and ${\dot \gamma}_{c2} \propto ({\tilde {\eta }_2^0}/{\tilde {\eta }_3^0})^4$ respectively. Here ${\tilde \eta }_2^0$ and ${\tilde \eta }_3^0$ are bare coarse grained shear viscosity coefficients of the effective smectics equivalent to the $N_{TB}$ phase at large scales.

 

E. I. Kats
JETP Letters 116, issue 4 (2022)
 

Under certain conditions a whole group of resonant centers (atoms, molecules, quantum dots etc) can emit radiation with parameters completely different from what a single resonant center would produce. This occurs due to either the emission-mediated interaction between resonant centers or certain constructive interference effects. Such collective emission phenomena when multiple dipole oscillators radiate in-phase are often referred as the superradiance and can result in generation of ultra-short intense light pulses.

In this Letter we demonstrate an unusual example of such collective radiation phenomena upon the excitation of an optically thick layer of a two-level medium by a pair of driving subcycle attosecond pulses, such that the delay between them equals half of the period of the medium resonant transition.

We find that in such a system the optical response represents a pair of two unipolar half-cycle pulses of opposite sign separated by a temporal gap proportional to the layer thickness. Such response results from the constructive interference of the emission of two-level centers distributed over the whole layer thickness. Alternatively, one can represent the layer’s response as the radiation of the half-cycle pulse of the induced medium polarization sandwiched in between two excitation pulses and propagating along with them.

Unipolar pulses are of significant interest themselves as they possess constant sign of the electric field and are thus able to efficiently transfer momentum to charged particles both in free space and in the medium. The paper finding can be therefore not only of fundamental interest but also outline a novel way for producing unipolar subcycle pulses of controllable shape in resonant media.

 


An example of the electric field reflected from a 10-μm-thick layer of a two-level medium

A. Pakhomov,  M. Arkhipov,  N. Rosanov, R.Arkhipov
JETP Letters 116, issue 3 (2022)

 

 

 

One of the most crucial challenges for implementing a trapped ion quantum computer is temperature control. The fidelity of quantum gates, especially involving multiple qubits, dramatically reduces if the ions are not cooled to a low enough level. Hence, the problem of determining the temperature of ion chains in the Lamb-Dicke regime has to be solved efficiently in a practical sense. For the purpose of simplifying the measurement process, this letter addresses the usage of a phenomenon referred to as Rabi oscillation dephasing.
When a laser field, which is resonant with a certain narrow electronic transition, is applied to a specific ion in the chain, Rabi oscillations occur between relevant electronic states. The Rabi frequency is dependent on the motional state of the ion, which in the general case consists of several normal modes. Since the motional state population is distributed among the modes, Rabi oscillations would decay due to dephasing between oscillations with different Rabi frequencies. The rate of this decay is determined by the modes’ mean motional quantum numbers, which, in turn, correspond to the temperature of the chain.
In this letter we propose a method of measuring the temperature of an ion chain by studying the aforementioned dephasing. We derive an analytical expression for the population of the excited ion state, assuming the Lamb-Dicke regime, and test it experimentally. We use this method to determine the heating rate of a single ion in a trap, as well as measure the temperature of a 5-ion linear chain.
Our proposed method yields adequate results for mean motional quantum numbers on the order of 50, and it doesn’t require any additional laser sources besides those which are already used for spectroscopy or quantum computing with the ions.

Rabi oscillation dephasing in the first ion of a 5-ion chain. The mean motional quantum number is approximately equal to 75, which corresponds to the temperature of 1.7 mK.

N.Semenin et al.
JETP Letters 116, issue 2 (2022)

 

 

Giant photoconductance of a quantum point contact (QPC) has been discovered experimentally and studied numerically in [1-3]. The effect occurred in the tunneling mode, under irradiation by terahertz radiation with photon energy ħw0 = 2.85 meV, close to the difference between the top of the potential barrier and the Fermi energy ħw0 = U0 - EF (Fig. a). The effect was explained by the photon-stimulated transport (PST) of electrons due to the absorption of photons. However, a counter-intuitive disappearance of the photoconductance observed in [1] for a higher photon energy ħw1 = 6.74 meV, has not received a clear qualitative explanation, although it agrees with the results of the numerical calculations [1,2]. Here we propose such an explanation based on semiclassical considerations of the momentum conservation at PST.

The explanation is illustrated in Fig. b, which shows the electron dispersion laws near the stopping point and near the top of the barrier, as well as optical transitions with photon energies ħw0 ħw1. It can be seen that for the "resonant" photon energy ħw0 = U0 - EF, the optical transition from the bottom of the lower parabola to the bottom of the upper parabola is vertical and does not require additional scattering in momentum; therefore, the probability of such a transition is high. On the contrary, for ħw1 > ħw0, the transition to a state with a high kinetic energy of an electron over the top of the barrier requires simultaneous scattering in momentum (the dashed line in Fig. b), so the probability of such a transition is small due to the small probability of acquiring a large momentum under transfer through a smooth barrier.

We calculated PST spectra according to the perturbation theory, as the product of the optical transition probability W and the electron transfer probability D through the potential barrier in the final state. The calculated spectra contain peaks corresponding to the optical transitions from the Fermi level to the top of the potential barrier, in accordance with the numerical results [2] and with the explanation proposed here. On the other hand, our calculations restrict this explanation, which is based on the assumption that the optical transitions at the stopping points yield the major contribution to the PST. In reality, a relatively broad region, which includes a smooth foot of the barrier, yields a considerable contribution to the matrix element of the optical transitions.

[1] M. Otteneder, Z. D. Kvon, O. A. Tkachenko, V. A. Tkachenko, A. S. Jaroshevich, E. E. Rodyakina, A. V. Latyshev, S. D. Ganichev, Phys. Rev. Applied. 10, 014015 (2018).

[2] O. A. Tkachenko, V. A. Tkachenko, D. G. Baksheev, Z. D. Kvon, JETP Lett. 108, 396 (2018).

[3] V. A. Tkachenko, Z. D. Kvon, O. A. Tkachenko, A. S. Yaroshevich, E. E. Rodyakina, D. G. Baksheev, A. V. Latyshev, JETP Lett. 113, 331 (2021).

D.M. Kazantsev, V.L. Alperovich, V.A. Tkachenko, Z.D. Kvon
JETP Letters 116, issue 2 (2022)

 

 

In a direct drive ICF plasma with strong temperature gradients appearing in the absorption domain a mean free path of electrons can be comparable to the temperature space scale. A significant contribution to heat flux is made by the electrons with energy few times greater the thermal one. These electrons runaway the region of strong gradient that provide the energy flux nonlocality. The Fourier law states that the flux in a given point is proportional to the electron temperature gradient with heat conductivity coefficient at this point. In the nonlocal regime the electron energy flux is dependent on plasma parameters in a nearby region. In turn, absorption efficiency and target dynamics depends on heat transfer. Self-consistent simulation of the nonlocal effect requires collisional kinetic model. The Fokker-Planck simulation has been used to simulate electron dynamics of laser heated plasma. Such a model is limited to rather short temporal and spatial scales (several hundreds of electron-ions collision times and free path length) and can't be directly used in global ICF simulations. However, kinetic model makes it possible to test a number of kernel-based nonlocal models, which could be incorporated in ICF hydrocodes. In Fig. 1 the comparison of heat wave dynamics is presented with several models included: FP — the Fokker-Planck kinetic simulation, f=0.15 — the flux limited Spitzer-Harm model, Psi_BB — our nonlocal model with integral form heat flux. The latter is applied to simulations of direct drive ICF target. The nonlocal effects lead to shell smoothing and modified dynamics during target compression, that has an impact on the ignition.

 

S.Glazyrin, V. Lykov, S.Karpov, N.Karlykhanov, D.Gryaznykh, V. Bychenkov
JETP Letters 116, issue 2 (2022)

 

Implementation of the next generation of supercomputers will not be possible without energy-efficient digital and storage technologies “beyond-CMOS”. In the published paper "Magnetic memory effect in planar ferromagnet/superconductor/ferromagnet micro-bridges", a possible design of a novel superconducting element of magnetic memory is proposed. The element functioning is based on an experimentally observed effect of storing the low-resistive state of the ferromagnet/superconductor/ferromagnet trilayers. The power consumption in the resistive state is only 15 pW, which is 3000 times less than one obtained earlier on similar structures and 2-4 orders of magnitude less than the power consumption of modern CMOS memory elements

 

L.N.Karelina et al.
JETP Letters 116, issue 2 (2022)

The only way to solve problem of the knee in the HECR spectrum is to determine the composition of CRs. The conclusions of this work are based on the analysis of the characteristics of EAS cores obtained using X-ray emulsion chambers. According to these data, a number of anomalous effects are observed in the knee region, such as an increase in the absorption length of hadron showers, a scaling violation in the spectra of secondary hadrons, an excess of muons in EAS with gamma families, a violation of isotopic invariance, the appearance of halos and the alignment of energy centers along a straight line. At the same energies equivalent to 1-100 PeV, laboratory system colliders show scaling behavior. So analysis of the data on the EAS cores suggests that the knee in their spectrum is formed by a component of cosmic rays of a non-nuclear nature, possibly consisting of stable (quasi-stable) particles of hypothetical strange quark matter. In this case, cosmic rays up to the fracture energy at 3 PeV consist of nuclei from protons to iron, and at high energies in the knee region from strangelets with electric charges Z = 30-1000.

Fig.1. The spectrum of cosmic rays.

S.B.Shaulov , V.A.Ryabov, A.L.Shepetov, S.E.Pyatovsky, V.V.Zhukov, K.A.Kupriyanova, E.N.Gudkova
JETP Letters 116, issue 1 (2022)

 

 

 

Plasma turbulence developing in intense high-frequency fields have been studied for more than 60 years. Such interest is connected with the problems of plasma heating in thermonuclear fusion devices, and to explain the features of the propagation of high-power radio waves in near-Earth plasmas. In particular, high-power ground-based and space-borne transmitters are capable of inducing artificial ionospheric turbulence (AIT). This AIT can modify the properties of radio waves’ propagation significantly, and affect the operation of radio communication and radio sounding systems.

In laboratory experiments performed on large-scale KROT device the turbulence was studied arising in a magnetoplasma when it was heated by intense high-frequency pump pulse. Large-scale cold quasi-uniform and magnetized plasma column (4 m in length and about 1 m in diameter) makes it possible to simulate ionospheric phenomena in a so-called “boundary-free” approximation. The pump pulse was applied to the loop antenna at frequencies both lower than electron gyrofrequency, and above it. The turbulence manifests itself in excitation of plasma density perturbations, generation of low-frequency electric currents, strong pump pulse self-modulation, and the modulation of test electromagnetic waves propagating through the perturbed plasma area. Turbulent density irregularities were studied by a set of microwave resonator probe (MRP) operated simultaneously. Correlation analysis of MRP data revealed the properties of space-time density dynamics. The density disturbances are field aligned and narrow (about 1 cm across the magnetic field). The electric currents pulsate in a direction mainly parallel to ambient magnetic field, and correlate with density disturbances. The turbulence occurred in a magnetoplasma transparent to the pump wave only, i.e. at frequencies below the electron gyrofrequency; at higher frequencies the turbulence was not observed. The measurements of turbulence decay characteristic time after the pump switching off, on the one hand, and estimates based on electron and ion transport velocities, on the other, suggest the fast unipolar regime of density disturbances’ evolution.

The turbulence (AIT) similar to those studied in a paper can arise in active ionospheric experiments with powerful satellite-based transmitters used to emit whistler waves at frequencies below the local gyrofrequency. Particularly, self-modulation effects observed can lead to noise-like signal distortions, and impose the limitations on radio pulse duration and amplitude.

(a) – laboratory experiment layout; (b) – pump pulse envelope waveforms received in plasma at various pump power levels

 

I.Yu.Zudin  et al.
JETP Letters 116, issue 1 (2022)

 

 

 

The idea of a metric with changing signature attracts a lot of attention in quantum cosmology, quantum gravity and condensed matter physics. Whereas all experiments and observations do not question the fact that the classical metric of the Universe has Lorentzian signature, we can consider the problems with signature changing in quantum gravity, cosmological models of the initial moments of the Universe. From the mathematical point of view the existence of a special signature is not evident. Therefore, one might ask two simple questions. The first one is about the generalization of Riemannian geometry, which allows the coexisting of different signatures of metric. The second question is why this is the Lorentzian signature that is observed in practice. One of the possibilities for the generalization of Riemannian geometry is  complexification of space – time manifold, and the appearance of complex geometry with holomorphic functions introduced instead of the real functions. In this theory there is a problem of the reduction of 4D complex manifold to the observed 4D real world. In the present approach the problem is considered differently.

 

We start from Riemann-Cartan gravity instead of conventional general relativity. This theory is easily generalized to the case of varying  signature. In order to introduce arbitrary signature of space – time the nontrivial metric is introduced in tangential space. It is given by real symmetric matrix Oab, which is our new  dynamical variable (considered in addition to vierbein and spin connection). Now, depending on Oab the general signature of metric can be arbitrary. There are several different forms of Oab, to which it can be reduced. Minkowski signature corresponds to O=diag(-1,1,1,1) and O=diag(1,-1,-1,-1). Euclidean signature corresponds to  O=diag(1,1,1,1) and O=diag(-1,-1,-1,-1).  The cases O=diag(-1,-1,1,1) and O=diag(1,1,-1,-1) represent the signature, which is typically not considered in the framework of conventional quantum field theory. For these canonical forms of the O,  the vierbein belongs to representation of one of the three groups SO(4), SO(3,1), SO(2,2). The local gauge theory would contain the gauge field of one of the three Lie algebras. The group, which contains SO(4), SO(3,1), SO(2,2) must be introduced. The SL(4,R) group is taken as an example.

 

Therefore, we have a theory, which simultaneously describes geometry with different signatures allowed. One of the possibilities must be chosen dynamically through the corresponding Lagrangian for the O field and for the modified Riemann-Cartan gravity. We consider the general form of the Lagrangian, which describes dynamics of the field O. It appears that Lorentzian signature is preferred dynamically for a certain choice of such a Lagrangian. As an example of the possible application of the proposed approach we consider separation of space-time to the pieces with different signatures. An analogue of the black hole configuration, in which the interior has Euclidean signature is discussed. In this set-up the radial dynamics of a particle was shortly considered.  

 

To conclude, we propose the theory, which allows to the signature of metric to be changed dynamically.  This theory, in principle, allows investigation of various aspects of quantum gravity, and the early Universe cosmology. There is also an interesting mathematics behind.

S.Bondarenko, M.Zubkov
JETP Letters 116, issue 1 (2022)

 

The transition to superconducting digital circuits utilizing only Josephson junctions as functional elements promises a drastically increased integration density while maintaining high speed and energy efficiency. For this purpose, it was proposed to represent information in the form of the superconducting order parameter phase changes on bistable Josephson junctions. However, the practical fabrication of such Josephson heterostructures with parameters suitable for large-scale-integration density circuits doesn't yet seem possible. In this paper, we propose the concept of phase logic based on standard Josephson $\pi $-junctions having a single minimum of potential energy at the superconducting order parameter phase difference value equal to $\pi $. A complete set of $\pi $-phase logical elements necessary for the operation of digital devices is presented.

 

A.A.Maksimovskaya et al.
JETP Letters 115, issue 12 (2022)

Active development of optical quantum technologies including optical quantum computing and long-range quantum communications stimulates the creation of quantum memory (QM). The creation of highly-efficient QM will not only significantly expand the capabilities of these technologies, but will also contribute to the creation of new directions in their development. In this work a quantum memory protocol based on the revival of silenced echo (ROSE) signal in a 167Er3+:Y2SiO5 crystal at a telecommunications wavelength has been experimentally implemented for input light fields with a small number of photons. A storage efficiency of 44% with a storage time of 40 µs was achieved. The input pulse contained on average ~340 photons, and the reconstructed echo signal ~150 photons, at a signal-to-noise ratio of 4. The main source of noise is the spontaneous emission of atoms remaining in the excited state due to the imperfection of rephasing pulses. Methods for increasing the signal to noise ratio are proposed and discussed in order to implement efficient quantum memory for single-photon light fields.

Fig.1. Storage of weak coherent input pulse (black curve at t = 0) with ~340 photons. Revival of silenced echo signal (blue curve at t=40 μs) contained ~150 photons in average. Retrieval efficiency of input pulse was 40%.  Optical noise level from spontaneous emission within the echo temporal mode was ~40 photons.

 

M.M.Minnegaliev et al.
JETP Letters 115, issue 12 (2022)

 

 

 

     Recent discovery of the first intrinsic antiferromagnetic topological insulator, layered MnBi2Te4 with Neel temperature of 25.4K and a magnetic gap in the electronic topological surface states as a prerequisite for the realization of anomalous quantum Hall state [1] has triggered the beginning of studying a series of quantum materials which MnBi2Te4 belongs to and which are known today as MnBi2Te4·n(Bi2Te3), where an integer index n shows the number of the quintuple Te-Bi-Te-Bi-Te atomic layer blocks (QLs) inserted between the neighboring magnetic septuple  Te-Bi-Te-Mn-Bi-Te atomic layer blocks (SLs) [2]. Remining topologically non-trivial at room temperature, the bulk crystals of MnBi2Te4·n(Bi2Te3) can also be considered as MnBi2Te4/n(Bi2Te3) heterostructures with n running from 0 to ∞ [3]
  The present work reports the results of the room temperature experimental studies of Raman-active modes of MnBi2Te4·n(Bi2Te3) with n =0,1,2,3,4,5,6, and ∞, along with the results of DFT-based calculations of the phonons in one, three, four and five free-standing QLs of Bi2Te3, as well as in bulk Bi2Te3 and MnBi2Te4.

  Lattice dynamics of the MnBi2Te4·n(Bi2Te3) for n>0 turns out to be described by lattice dynamics of the n number of QLs of Bi2Te3. Accordingly, lattice modes, the number of which is fixed to 4, due to their strong degeneracy, represent cooperative atomic displacements in QLs under practically immobile atoms of SLs. 
  A good illustration (Figure 1) reflecting such unusual lattice dynamics is brought about by very close correspondence between the Raman spectra (and their n-dependence) of MnBi2Te4·n(Bi2Te3) with n>0 and n QLs of Bi2Te3 deposited on SiO2/Si substrate [4].

Fig.1 Normalized Raman spectra of MnBi2Te4·n(Bi2Te3) with n >0 (solid curves) and n QL of Bi2Te3 (open circles [4]).

 

 

[1] M. M. Otrokov et. al., Nature 576, 416 (2019).
       [2] Z. S. Aliyev et.al., J. Alloys and Compounds. 789, 443 (2019).
       [3] I. I. Klimovskikh et.al., npj Quantum Materials. 5, 54 (2020).
       [4] Y. Zhao et. al., Phys. Rev. B 90, 245428 (2014).

N. A.Abdullaev et al.
JETP Letters 115, issue12 (2022)

We present 2D frequency-resolved measurements of terahertz emission from a single-color femtosecond filament. In the low-frequency spectral range from 0.1 to 0.5 THz the conical shape of the THz fluence is observed, with the cone angle decreasing with growing frequency. This shape complies with the models of THz emission proposed in the literature. However, at higher frequency of ~1 THz, the two-lobe shape of THz fluence is measured. In the transverse plane, the axis containing the THz emission maxima is orthogonal to the linear polarization of the pump laser pulse. For the elliptical pump polarization, the cone shape of emission pattern is restored.

The observed THz directional diagram is found to be essentially sensitive to the laser pulse polarization direction. The majority of theoretical works propose a THz pattern to be conical regardless of the THz frequency or pump laser pulse polarization. Some of the models propose the modulation of the cone, which nevertheless is not enough to split the cone into the two lobes. The experimental data on both spectral and spatial characteristics of THz emission gathered in our work pave the way to comprehension of the physics underlying the THz emission from a single-color filament.

 

Normalized angular distributions of radiation at frequency of 1 THz, obtained for horizontal (a) vertical (b) and elliptical (c) polarization of the laser pump pulse

 

Rizaev G.E., Mokrousova D.V., PushkarevD.V.  et al.
JETP Letters 115, issue 11 (2022)

 

 

Peccei-Quinn axions, suggested as a solution to the strong CP-problem, are viewed as one of the most credible candidates for the dark matter. Spin of particles couples to the oscillating pseudomagnetic field  caused through Weinberg's derivative interaction  by their motion in the dark halo of our galaxy. Close to the speed of light velocity of particles in storage rings makes the Weinberg interaction the dominant source of the axion signal and strongly enhances the performance of the particle spin as a NMR-like axion antenna. The current searches for the resonant spin rotation in storage rings use the JEDI collaboration developed technique of the buildup of the vertical polarization from the  in-plane one. In the case of protons the showstopper for the JEDI approach is a short spin coherence time. Based on our analytic treatment of the impact of the spin coherence time on the frequency scanning search for  the axion signal, we suggest the alternative scheme of a rotation of the initially vertical spin onto the horizontal plane. This scheme is free of the axion field phase ambiguity, does not need radiofrequency spin flippers and can readily be implemented with polarized protons stored in the Nuclotron, NICA and PTR storage rings as an axion antenna. Of particular interest is PTR with concurrent electric and magnetic bending. We suggest to run PTR off of the frozen spin mode, varying  the electric and magnetic fields in sync  to retain the injection energy. This would make PTR a unique broaband axion antenna covering the axion field oscillation frequencies below 0.5 MHz.
 

N.N.Nikolaev
JETP Letters 115, issue 11 (2022)


The negative differential resistance (NDR) in the current driven regime is rarely met in superconductors being in resistive state, in contrast to NDR which appears in  the voltage driven regime. Known examples are underdamped Josephson junction (JJ) in the presence of microwave radiation and superconducting thin film with periodic array of ariticial defects placed in perpendicular magnetic field just above the first matching field (at this field all defects are occupied by vorticies). From physical point of view this effect is unusual because despite of increase of dc driving force (dc current) the 'particle' (vortex in thin film or the 'effective partcile' in case of JJ) moves with smaller average velocity. It is known that in both systems NDR appears when chaotic dynamics of superconducting phase (JJ) or chaotic motion of vortices (thin film) is realized.

In our work we have observed similar NDR in superconducting MoN strips with a slit near one edge and in the presence of high-power microwave radiation. On the I–V characteristic, the section with NDR is adjacent to steps (well visible at low power of microwave radiation) similar to the Shapiro steps in the Josephson junction. An analysis within the framework of the time-dependent Ginzburg-Landau equation and the heat balance equation for electron temperature showed that a possible cause of NDR is the disordered (chaotic) motion of vortices across the strip near the slit, which appears at high enough microwave radiation power.

Our findings give another example of superconducting system which reveals NDR in the current-driven regime and the origin of this effect is again connected with chaotic motion of vortices.

 

 

 

 

                  

 

 


S. S. Ustavschikov, M. Yu. Levichev, I. Yu. Pashenkin, N. S. Gusev, S. A. Gusev, D. Yu. Vodolazov

JETP Letters 115, issue 10 (2022)

$\require{mediawiki-texvc}$

Quantum interference of electrons travelling along the closed diffusive trajectories yields the correction to the conductivity of the electron system [1, 2]. In case of constructive interference the electrons become more "localized" and the net resistivity rises. Presence of spin-orbit interaction facilitates the spin rotation of electrons moving in closed loops and promotes the destructive interference of electron waves leading to the decrease of the resistivity. This effect is traditionally referred to as "weak antilocalization". Thus, studying the resistance of the 2D electron system in the presence of weak antilocalization can be used both to judge the parameters of electron wave coherence and to extract the strength of the spin-orbit interaction - one of the key fundamental interactions governing the semiconductor physics of spin.

In the present work, the weak antilocalization effect was discovered for the first time in a narrow AlAs quantum well containing a two-dimensional electron system. This structure features both strong spin-orbit interaction of the Dresselhaus type [3] and large effective mass [4]. Large mass ensures the significant role of the manybody physics in this system, as the kinetic energy is small compared to the characteristic energy of the Coulomb interactions.

Analysis of the experimentally observed quantum corrections was performed following  [5] and allowed us to estimate the constant $\beta=10.1$~meV$\times{\AA}$ of the spin-orbit interaction. Independently, this constant $\beta=7.6$~meV$\times{\AA}$ was determined by studying the modification of the single particle spin splitting probed by electron spin resonance. Obtained constants turned out to be rather close and the remnant discrepancy may be attributed to the effects of the electron-electron interactions
.

                      Quantum corrections to the conductivity of the two-dimensional electron system enclosed in a 4 nm AlAs-quantum well. The blue circles denote experimental data, and the black line is approximation according to the work [5]

 

[1] Hikami S., Larkin A. I., Nagaoka Y. Progress of Theoretical Physics. 63, 707-710 (1980)
       [2] G. Bergmann, Physics Reports 107, 1 (1984)
       [3] A. V. Shchepetilnikov, D. D. Frolov, Yu. A. Nefyodov, I. V. Kukushkin, L. Tiemann, C. Reichl, W. Dietsche, and W. Wegscheider Phys. Rev. B 98, 241302(R) (2018)
       [4] A. R. Khisameeva, A. V. Shchepetilnikov, V. M. Muravev, S. I. Gubarev, D. D. Frolov, Yu. A. Nefyodov, I. V. Kukushkin, C. Reichl, W. Dietsche, and W. Wegscheider Journal of Applied Physics 125, 154501 (2019)
       [5] A. Punnoose, Appl. Phys. Lett. 88, 252113 (2006)

 

A. V. Shchepetilnikov, A. R. Khisameeva, A. A. Dremin, I. V. Kukushkin
JETP Letters 115, issue 9 (2022)

 

A new method of hardening industrial products by laser generation of a powerful shock wave (SW) melting the metal is proposed. A laser pulse of 0.1-1 picosecond duration with maximum intensity determined by the optical breakdown of air is used. In metals with low reflection coefficient (e.g., titanium considered here) the absorbed energy is tens of J/square cm. In this case, due to poor thermal conductivity of titanium, the initial pressures reach values of the order of 1012 Pascal. The SW melts the metal as long as the pressures at the front exceed the values of 1011 Pa. As a result, the thickness of the melt layer is an order of magnitude greater than in melting due to thermal conductivity alone.

The specifics of the SW transition from melting (mode M) to non-melting (mode S) propagation are important. During crystallization of the melt layer, the connection with the crystalline ordering of the parent monocrystal, which represented the titanium target before the laser exposure, is lost. The point is that a rather wide transition zone (up to 100 nm) of "mechanical" melting occurs during the M-S transition [1]. This zone is filled with randomly oriented particles of nanocrystallites inside the melt [1]. The solidification of the liquid layer due to heat conduction into the volume through the M-S transition zone leads to crystallization starting from these nanocrystallites. As a result, after solidification, the melt layer is transformed into a layer filled with randomly oriented crystallites. This layer is qualitatively different from the underlying single crystal. The non-melting SW that has escaped into the underlying monocrystal leaves a dislocation trace in the monocrystal. The concentration of dislocations gradually decreases as they move away from the boundary of the layer that has gone through melting and crystallization. This is due to the weakening of the SW.

Figure shows the Q6 order parameter profiles in M mode (43.2 ps) and in S mode (52.8-81.6 ps). The values of Q6 below the dashed horizontal line refer to the liquid phase. The M-S transition region is clearly visible on the upper panel and on the S profiles. The spatial coordinate x in Figure is from the initial position of the titanium-air boundary.

 

[1] Budzevich et al., Evolution of Shock-Induced Orientation-Dependent Metastable States in Crystalline Aluminum, Phys. Rev. Lett. vol. 109, 125505 (2012)

 

V.A. Khokhlov, V.V. Zhakhovsky, N.A. Inogamov, S.I. Ashitkov, D.S. Sitnikov, K.V. Khishchenko, Y.V. Petrov, S.S. Manokhin, I.V. Nelasov, Y.R. Kolobov, V.V. Shepelev
JETP Letters 115, issue 9  (2022)

 

 

Cooling and trapping atoms near the atom chip need high local concentration of atoms. It increases the sensitivity of quantum sensors based on atom chip through the increasing of the cold atoms in the trap cooled for the smallest time. A method for increasing the loading rate of atoms into a U-shaped magneto-optical trap of atoms near an atomic chip is considered in this paper. The approach is based on focusing a low-velocity atomic beam into the localization region of atoms on an atomic chip. The mode of focusing with excessive damping is considered. In this case, the focal length does not depend on the initial transverse velocity of the atoms. It is shown that due to the focusing of the atomic beam, it is possible to increase the loading rate by a factor of 160 in the localization region with a diameter of 250 μm.

 

A.E. Afanasiev et.al
JETP Letters 115, issue 9 (2022)

 

An approach that makes it possible to calculate the coherence and interference characteristics of macroscopic quantum systems is proposed. A general method based on the Schmidt decomposition for the analysis of two-particle quantum systems is presented. This method makes it possible to investigate the quantum entanglement between the system and the environment, as well as the coherence of interfering alternatives. Simple formulas expressing the relationship between coherence, interference visibility, and the Schmidt number are obtained. As an illustration, the characteristics of coherence and interference for the multimode quantum Schrödinger cat state were studied. It was shown that the phenomenon of decoherence of multimode states is clearly manifested under conditions where there are many modes, with the average number of photons per mode is much less than unity. Hypothetically, macroscopically distinguishable interfering alternatives in the multimode Schrödinger cat state can be characterized by arbitrarily high values of the total energy and the total number of photons. However, such macroscopically distinguishable superpositions are almost completely destroyed already when observing a limited number of environmental modes, which contain totally about one photon. Thus, the fate of the legendary Schrödinger's cat does not depend on a macroscopic observer, but on microscopic processes affecting a limited number of environmental modes and constituting a negligible fraction of the initial multimode state itself.

The figure shows the dependence of the probability of "survival" for a multimode Schrödinger cat depending from the number of measured environment modes m. It can be seen that, starting approximately from $m = 15 \cdot \ 10^3$ (corresponds to a $m \alpha^2 = 1.5$  photon), the superposition of the states of a “live” and “dead” cat is almost completely destroyed.

The dependence of the probability of "survival" of the Schrödinger cat from the number of reduced modes. The amplitude of each mode $\alpha = 0.01$, the total number of modes $n = 1 000 000. 30 $ numerical experiments were performed.

Yu. I. Bogdanov, N. A. Bogdanova, D. V. Fastovets, V. F. Lukichev
JETP Letters 115, 8 (2022)

 

 

 

The notion of the Planckian dissipation is extended to the system of the Caroli-de Gennes-Matricon energy levels in the vortex core of superconductors and fermionic superfluids. In this approach, the Planck dissipation takes place when the inverse scattering time is comparable with the distance between the levels (the minigap). This type of Planck dissipation determines the transition to the regime, when the effect of the axial anomaly becomes important. The anomalous spectral flow of the energy levels along the chiral branch of the Caroli-de Gennes-Matricon states takes place in the super-Planckian regime. Also, the Planck dissipation separates the laminar flow of the superfluid liquid and the vortex turbulence, see dashed vertical line in the phase diagram.

The phase diagram is determined by two Reynolds numbers, related to two types of Planckian dissipation. It has three regions. The laminar flow takes place in the super-Planckian regime with the spectral flow. In the sub-Planckian regime the spectral flow   is suppressed, which leads to quantum turbulence. The grey line marks the crossover between two regimes of quantum turbulence: the classical-like Kolmogorov cascade, and the Vinen-type turbulence with the single length scale – the distance between vortices.

G.E. Volovik                                  
JETP Letters 115, № 8 (2022)      

 

 

The essence of the optical diode effect is as follows: the intensity of light transmitted through a plate of material in one direction is several times higher than the intensity of light transmitted in the opposite direction. Fig. 1a. shows cases in which the polarization of the electric component $E^{\omega }$ does not change with the reversal of the wave vector. Consequently, the magnetic component of light $H^{\omega}$  flips the direction. This leads to the change of sign in the sum of operators of electric and magnetic dipole transitions: $dE^{\omega } + \mu H^{\omega }$.

For materials where both space and time inversion symmetry is broken (FeZnMo3O8 is an example), the net probability of transition $W_{\psi _1 \psi_z} \sim | \langle \psi _1 | dE^{\omega }+ \mu H^{\omega } | \psi _2 \rangle |^2$ contains additional terms linear  in magnetic and electric components of the light wave $E^{\omega } _{\alpha} H^{\omega } _{\beta }$. Due to  these terms, the absorption intensity changes with the change of sign of one of the components.

In this work we contribute to the microscopic theory of  interaction of  electromagnetic waves with the dipole and magnetic moments of Fe2+ ions in the FeZnMo3O8 crystal. The energy levels, wave functions and transition probabilities between the states of the 5D term are calculated. For free Fe2+ ion electric dipole transitions within the states of 3dn electronic configuration are forbidden by the parity conservation law, and the electric quadrupole transitions are weak. Thus, the mechanism of magnetic dipole transitions becomes dominant. In FeZnMo3O8 the Fe2+ ion occupies the positions with no inversion symmetry. The states of the 3d6 electronic configuration mix with the configuration of opposite parity 3d54p, as well as with the states in which electrons from the nearest oxygen ions can be transferred to the 3d shell. The mixing process induces electric dipole transitions within the states of the 3d6 configuration. According to our calculations in FeZnMo3O8, the contributions of magnetic and electric dipole transitions in the terahertz region of the absorption spectrum turned out to be of the same order of magnitude. This circumstance explains the basic feature of the optical diode effect. Some of the results of our calculations are shown in Fig. 1b, 1c.

Fig. 1. (a) The illustration of the optical diode effect. The width of the cylinders reflects the intensity of light. (b) Experimental (symbols from Ref [1]) and calculated (solid lines) magnetic field dependence of the absorption frequencies. (c) Magnetic field dependence of the absorption coefficients calculated in this work.

 

[1] Shukai Yu, Bin Gao, Jae Wook Kim, Sang-Wook Cheong, Michael K. L. Man, Julien Madeo, Keshav M. Dani, Diyar Talbayev, Phys. Rev. Lett., 120, 037601 (2018)

 

 

 

 

K. V. Vasin, M. V. Eremin and A. R. Nurmukhametov
JETP Letters 115, issue 7 (2022)

 

In recent years much interest was attracted to experimental studies of Hall effect at low temperatures in the normal state of high -- temperature superconductors (cuprates), which is achieved in very strong external magnetic fields [1]. The observed anomalies of Hall effect in these experiments were usually attributed to Fermi surface reconstruction due to formation of (antiferromagnetic) pseudogap and corresponding quantum critical point [2].

Commonly accepted view is that cuprates are strongly correlated systems and their metallic (superconducting) state is realized as a result of doping of a parent Mott insulator usually described within Hubbard model. However, there are almost no works devoted to systematic studies of doping dependence of Hall effect in this model. Central question here is the sign of Hall coefficient and critical doping for its change.

Deeply in hole doped Mott insulator the Hall coefficient is in fact determined by filling of the lower Hubbard band. For the model with electron - hole symmetry a qualitatively estimate the band -- filling corresponding to sign change of Hall coefficient can be done as follows. Consider paramagnetic phase with $n_{\uparrow}=n_{\downarrow}=n$, so that $n$ denotes electron density per single spin projection, while the total electron density is $2n$. It is natural to assume that the sign change of Hall coefficient takes place around half - filling of the lower Hubbard band corresponding
to $n_0\approx 1/2$. The total number of states in the lower Hubbard band is $1-n_{\downarrow}=1-n$. Then the actual band - filling is given by $n=n_{\uparrow}=n_0(1-n)\approx 1/2(1-n)$. Solving this equation gives $n_c\approx 1/3$,
or $\delta_c=1-2n_c\approx 1/3$ for corresponding hole concentration, for the critical doping at which the Hall coefficient changes its sign.

In this work extensive DMFT [3] calculations of Hall effect were performed for two - dimensional Hubbard model with tight - binding electronic spectrum, keeping in mind the comparison with experimental data on YBCO. In general case (without electron -- hole symmetry) the value of $n_c$ ($\delta_c$) depends on parameters of the model (transfer integrals ratios and correlation strength, as well as on temperature). In  Fig. 1  the comparison of calculated  Hall number (Hall concentration) $n_H=\frac{a^2}{|eR_H|}$ is shown for typical model parameters with experimental data for YBCO from Ref. [1].  Almost quantitative agreement with experiment was obtained. Thus it is quite possible that the interpretation of Hall effect in cuprates based on a simple picture of doping of the lower Hubbard band, not related to more sophisticated factors, such as change of topology of Fermi surface or quantum critical points.

Fig.1 Dependence of Hall number $n_H$ on doping - comparison with experiment [1] on YBCO, $\delta=1-2n$ - hole concentration, stars - theory (for typical spectrum parameters for YBCO and relatively strong correlations), circles - experiment.

[1] S. Badoux, W. Tabis, F. Laliberte, B. Vignolle, D. Vignolles, J. Beard, D.A. Bonn, W.N. Hardy, R. Liang, N. Doiron-Leyraud, L. Taillefer, C. Proust. Nature 531, 210 (2016)
[2] C. Proust, L. Taillefer. Annu. Rev. Condens. Matter Phys. 10, 409 (2019)
[3] Th. Pruschke, M. Jarrell, J. K. Freericks. Adv. Phys.  44, 187 (1995)

 

E.Z. Kuchinskii, N.A. Kuleeva, D.I. Khomskii, M.V. Sadovskii.
JETP Letters 115, issue 7 (2022)

 



 

A review of research on geodesic acoustic modes and Alfvén Eigenmodes (AE), and their relations to other types of turbulence and plasma confinement in tokamaks and stellarators is presented. The main experiments were carried out at the T-10 tokamak (Russia) with powerful electron cyclotron heating (ECH) of the plasma and at the TJ-II stellarator (Spain), where the plasma was created and heated by ECH and neutral beam injection (NBI). With NBI, AEs are excited in the plasma, the AE frequency is varied with the plasma density n according to the Alfvén scaling (fAE~n-1/2). In addition to AE with a continuous frequency change, chirped AE modes with a sharp change in frequency can occur. Alfvén modes can worsen the confinement of energetic particles. When the additional ECH is supplied, AEs are weakened, so it is proposed to use ECH to suppress Alfvén modes in future fusion reactors.

Evolution of the Alfvén mode from continuous to chirped and back in the TJ-II stellarator with neutral beam injection (NBI) and variation in the power of electron-cyclotron heating (ECH). Top - spectrum of magnetic fluctuations. White line is the Alfvén scaling on the density (fAE~n-1/2); Bottom – weakening and suppression of AE by ECH.

 

A.V. Melnikov, V.A. Vershkov, S.A. Grashin, M.A. Drabinskiy, L.G. Eliseev, I.A. Zemtsov, V.A. Krupin, V.P. Lakhin, S.E. Lysenko, A.R. Nemets, M.R. Nurgaliev, N.K. Kharchev, P.O. Khabanov and D.A. Shelukhin
JETP Letters 115, issue 6 (2022)

 

 

The creation of quantum memory is of growing interest due to the importance of its use in solving problems of practical quantum information science. It has recently been shown that a system of high-Q resonators with a periodic structure of resonant frequencies opens up real possibilities for working with broadband signals [Scientific Reports, 8, 3982 (2018)]. However, a significant increase in the lifetime requires the integration of long-lived quantum information carriers into the multi-resonator quantum memory circuit.

In this letter [1], we propose a quantum memory based on a system of few resonators containing one atom in each resonator, where the resonators are connected to an external waveguide through a common resonator. Principle scheme is shown in Fig., where storage (retrieval) of the signals Ain,out(t) from an external waveguide on long-lived atomic coherences sn(t) through the common resonator and  minicavities  modes (xn(t) and a(t)). Using the properties of the reversible dynamics and optimization methods, the parameters of resonators and atoms interacting with them are found, at which an effective transfer of a single-photon wave packet from an external waveguide to a long-lived coherence of atoms is possible. It is also shown that the proposed scheme provides the operation with a broadband photon wave packet with Gaussian temporal mode.

 

Finally, we also discuss the possible experimental implementations including using three-level quantum dots as artificial resonant atoms providing sufficiently strong coupling with a photon in high-Q micro- and nanophotonic resonators. In this case, the considered quantum memory protocol is implemented by using off-resonant Raman interaction of a photon with three-level quantum dots with effective integration of resonators into external devices.

 

[1] S.A. Moiseev, N.S. Perminov, and A.M. Zheltikov. JETP Letters 115, № 6 (2022).

 

 

S.A. Moiseev, N.S. Perminov, and A.M. Zheltikov
JETP Letters 115, issue 6 (2022).

 

The sensitivity of the system to the small changes of the initial condition was noted by  H. Poincaré. He discovered it during the study of the three-body problem. Then, this problem was studied by A. Lyapunov. The notion "butterfly effect"\~ was suggested by E. Lorenz, who discovered similar instability during the study of the atmospheric processes. Due to this effect, the distance between close trajectories of the system increases exponentially in time i.e. $\frac{\partial q(t)}{\partial q(0)}\sim e^{\lambda_L t}$. The parameter $\lambda_L$ is called the Lyapunov exponent.

One should observe the out-of-time ordered correlation function (OTOC) to study this effect in the quantum system. It was pointed out in the work  [1]. The Google Quantum Ai group did the experimental study of the OTOC, and the result was published in the work   [2]. They used the quantum processor to simulate the motion backward in time.
 

For the big class of the quantum systems, the Lyapunov exponent is bounded: $\lambda_L \le \frac{ 2\pi T}{\hbar}$ where $T$ is a temperature of the system, and $\hbar$ is the  Planck constant, it was shown in the work  [3]. The Sachdev-Ye-Kitaev (SYK) (see. [4] model is an example with maximal Lyapunov exponent.  

In the present paper, we propose the generalization of the SYK model with a non-zero spatial dimension. The OTOC shows the following behavior. For short times it changes with the maximal Lyapunov exponent. Here short means less than the so-called Ehrenfest time. We see the chaotic behavior of the system for such times, but it is not yet developed. When  Ehrenfest time comes, chaos is locally well developed, and it starts to spreads through the system with constant speed as a front. A similar scenario was described in the work  [5] for the Fermi-liquid-like system, whereas our model is not of such class.

Our result is fully analytical, and the technique could be applied to any  SYK-like model. We also present the first calculation of the front speed in this work. It is interesting to note that for sufficiently low temperature, the speed  of front depends only on the temperature $T$ and the typical
 length scale of the problem $a$ i.e. $v\approx\frac{ 2\pi T}{\hbar}a\times 1.6$
[1] A.I. Larkin, Yu. N. Ovchinnikov, Sov Phys JETP,  28, issue 6 (1969)
[2] X. Mi, P. Roushan, C. Quintana (Collaboration) arXiv preprint arXiv:2101.08870
[3] J. Maldacena, S.H.  Shenker, D. Stanford,Journal of High Energy Physics 2016 8 (2016)
[4] A. Kitaev, S.J. Suh, Journal of High Energy Physics, 2018 5 (2018)
[5] I.L. Aleiner, L. Faoro, L.B. Ioffe, Annals of Physics, 375 (2016)
 

 

 

A.V.Lunkin
JETP Letters 115 issue 5 (2022)

Fabrication of fluorescent integrated optical elements is a challenging task. One of the most perspective methods for the growth of such structures is the two-photon laser lithography from dye-doped polymers, which can provide desirable geometrical parameters as well as high fluorescence quantum yield.

In this letter we demonstrate the composition of microresonators using OrmoCopm polymer with Coumarin-1 dye and mixture of Rhodamine-640 and Rhodamine-590. We demonstrate the formation of microresonators of various shape such as cylinders, pentagons etc. of the characteristic dimensions of 10-15 micrometers. Homogeneity of the dye distribution within the structure and bright fluorescence of dyes after the polymerization was shown by means of two-photon fluorescence microscopy. We also demonstrate that Coumarin-1 acts as a photoinitiator as well as an active dopant that diminishes by two orders of magnitude the laser fluence required for the polymerization.

Captured scattered fluorescence patterns proved excitation of different types of resonator modes: whispering gallery and bow tie modes, that was supported by FDTD simulations.

 

A. Maydykovskiy, E. Mamonov, N. Mitetelo, S.Soria, T.Murzina
JETP Letters 115, issue 5 (2022)

 

The interplay between topology and magnetism in magnetic topological insulators (TI) provides particularly rich playground for realization of new exotic physics. These unusual properties make magnetic TIs extremely attractive for applications in novel electronics, especially in the trendy 2D and antiferromagnetic spintronics and quantum computations. To date, the most promising platform for realizing such effects is the recently discovered MnBi2Te4 antiferromagnetic TI, which inspired a lot of research activity as it holds promise of the high-temperature quantized anomalous Hall and axion insulator states, Majorana hinge modes and other effects. Nevertheless, originally MnBi2Te4 is highly n-doped, while for any practical purpose there must be a charge neutral state. A known way to change the doping level for MnBi2Te4 is to replace Bi atoms with Sb atoms. Here we study in detail the change of the electronic structure in the Dirac cone region and core levels depending on the concentration of Sb atoms in Mn(Bi1-xSbx)2Te4 in wide region of x. The photoelectron spectra of valence and conducting bands are presented, that clearly show the change in the doping level (see fig). Besides, in the paper a detailed dependence of the doping level on the concentration of Sb atoms at a particular measured point is plotted. This dependence is approximated by a root function, that corresponds to a linear increase in the density of charge carriers. Our results provide an important step towards the applications of new magnetic TIs in post-silicon electronic devices.

 

D.A. Glazkova et al.
JETP Letters 115, issue 5(2022)

       Now the most interesting topics in the condensed matter physics are related to topological materials: topological insulators, topological superconductors, Dirac and Weyl topological semimetals, etc. Superfluid phases of liquid 3He are the best representatives of the topological matter. Each phase has its unique topological property. Recently the new topological phase of superfluid 3He has been discovered - the beta phase, where only single spin component of the liquid is superfluid. The beta-phase is obtained by strong polarization of the nematic polar phase. Here we consider half-quantum vortices (HQVs), which are formed in rotating cryostat with polar phase, and discuss theoretically the evolution of the vortex lattice in the process of the transition from the polar phase to the beta-phase via the spin-polarized polar phase.

In the pure polar phase, the elementary cell of the vortex lattice in Fig.a contains two HQVs: the spin-up and spin-down HQVs. When the polar phase is spin-polarized by magnetic field, the balance between spin-up and spin-down vortices is violated. The lattice as before contains two sublattices in Fig.b, where HQVs in the spin-down component have smaller amplitude. Finally, the spin-down sublattice fades away at the transition to the beta-phase in Fig.c, and only the vortices in the spin-up component remain. In this scenario, the HQV in the spin-up component in the polar phase continuously transforms to the single quantum vortex in the beta phase.

G.E. Volovik
JETP Letters 115, issue 5 (2022)      

Layer-by-layer thinning transition of free standing smectic nanofilms are one of the most spectacular discoveries in the physics of liquid crystals in the latest decades. The essence of the effect is that smectic nanofims do not melt on heating, melting is replaced by a series of transitions with a decrease of the film thickness by one or several molecular layers. This phenomenon was recognized (observed and theoretically described) quite some time ago. Therefore it might be thought that its mechanism would be completely understood. Our investigation shows that it is not the case. In this work, we have discovered a new mechanism of nanofilm thinning, which was not previously observed in experimental studies and was not theoretically predicted.  Namely we found a significant change in the shape of the meniscus near the thinning transition, the formation of a thin film section in it, and an increase in the size of the meniscus itself which leads to a thinning of the entire film. We do believe that our work opens a new avenue of research of the smectic films. The phenomenon of film thinning turns out to be much more complex and rich than previously thought.  Further experimental and theoretical studies are required.

 

 

Process of thinning of a smectic free-standing film (from (a) to (f)) starting near the meniscus-film boundary. (a) – T=59.5°C; (b) – T=60.15°C; (c) – T=60.26°C; (d) – T=60.29°C; (e) – T=60.31°C; (f) – T=60.34°C.

P.V. Dolganov, V.K. Dolganov, E.I. Kats

JETP Letters 115, Issue 4 (2022)

Current optical manipulation techniques make it possible to localize, move, and sort micro- and nanoparticles in compact microfluidic devices. In contrast to conventional optical tweezers, newly emerging techniques usually employ the near field of planar optical elements. This allows one to integrate the entire optical circuit inside the device. Unfortunately, manipulating particles using optical near-field is typically accompanied by increased viscous friction and adhesion probability. To overcome these difficulties, researchers have been looking for optical systems with the potential energy minimum located at a distance from the structure.

Previously, a similar problem was solved for optical trapping of atoms. To hold them at a distance from the waveguide structures, it has been proposed to use light of two different wavelengths. Since the polarizability of atoms changes sign near the transition frequency, it is possible to choose wavelengths so that the optical forces have opposite directions and balance each other at a finite distance from the surface. Such an approach can be useful not only for trapping atoms but also for manipulating high-refractive-index micro- and nanoparticles, whose polarizability changes sign near Mie scattering resonances. However, its applicability to this case has not been previously explored.

In this work, near-field optical manipulation of Mie-resonant silicon particles in water is modeled. To localize particles at a controlled distance from the surface, Bloch surface waves of two optical frequencies are used. The forces acting on the particles are calculated as a function of particle size, wavelength, and distance from the surface. The range of the equilibrium position adjustment is estimated for typical experimental parameters, taking into account the Brownian motion at room temperature. The results highlight the great potential of two-color surface waves for optical manipulation of Mie-resonant nanoparticles.

Optical levitation of a Mie-resonant silicon nanoparticle in the evanescent field of two-color surface electromagnetic waves

 

Shilkin D.A., Fedyanin A.A.
JETP Letters 115, issue 3 (2022)

The genesis of complex elastic waves emitted from a hot spot produced by strong laser heating is studied. There is a connection/bridge between (A) laser shock peening by strong laser action and (B) linear optoacoustics by weak laser action.

  1. Laser-induced hydrodynamics results in surface layer hardening. The laser heating leads to plume formation, melting, crater formation, formation of a dense dislocation field around the crater with residual deformations and stresses. At the same time, shocks running from the forming crater into the target pass from elastic-plastic regime of propagation to nonlinear elastic regime (nonlinear elastic shocks). Nonlinear elastic shocks are attenuated to linear elastic waves used in optoacoustics.
  2. Optoacoustics at the micro- and nanoscale, i.e. photon-phonon conversion, is in great demand for advanced applications of photon-phonon transducers in telecommunications, acoustic magnetization switches and in sensors (detection of elastic characteristics). In such applications, a weak laser beam excites an elastic acoustic wave system. But researchers here are interested mainly in the surface Rayleigh wave or consider a one-dimensional geometry with plane wave fronts with neglecting the side effects.

Figure shows a wave configuration at transition from elastic-plastic propagation regime to pure elastic regime. Near the hot spot with a plume, a zone of plastic deformations imprinted in the matter is formed. Elastic waves emitted from this spot have a complex mixed longitudinal-transverse polarization and consist of a combination of compression waves, rarefaction waves, vortex/shear waves and the surface Rayleigh wave.

Figure. Snapshots from molecular dynamics simulation of aluminum layer with 120 million atoms at time 25.2 ps. The normal to free surface coincides with direction [111] of FCC crystal. The layer dimensions are 200 nm along the normal, 500 nm in transverse direction, and 20 nm in thickness perpendicular to the Figure plane. Laser beam size is 100 nm, and heat penetration depth is 20 nm. Pressure reaches 49 GPa just after femtosecond laser heating.

(a) Map of von Mises stress. The blue arrows mark the wedge-shaped unloading waves running along the surface and spreading into the volume. The wedge waves are originated in the contact point of the incident shock with the free surface.

(b) Field of the normal velocity is presented.  Material moves to the right in the red-colored areas, and it moves to the left in the green areas. The red arrows show the surface Rayleigh waves forming inside a complex wave configuration.

 

N.A. Inogamov, E.A. Perov, V.V. Zakhovsky, V.V. Shepelev, Yu.V. Petrov, S.V. Fortova
JETP Letters 115, issue 2 (2022)

Laser ablation into liquid (LAL) is used to produce nanoparticles (NPs). Ultra-short ablation (femto- picosecond fs/ps-LAL) and nanosecond ablation (ns-LAL) are available. During fs/ps-LAL, cavity nucleation occurs beneath the irradiated surface. Then the detachment of the spallation layer (SpL) takes place. In the fs/ps-LAL, nucleation, foaming, and disintegration of the SpL significantly affect the number and size distribution of the resulting NPs.

There is no subsurface nucleation during ns-LAL considered here. There is no SpL, no capillary decay of the SpL. Then the standard process of NPs formation consists of three links: (1) evaporation - (2) diffusion in the receiving substance (which is air or liquid; in our case, liquid/water, see Figure) - (3) condensation.

At absorbed fluences F~1 J/cm2, the gold-water contact boundary (cb) is a few nanoseconds above the critical point in the gold phase diagram – this is the supercritical time interval. The importance of this circumstance is great. At this time interval the capillary barrier disappears, which should be overcome by evaporation (surface tension is zero). Then, firstly, the diffusion flux is sharply intensified and, secondly, cooling of the evaporating melt due to large heat of evaporation disappears.  Thus, link 1 in the 1-2-3 chain drops out. Link 1 drastically reduces the amount of LF, see figure.

In the case of supercritical states, the entropy of gold Scb at contact boundary (cb) exceeds the critical entropy Scr. Gold of the [Scb-Scr] segment of the material profile comes under the binodal through the condensation curve (cc); except for the amount that diffused through point “cb” into the water. However, gold [Scb-Scr] does not form NPs!

Split the segment [Scb-Scr] into layers “S”: Scb > S > Scr. The layers “S” cross the condensation curve sequentially from lower entropy values to higher values. Consider two adjacent layers Scc > S of this sequence. Let the layer Scc cross the condensation curve “cc” at time t. Layer S must be in a two-phase state with saturated vapor pressure Psat(S,t). Pressure Psat(S,t) is less than the pressure Pcc = Psat(Scc,t). Therefore, the two-phase layer S collapses (shrinks) into a one-phase liquid. Accordingly, there is no NP contribution from the S layer.

N. A. Inogamov, V. V. Zhakhovsky, V. A. Khokhlov
JETP Letters 115, issue 1 (2022)

In this study, Auroral Kilometric Radiation (AKR) is used as a remote diagnostic tool for processes in the Earth's magnetosphere. Using satellite data and the spectrum of AKR fluctuations at different frequencies, we study fractal properties of the auroral region of the magnetosphere depending on the source height and the radiation generation frequency. Scaling is used to determine fractal characteristics (Hurst exponent and fractal dimension) of the medium in the region of AKR generation and their dynamics depending on the height and frequency. It is shown that with an increase in height (or, which is the same, with a decrease in signal frequency), the value of scaling and Hurst exponent increases, while the fractal dimension decreases with height. We considered different cases of AKR registration under various geomagnetic conditions, when AKR intensity differed by an order of magnitude; however, there is a steady trend towards a decrease in the fractal dimension with height during the AKR generation. The obtained values of the scaling and fractal parameters indicate that the processes under consideration exhibit self-similarity and long-range dependence.

 

 

Upper panel is a dynamic spectrogram of the AKR power according to measurements from the Interbol-2 satellite for November 22, 1997. Bottom panel is dependence of fractal dimension D and Hurst exponent H on height and frequency.

A.A. Chernyshov, D.V. Chugunin and M.M. Mogilevsky
JETP Letters 115, issue 1 (2022)

Recently, it was reported the observation of acoustically induced transparency (AIT) of stainless-steel foil for resonant gamma-ray photons with an energy of 14.4 keV emitted from a radioactive Mossbauer source 57Co [1]. Similar to the electromagnetically induced transparency (EIT) and Autler–Townes splitting (ATS), AIT constitutes the appearance of a spectral domain of very weak absorption of radiation, located at the place of a nuclear resonant spectral line (Fig.1). However, in contrast to EIT and ATS, AIT doesn’t require a strong coherent electromagnetic driving field and can occur already in a two-level system. AIT is caused by coherent uniform oscillations of nuclei with ultrasonic frequency, which can be implemented by piston-like vibration of a solid absorbing medium. Similar to EIT and ATS, the material dispersion in the AIT spectral window has a sharp slope (Fig.1), which corresponds to a decrease in the group velocity of propagating radiation. In this paper, we show that under the same experimental conditions as in [1], single 14.4 keV photons emitted by the 57Co source can be slowed down below 6 m/s at room temperature in a stainless-steel foil of a certain thickness, enriched with 57Fe nuclide, oscillating at an optimal frequency. The corresponding single-photon wave packet of gamma radiation having a duration of about 80 ns can be delayed by about 100 ns.


Fig. 1. Absorption (red curve, right axis) and dispersion (blue curve, left axis) of the vibrating resonant absorber 57Fe in the case of AIT in the laboratory reference frame, at the vibration amplitude of 0.38 $\lambda $ (where $\lambda $ is the radiation wavelength) and frequency of 3$\gamma_{21}$ (where $\gamma_{21}$ is the halfwidth of the nuclear absorption line). The black dashed curve (right axis) is the absorption line of the motionless absorber. In the case of the incident wave packet with Lorentz spectrum of the halfwidth $\gamma_{21}$ , the black dashed curve also represents the incident field spectrum.

[1] Radeonychev, Y.V., Khairulin, I.R., Vagizov, F.G., Scully, M. & Kocharovskaya, O. Observation of acoustically induced transparency for $\gamma $-ray photons. Phys. Rev. Lett. 124, 163602 (2020).


Y. V. Radeonychev, I. R. Khairulin, and Olga Kocharovskaya
JETP Letters 114, issue 12 (2021)

Multicharged ions, positive ions with a large ionization multiplicity, play a significant role in the processes occurring in high-temperature laboratory and astrophysical plasma. Their properties are important for X-ray astronomy and astrophysics, in the physics of ion thermonuclear fusion, for the study of the interaction of ions with matter, in medicine, etc.

Among the most important characteristics of ions are their potentials (in volts) or ionization energies (in electron volts) numerically coinciding with them. For light elements, almost all ionization energies have been experimentally measured, but in medium and heavy ions, only the first few have been measured. These values for multicharged ions are obtained either by semiempirical methods or as a result of the application of various theoretical models.

The totality of available data on the ionization energies $I_{N_e}(Z)$ (eV) of atoms and ions for elements with atomic numbers $Z \leq 110 $ is presented in the tables of National Institute of Standards and Technology (NIST). However, the use of extensive tables in practice is not very convenient. The need for a sufficiently accurate approximation of tabular data determined the motivation of our study, which considered ions with the number of electrons $N_e\leq 46$ of elements with atomic numbers of $55 \leq Z \leq 95$.

Ions are often considered in isoelectronic series, grouped by the number of electrons $N_e$ in them coinciding with their number in neutral atoms. For example, hydrogen-like ions with $N_e=1$, helium-like ions with $N_e=2$, and so on.
In our work it is shown that in such series the atomic number similarity law is fulfilled. This means that the ionization potentials of the ions in the reduced coordinates are almost parallel lines that are well approximated by quadratic polynomials (see Fig.1).  This makes it possible, knowing the ionization potentials of several elements of the isoelectronic series, to estimate with good accuracy the ionization potentials of ions for other elements.

However, information is usually required on the ionization potentials of an element with an atomic number of $Z$ depending on the number of electrons $N_e$ in the ion. Therefore, the next step was to analyze the dependence of quadratic interpolation coefficients on the number of electrons.   Their polynomial interpolation made it possible to estimate the ionization energies of 1886 ions with an accuracy of a fraction of a percent on the basis of four small tables.

Ionisation energies from database NIST (symbols) in the reduced coordinates. $K$ and $L$ shells are on the left,  $M$ shell is on the right. Lines are quadratic interpolations.

G.V.Shpatakovskaya
JETP Letters 114, issue12 (2021)

 

The study of the energy structure of materials with a nontrivial topology, as well as their topological classifications when intersite Coulomb interactions (ICI) are taken into account, constitutes one of the main directions of the theory of condensed matter. The correctness of describing the ICI in topological insulators (TI) is of particular interest since in these materials there is an overlap of the initial valence band and the conduction band. To emphasize the importance of this circumstance it is sufficient to note that when conduction band overlaps with valence one the inclusion of ICI can radically change the structure of the ground state through the formation of an excitonic dielectric phase.  

In this work within framework of the BHZ+V model, which reflects the energy structure of the HgTe quantum well and for which ICI are taken into account the problem of the spectrum of bulk and edge states was solved.  It is shown that charge fluctuations lead to a qualitative renormalization of the TI energy structure: the Fermi spectrum consists of not only of the conduction and valence bands, but also of two fluctuation states bands (FSB). This spectrum is shown in the left panel of Fig.1.  

The energies of the edge states are located between the upper and lower FSB (right panel Fig.1). The dielectric gap is determined by the energy interval between the bottom of the FSB of conductions electrons and the top of the valence FSB.

Fig.1. Left panel bulk spectrum of Fermi excitations in TI when intersite Coulomb interactions are taken into account. The additional bands are due to charge fluctuations. Right panel – the dispositions of the spectrum of edge states. It is essential the energies of edge states are spaced between the fluctuation state bands.

V.V. Val’kov
JETP Letters 114, issue12 (2021)

   The vibration properties of a single crystal of yttrium iron garnet (Y3Fe5O12) were studied at high quasi-hydrostatic pressure by Raman spectroscopy. Raman spectra were measured with diamond anvil cells (DAC) in the pressure range of 0-72 GPa at room temperature. In the pressure region of ~ 50 GPa, a radical change in the spectra was found, indicating a phase transition. This correlates with the transition from the crystalline to the amorphous state, which was previously detected by the X-ray method, as well as with the metallization effect established from the optical absorption spectra. At this transition a spin crossover also undergoes in iron ions Fe3+, which transit from a high-spin state (HS, 3d5, S = 5/2) to a low-spin state (LS, 3d5, S = 1/2). In this work, the pressure dependences of the phonon modes in Y3Fe5O12 from ambient pressure to the critical pressure of the phase transition are documented in detail. To further study the unique electronic properties of Y3Fe5O12 garnet at pressures in the phase transition region, it is necessary to measure electrical resistance at high pressures and cryogenic temperatures.

The results of this study are very important, both for the physics of systems with strong electron correlations, and for geophysics, where various iron oxides are considered as one of the constituents of the Earth's mantle

Figure 1. (a) Photo of a Y3Fe5O12 crystal ~ 10 μm thick in a DAC cell in an experiment with an NH3BH3 medium. (b) Raman spectrum of a Y3Fe5O12 crystal in different frequency ranges at ambient pressure and room temperature. (c) Evolution of the Raman spectra of the Y3Fe5O12 crystal with increasing pressure in the quasi-hydrostatic NH3BH3 medium, and (d) the dependence of the Raman frequencies on the pressure. The shaded area indicates the pressure range of the proposed dielectric-to-metal transition. At a pressure of ~ 47 GPa, the shape of the spectrum changes dramatically, indicating the onset of the phase transition, which ends after 54 GPa. The Raman spectra were excited using a COBOLT DPSS laser with a wavelength of 660 nm.

 

Aksenov S.N., Mironovich A.A., Lyubutin I.S., Troyan I.A., Sadykov R.A., Siddharth S. Saxena (Montu), Gavriliuk A.G.
JETP Letters 114, issue 12 (2021)

The interplay between nontrivial band structure and magnetic order in topological insulators is a rich source of remarkable quantum phenomena such as quantum anomalous Hall effect, axion electrodynamics, Majorana fermions, etc. These phenomena are manifested through topologically protected electron states appearing at the sample boundaries. A qualitatively new stage of investigations in this topic is triggered by the discovery of materials that combine topological properties with intrinsic antiferromagnetic order.

In this letter we present a theoretical investigation of modification of low-energy surface electron structure caused by the noncollinear magnetic domain walls in intrinsic antiferromagnetic topological insulator. The study is carried out on the basis of the Hamiltonian for quasirelativistic fermions by using a continual approach and tight-binding calculations. A bound one-dimensional state is shown to appear at the domain wall, in addition to the surface exchange gap modulation and the shift of a two-dimensional Dirac cone in momentum space. We describe the main characteristics of the bound state such as the energy spectrum (see the figure), spatial localization and spin polarization depending on orientation of domain magnetizations.

We consider possibilities of experimental observation of the bound states associated with the noncollinear magnetic domain walls and their contribution to quantum effects on the (0001) surface of the antiferromagnetic topological insulators of the MnBi2Te4 -type.

Spectral dependencies of the one-dimensional bound state (red color) induced by magnetic wall and projection of the Dirac cone two-dimensional states for different orientations of the domain magnetizations.

 

V. N. Men’shov, I. P. Rusinov, E. V. Chulkov
JETP Letters 114, issue 11 (2021)

 

Relativistic self-trapping of high-intensity ultra-short laser pulse (“laser bullet”) is manifested as formation of a 3D soliton structure in the form of a plasma cavity with evacuated background electrons filled by laser light and self-consistent plasma electric and magnetic fields – all propagating at almost speed of light in dense gas plasma. Such laser bullet propagates in plasma to distances exceeding the Rayleigh length considerably and requires certain matching of the size of the laser spot to the plasma density and the laser pulse intensity when the diffraction divergence is balanced by the relativistic nonlinearity such that the laser beam radius is unchanged during pulse propagation. Relativistic self-trapping of intense ultra-short laser pulse is similar to the so-called self-trapping of radiation of low-intensity quasi-stationary laser beam, which has been known since the 1960s for the quadratic nonlinearity of the medium’s dielectric permittivity and, as has been established now, takes place for the relativistic plasma nonlinearity as well.

Strong longitudinal plasma electric field of a laser bullet is able to accelerate significant number of electrons (up to tens of nC) with energies in the multi-hundred-MeV range. Currently, relativistic self-trapping is the best chose in terms of maximizing the total charge of the generated electron bunches for different applications, such as electron radiotherapy, radiation x-ray and gamma-ray sources, obtaining of photonuclear reaction products. However, the success in the implementation of such applications critically depends on the realization of the relativistic self-trapping mode in an inhomogeneous medium, since only this is possible in experiments.

This letter gives an answer to the possibility of self-trapping of extreme laser light (Fig. 1) in inhomogeneous plasma, that is important for targeted experiments. For the considered case of a near-critical density medium, (most promising for generation of high-current electron bunches) this letter is argued that relativistic self-trapping regime can be realized by proper focusing of a high-power laser pulse on a density profile at the vacuum-plasma interface. This justifies the possibility of creating an efficient source of high-energy electrons for socially significant applications.

Fig.1 Plasma cavity with accelerated electrons for the relativistic self-trapping mode of laser pulse propagation.

V.Bychenkov, M.Lobok
JETP Letters 114, issue10 (2021)


 

We study the kinetics of long-lived cyclotron spin-flip collective exitations  in a purely electronic quantum Hall system with filling factor $\nu=2$. The initial coherent state of the excitations with zero two-dimensional wave vector induced by laser pumping is stochastized over time due to emission of acoustic phonons. The elementary emission process requires participation of two excitations. So the effective rate of phonon emission is proportional to the excitation density squared, and the stochastization process occurs nonexponentially with time. The final distribution of these excitations over 2D momenta, established as a result of stochastization at zero temperature, is compared with equilibrium distribution at finite temperatures.

It is known that the lifetime of considered excitations (purely electronic spin-cyclotron excitons, SCEs) reaches a record magnitude, up to $1\,$ms, in a spin-unpolarised quantum Hall system.  The decay of an initial coherent multi-excitonic state, where all excitations have equal 2D momenta ${\bf q}\!=\!0$, occurs into a diffusive incoherent state provided that the total number of excitations remains constant. When the `zero momentum' ensemble becomes stochastic, the main mass of excitons in the $K$-space diffuses to the vicinity of their energy $q$-dispersion minimum corresponding to a finite absolute value $q\!\approx\!0.9/l_B$ ($l_B$ is the magnetic length). In the future, the diffuse state is thermalized, and finally SCEs completely relax/annihilate. The stochastization occurs without any change of the spin state, thus, certainly, it is much faster than the total SCE-relaxation process. However, the stochastization is associated with emission of phonons and limited by the laws of conservation of energy and momentum. In the  translationary invariant system, the one-exciton process associated with the emission of a phonon is kinematically forbidden: the energy and momentum preservation conditions are never fulfilled in the case.
We calculate the total probability $R_{ p}$ of transition of the coherent state to a state, where, due to the phonon emission, two SCEs acquire nonzero momenta, and one of them has a fixed value: ${\bf q}\!=\!{\bf p}$ .

The physical meaning of the value $R_{p}$  is that it represents the rate of appearance of a SCE with momentum ${\bf p}$ due to the considered process of direct transition from the coherent state. When studying the problem kinetically, it will mean the rate of filling of a `one-particle' excitonic state with specific momentum  $p$. The total stochastization rate induced by phonon-emission, $R\!=\!\sum_{\bf p}R_p$, is the rate of appearance of nonzero-momentum SCEs.  When dividing the `partial' rate $R_p$ by the total one $R$ we obtain a `one-particle' distribution function $F_p$ of nonzero excitons.
Value $F_p$ is time-independent and represents the final distribution function when only non-coherent excitations with nonzero momenta are present in the system. Our approach is suitable if the temperature is sufficiently low to ignore any phonon-absorption processes. In this case thermalization in the studied electron system should be a much longer process than the stochastization considered. It is interesting to compare the distribution function established due to stochastization to a thermodynamically equilibrium distribution corresponding to some temperature. The latter should be Boltzmann due to the assumed rarefaction of the exitonic gas. The time dependence of the coherent ensemble decay is parameterized by value ${\cal T}$ calculated for a specific GaAs/AlGaAs quantum well (see Fig. 1). The number of zero excitons decreases by half during time ${\cal T}\!/n(0)$ where $n(0)$ is the initial SCE concentration with respect to the density of magnetic flux quanta. A tenfold decrease takes time  $\approx\!10{\cal T}\!/n(0)$, therefore, for $n(0)\!\leqslant\!0.01$ it occurs during $\gtrsim\!1\,\mu$s.

Caculated function $F_p$ of SCEs emerging due to the stochastization process (the black line), and the thermodynamically equilibrium distribution functions $F_p^{(T)}$ at different temperatures. All graphs correspond to $B=4.18\,$T. 

Dickmann S., Kaysin B.D.
JETP Letters 114, issue 10 (2021)

In this work, an experimental scheme and results on direct detection of the normalized second-order correlation function g(2) of the optical-terahertz biphoton fields are demonstrated for the first time. Optical – terahertz biphotons, the quantum-correlated photon pairs consisting from one photon of optical frequency and one terahertz frequency photon, were generated via spontaneous parametric down conversion in a nonlinear crystal Mg:LiNbO3 pumped by nanosecond pulses of optical laser radiation. The terahertz part of the biphoton field was detected by an analog superconducting hot electron bolometer, the optical part was recorded using the single-photon avalanche photodiode or an analog photomultiplier tube.  The methods developed for investigation and quantitative measuring of the quantum correlation characteristics of the optical – terahertz biphotons will be of key importance in future applications of quantum optical technologies, such as quantum sensing, photometry, ghost imaging, in the terahertz frequency range.

The left figure shows the pump power dependences of the biphoton correlation function g(2). The values of g(2) were obtained with a specially proposed heralding method for discrimination of noise readings of the analog bolometer which were recorded simultaneously with the noise samples from the single-photon optical detector. The direct measuring results are in a good agreement with theoretical predictions on the quantum excess of g(2) over its classical level 1 for the multimode field. Another method of direct discrimination of the readings below some selected threshold values, applicable to readings of both analog optical and terahertz receivers, was tested at different threshold levels. The right figure demonstrates dependence of the effective correlation function geff, evaluated by this method, on the threshold signal and idler photocurrents. It is shown that application of this method makes it possible to register high effective levels of biphoton correlation due to attraction of additional contributions from correlation functions of higher orders.


Left: Pump power dependences of the normalized second-order biphoton correlation function g(2).
Right: Threshold signal and idler current dependences of the effective biphoton correlation function geff.

A.A. Leontyev, K.A. Kuznetsov, P.A. Prudkovskii, D.A. Safronenkov, G.Kh. Kitaeva
JETP Letters 114, isuue 11 (2021)

In some strongly correlated systems, the formation of exotic topological quantum states occurs. The compound Co3Sn2S2 provides a bright example of coexistence of a non-trivial topology (Weyl points, Fermi arcs and nodal rings in the electron spectrum near the Fermi surface) and half-metallic ferromagnetism in a quasi-two-dimensional system. These factors are important for non-usual phase transitions and anomalies of electronic properties, including giant anomalous Hall effect.

Lifshitz-type transitions with vanishing of quasiparticle poles can be viewed as quantum phase transitions with a topological change of the Fermi surface, but without symmetry breaking. In the phase with a gap, usual Fermi surface (determined by the poles of the electron Green's function) does not exist, but the topology can be preserved if we take into account the Luttinger contribution (determined by the zeros of the Green's function). Then the Luttinger theorem (the conservation of the volume enclosed by the Fermi surface) is still valid. Indeed, the Fermi surface is the singularity in the Green's function, which is characterized by topological invariant N1 and is topologically protected, being the vortex line in the frequency-momentum space [1]. For example, the Fermi surface becomes ghost (hidden) after the correlation-induced metal-insulator transition in the insulating (Mott) phase, and the fractionalization of electron states occurs, including spin-charge separation of electron into a neutral fermion (spinon) and charged boson (holon) [2]. A similar picture occurs in the situation of a half-metallic ferromagnet (where the gap at the Fermi level occurs for one spin projection), but for minority states with this spin projection only, the electron-magnon scattering being crucial for these states.

On the contrary, the transitions with disappearance of the Weyl points are essentially topological: topological invariants are changed. In the Weyl semimetal phase, the Weyl points have topological charges N3= +1 and – 1 and annihilate in the critical Dirac semimetal. Further on, in the normal paramagnetic state the topology owing to the Berry curvature in the electron spectrum vanishes. Thus the conservation law for the topological charge is fulfilled. A still more complicated situation occurs in the case of Chern insulators with a change of the Chern number [3].

Both with increasing temperature in Co3Sn2S2 and at hole doping in the Co3-xInxSn2S2 system, suppression of ferromagnetism is accompanied with decreasing the Berry curvature. In the paramagnetic strongly correlated phase the time-reversal symmetry is restored and the topological features disappear. A corresponding description can be given in terms of slave-fermion representation in the effective narrow-band Hubbard model.

1. G. E. Volovik, Phys. Usp. 61, 89 (2018).
       2. T. Senthil, Phys. Rev. B 78, 045109 (2008).
       3. V. Yu. Irkhin and Yu. N. Skryabin, J. Exp. Theor. Phys. 133, 116 (2021).

Irkhin V.Yu., Skryabin Yu.N.,
JETP Letters 114, issue 9 (2021)

Ultracold trapped ions remain one of the most rapid-growing platforms for quantum computation. Their strong Coulomb interaction, combined with the ability to precisely manipulate them using laser radiation, offer relatively fast and highly efficient implementations of elementary quantum procedures, such as entanglement, quantum state preparation and detection. One of these procedures, namely state detection, is considered in more detail in this letter with respect to the optical qubit in the 171Yb+ ion.

The laser system that is used for Doppler cooling of the ion can also be utilized for quantum state detection in an ion optical qubit due to state-dependent fluorescence. In the letter we develop a theoretical model of the detection process in this system and analytically derive the expression for the state detection fidelity as a function of atomic, as well as experimental parameters, such as detection time, laser intensities, photon collection efficiency, dark count rate and discriminator threshold. These parameters have then been numerically optimised so as to achieve the maximal fidelity value.

For the detection scheme considered in the letter, the optimal fidelity approaches a limit of 99.4% as the photon collection efficiency increases. This limit is independent of the experimental parameters and exists because of the transition process that takes place at the beginning of detection, which partially pumps the ion from one qubit state to another with the probability of 0.6%, correspondingly lowering the fidelity by that much.

The characteristic values of the photon collection efficiency, at which the fidelity is sufficiently close to the limit, does depend on experimental parameters, especially on the dark count rate, such that more efficient photon collection is required for higher dark count rates. However, for reasonable dark count levels the sufficient collection efficiency does not exceed 1 percent, which is easily achievable with modern optics.

 

Optimized infidelity as a function of the photon collection efficiency at different values of the noise parameter (proportional to the dark count rate). Dashed line denotes the 0.6% limit

 

N. Semenin, A. Borisenko, I. Zalivako, I. Semerikov, K. Khabarova, N. Kolachevsky
JETP Letters 114, issue 8 (2021)

 

It has been shown recently that radiation with orbital angular momentum (OAM) has advantages for quantum cryptography. Creation, manipulation and detection of OAM beams become an important task for researchers. Previously, the three-dimensional refractive elements or bulky systems consisting of many elements were used for this purpose. On the other hand, the possibility of effective manipulation over the basic properties of light such as polarization states, phase profile, and amplitude has been recently experimentally demonstrated by using ultrathin nanostructures – metasurfaces, which can replace bulky refractive optical components in many practical applications.
Figure.

Figure. 1 (a) The operational principle schematics of a resonant silicon metasurface for spatial separation of scalar beams with different OAM values; (b) phase profile of light beams at the system input (input beam) and corresponding images in the output plane (image plane).

In this work we numerically design and demonstrate a proof-of-concept polarisation insensitive metasurface implementing spacial separation of scalar light beams with different values of OAM. The proposed metasurface consists of 2D arrays of silicon nanodiscs, in which both electrical and magnetic dipole resonances can be excited in the nearinfrared spectral range. Due to the spectral overlap of these modes in the nanostructure it’s possible to create a phase profile with arbitrary shape while maintaining high transmittance. We obtain optimal parameters of the metasurface realising phase profile corresponding to Log-Pol conformal transformation and numerically demonstrate the OAM beams spacial sorting. We show feasibility for efficient OAM splitting that can be used for creation of new functional meta-devices for manipulation of optical beams with OAM.

A.D.Gartman, A.S.Ustinov, A.S.Shorokhov and A.A.Fedyanin

JETP Letters 114, issue 8 (2021)

 

 

One of the most effective methods of generating of  terahertz radiation is  based on the effect of optical rectification of the subpicosecond and femtosecond laser pulses in the crystals with quadratic optical nonlinearity. In this case, an optical photon decays in the nonlinear medium into two photons, one of which has a terahertz frequency. The Cherenkov’s condition of synchronism, under which this generation takes place, follows from the conservation laws of the energy and momentum for this elementary process and has the  following form: $\nu_g cos \theta = c/n_T $. Here $c $ is the speed of light in vacuum, $\nu_g $ is the group velocity of optical pulse at its carrier frequency, $n_T$ is the terahertz refractive index, $\theta $ is the angle between the propagation directions  of optical and terahertz signals. Note that the optical and terahertz pulses propagate in different directions under this condition. As a result, the efficiency of the generation weakens. To increase this efficiency, the technique of tilted fronts of optical signals is used in experiments. In such a case,  $\theta $ is the angle between the group and phase wave-fronts of optical pulse. Then, the terahertz signal is fed permanently by the energy of the optical pulse, and the efficiency of the generation is increased significantly.

The terahertz pulses generated by the optical method contain about one (or even half) period of electromagnetic oscillations, i.e. they have properties of extremely short (or unipolar) pulses. Therefore, the approximation of slowly varying envelopes, which is standard for the quasimonochromatic signals, is not applicable in theoretical studies of the interaction of these pulses with matter. At the same time, the optical pulse is quasimonochromatic. Therefore, this approximation is valid for it.  

In order to describe theoretically the process described above, we derive in this paper the new nonlinear equations for the envelope of the electric field of optical pulse and for the electric field of terahertz signal. We refer to these equations as the Yajima – Oikawa – Kadomtsev – Petviashvili (YOKP) system. This system contains optical-terahertz and purely terahertz quadratic nonlinearities, dispersion and diffraction of both components. Also, we found the solution of the YOKP system in the form of optical  $E_0$ and terahertz $E_s$ soliton-like pulses propagating in a bound mode (see figure). The angle $\theta $ between the phase and group wave-fronts of the optical soliton is determined in this case by the Cherenkov's condition. At the same time, purely terahertz unipolar soliton $E_T$, which is a solution of the Kadomtsev – Petviashvili equation, propagates in the direction of movement of the phase fronts of the optical pulse. The polarities of the terahertz components $E_s$ and $E_T$ are opposite. The relationship between the temporal durations and amplitudes of the terahertz components is found from the condition of equality of their "areas". It turns out that the soliton component $E_s$ should be much shorter and more intense than the component $E_T$ in a case of $LiNbO_3$ crystal.

Schematic representation of the propagation of optical-terahertz $E_0 + E_s$ and purely terahertz $E_T$ pulses under the angle $\theta $ between the phase and group velocities of the optical signal; the phase fronts and the terahertz soliton propagate along the $z$ axis, and the group fronts propagate along the $ z' = z~ cos \theta + x~ sin \theta $ axis.

The soliton mode of the generation described above is possible if the dispersion parameter of the group velocity of optical pulse is positive and exceeds the critical value determined by the angle $\theta $ of inclination. In this case, the nonlinear susceptibility of the second order corresponding to the carrier frequency of the optical pulse should be negative.

 

 

S. V. Sazonov and N. V. Ustinov
JETP Letters 114, issue 7 (2021)

 

Since the recent experimental discovery of anyonic statistics of quasiparticles in the 1/3 fractional quantum Hall effect regime, this system has been of exceptional interest. In this work we investigated the spectra of resonance reflection of light from a two-dimensional electronic system in the conditions of formation of Laughlin liquid in fractional state 1/3. It is shown that the main lines in the spectra of resonant reflection of light do not correspond to singularities in the two-particle density of states of the excited electron-hole system, but are associated with the birth and destruction of neutral excitations. Thus, the resonant reflection of light in fractional state 1/3 is an analogue of the Raman process with the creation and destruction of neutral excitations in transitional scattering states, while two-particle (excitonic) optical transitions are not observed experimentally. The suppression of two-particle optical transitions is presumably due to the incompressibility of the ground state of a two-dimensional electronic system.

A.S. Zhuravlev, L.V. Kulik, L.I. Musina, E.I. Belozerov, A.A. Zagitova, I.V. Kukushkin
JETP Letters 114, issue 7 (2021)


 

Experimental results on the coherent properties of a recently discovered new collective state, the magnetoexcitonic condensate, are summarized in the present letter. The condensation occurs in a fermionic system, a quantum Hall insulator (filling factor $\nu  = 2$), as a result of the formation of a dense ensemble of long-lived (experimentally measured lifetimes achieve ~1 ms) triplet cyclotron magnetoexcitons (TCMEs), composite bosons with spin S = 1. The magnetoexcitons are formed by an electron vacancy (Fermi hole) at a completely filled zero electron Landau level and an excited electron at an empty first Landau level. At temperatures T < 1 K and TCME concentrations nex ∼ (1-10)% of the density of magnetic flux quanta a transition occurs to a qualitatively new phase. The condensate shows a sharp decrease in viscosity and the ability to spread over macroscopically large distances, on the order of a millimeter, at a speed of ~103 cm/s. This work is devoted to the study by interferometric methods of the degree of spatial coherence in the magnetoexcitonic condensate.

 

The main method for detecting TCMEs is photoinduced resonant reflection of light. This method finds photoexcited Fermi holes that are part of cyclotron magnetoexcitons (TCMEs themselves are “dark” quasiparticles that do not interact in the dipole approximation with an electromagnetic field). The figure shows the profile of interference fringes (red) in Michelson interferometer with a mirror in one arm, and a right angle prism in the other, which are observed in the light resonantly reflected from magnetoexcitonic condensate. Here, the envelope of fringes profile is nothing more than a first-order correlator g(1) as a function of distance $\delta $. The blue line is the theoretical curve (instrumental function) that best describes the central peak corresponding to thermally excited non-condensed TCMEs. The black curve is the result of adding with weights of 0.8 and 0.2, respectively, of the instrumental function and its convolution with $exp (−|\delta|/\xi )~ at~ \xi = 10 \mu m.$

 

A.V. Gorbunov, A.V. Larionov, L.V. Kulik, V.B. Timofeev
JETP Letters 114, issue 7 (2021)

Identification of solid-like clusters is  important problem of condensed matter physics. Here, we use the bond orientational order parameters (BOOP), introduced by P. Steinhardt to characterize   the arrangement of neighboring particles with respect to central one. Set of rotational invariants (RI) being calculated via BOOP method for each atom describes the fine details of the local orientational order of the system of atoms. We propose a new method to identify distorted solid-like clusters, including difficult-to-determine bcc-like clusters. Within the method we calculate the rotational invariants of second (q4, q6) and third (w4, w6) orders by using a fixed number of nearest neighbors (NN) which is typical for close packed structures: NN = 12. In that case ideal bcc lattice gives two sets of RIs only, which are well separated from another close packed structures (fcc, hcp, ico). Using 2D distributions of RIs (shown in Figure) the most important solid-like clusters (even being strongly distorted) can be easily identified.  

Distribution of distorted atoms of different symmetry (fcc, hcp, bcc, ico) on the plane of  rotational invariants (q4-q6) and (w4-w6). The distributions were calculated via fixed number of nearest neighbors (NN), which corresponds to close packed (NN = 12) structures. In that case ideal bcc lattice degenerates into two sets of rotational invariants only which are; this method  provides easy way to identify any type of symmetry of distorted solid-like clusters.  

                                                                                                                            B.A. Klumov
                                                                                                              JETP Letters 114, issue 7 (2021)

 

Anderson localization is observed in a highly disordered two-dimensional (2D) electron-hole system in a HgTe-based quantum well, the behavior of which is significantly different from that observed in widely studied two-dimensional one-component electron and hole systems. It was found that a two-stage localization occurs in the system: the two-dimensional holes are localized first, as particles with an effective mass almost an order of magnitude greater than that of electrons. Then the electrons are localized. It was also found that there is no metal-insulator transition in the system under study: even at values of conductivity σ > e2/h, a dielectric temperature dependence is observed. At electron densities (Ns) exceeding those of holes (Ps), when the transport is determined by electrons, localization behavior is not described by one-parameter scaling despite the smallness of the interaction parameter (rs < 1). Probably it is necessary to take into account the electron-hole and the hole-hole interaction, as well as the spin-orbit interaction to get the right description of the Anderson localization in the electron-hole system. Obviously, further experimental and theoretical research of the discovered phenomenon will be of interest.

 

Figure. (a) - Resistivity gate voltage dependences at different temperatures, (b) - Resistivity temperature dependences at Ns > Ps , (c) - Resistivity temperature dependences at Ps > Ns , (d) -

Z.D.Kvon, E.B.Olshanetsky
JETP Letters 114, issue 6 (2021).

Simulation of quantum systemson a quantum computer using the Zalka-Wiesner method with allowance for quantum noise is considered. The efficiency of the developed methods and algorithms is demonstrated by the example of solving the nonstationary Schrödinger equation for a particle in the Pöschl–Teller potential. The developed analytical theory of the effect of quantum noise on the simulation accuracy is compared with the results of numerical calculations by the Monte-Carlo method. The forecast of the accuracy of the solution of the Schrödinger equation for a multibody electron system is carried out depending on the number of electrons and for various noise levels.

To estimate the accuracy of the Zalka-Wiesner algorithm we analyze the accuracy of the gates included in the QFT circuit. Based on these values, we obtain an estimate of the QFT algorithm accuracy, which can be easily extended to the case of the Zalka-Wiesner algorithm. The main advantage of this approach is the ability to evaluate quantum circuits with an extremely large number of qubits.

The figure shows the level of influence of quantum noise on the Schrödinger equation solution accuracy obtained on a quantum computer. The quantum state evolution of a 9 qubits register was considered over a time interval  $0\leq t \leq1 $ with a time step  $\Delta t= 0.05$ at a noise amplitude level $e = 0.01$.

Illustration of the density distribution evolution in the coordinate representation. Initial state – dashed line, final state at $t = 1$ - solid line, noisy Zalka-Wiesner solution is represented by a set of points.

Yu. I. Bogdanov, N.A. Bogdanova, D.V. Fastovets, V.F. Lukichev
JETP Letters 114, issue 6 (2021)

13C is usually recognized a good example of a "normal" nucleus well described by the shell model. Its level scheme is reliably determined up to the excitation energies 10 MeV. However, some new ideas and results renewed interest in 13C. The most ambitious among them is hypothesis about possible existence of 𝛼-particle Bose-Einstein condensation (𝛼BEC). Some features of the condensate structure were predicted and observed in the second 0+, 7.65 MeV state of 12C (so called Hoyle state). It was also suggested that the structures analogous to the Hoyle state may exist in neighbor nuclei 13C. Recently a hypothesis was put forward about a new type of symmetry in the 13C - 𝐷′3h symmetry. On the basis of this symmetry, the rotational nature of a whole group of low-lying 13C states was predicted. If this hypothesis is confirmed, our understanding about the 13C structure will radically change.

To solve these questions our group has made experiments on scattering of 𝛼-particles on 13C at (𝛼) = 65 MeV and 90 MeV. New experimental data was got for the 1/23, 11.08 MeV state. Obtained data was analyzed using Modified diffraction model (MDM), developed by our group. rms radius of this state within errors coincides with the radius of the 1/22 8.86 MeV state in 13C and the Hoyle state in 12C (see Fig.). This result is an argument for close cluster structure of these states.

 

1

Previously our MDM analysis showed that 3/2, 9.90 MeV in 13C is compact and has decreased by 10% rms radius. This unusual result we tested via consideration of its isobar-analog state (IAS) in 13N – 3/2, 9.48 MeV state. We found that this state has normal non-increased radius. Also we clarified our previous result for the rms radius of the 9.90 MeV state and obtained that within the error limits, the value of the radius obtained for the 9.90 MeV in 13C coincides with the radius of the 9.48 MeV in 13N. Obtained normal radius for the 3/2, 9.90 MeV destroyed one of the rotational bands predicted by 𝐷′3h symmetry in 13C.

Demyanova A.S., Danilov A.N., Dmitriev S.V., Ogloblin A.A., Starastsin V.I., Goncharov S.A., Janseitov D.
JETP Letters 114, issue 6 (2021)

During the last several decades the study of lowdimensional electron systems became one of the main and actively developing research areas in condensed matter physics. Such interest was caused by, on the one hand, the possibility to study new fascinating physical phenomena, and the opportunity for technological applications, on the other hand. Continuous progress in fabrication of 2D structures, quantum wires and quantum dots helped to create new unique systems for investigation and had enormous impact on development of planar semiconductor devices. In that case, study of transport properties of a 2DEG became extremely important.

Such investigation revealed an intriguing effect of giant oscillations of longitudinal magnetoresistance in a 2DEG with sufficiently high mobility in the presence of weak magnetic field and illuminated by microwave radiation, named MIRO [1, 2], and led to the discovery of the zero-resistance states (ZRS). Observed phenomena created a new branch of non-equilibrium physics and demonstrated how combination of weak microwave radiation and weak Landau quantization could drastically change transport properties of a 2DEG.

Despite the fact that MIRO has been actively studied for more than twenty years, the physical understanding of its origin is still a subject of wide discussion. Two mechanisms which consider the bulk origin of the phenomenon, did not explain a number of experimental results. These contradictions led to the creation of alternative theories that associate the causes of MIRO with the influence of edges and near-contact area. As a result, an experimental study of the contribution of these regions to microwave-induced magnetoresistance oscillations is of great interest.

Present work is devoted to the contactless measurements of microwave-induced oscillations of high-frequency conductivity in the relatively new 2DES - ZnO/MgZnO heterojunction. Experimental technique was based on the analysis of a transmission signal between two T-shaped antennas, capacitively coupled to a 2DES (Fig. 1(a)). Absence of Ohmic contacts or deposited metallization on the sample surface allows to eliminate the influence of near-contact regions on MIRO and testing how universal are the properties of MIRO obtained earlier on a completely different material system such as ZnO/MgZnO heterojunction (Fig. 1(b)). Such measurements provide additional information for understanding the nature of the MIRO origin.

Fig. 1. (a) Schematic drawing of the experimental setup. (b) Typical dependencies of the variation of the output voltage on the magnetic field B induced by an exciting microwave radiation f = 64; 74 and 84 GHz. The voltage variation $\delta V$ was normalized by the voltage value at zero magnetic field $V_0$. The positions of the first oscillations are indicated. The sample temperature was equal T = 1:5 K.

[1] M. A. Zudov, R. R. Du, J. A. Simmons, and J. L. Reno, Phys. Rev. B 64, 201311(R) (2001).
  [2] P. D. Ye, L. W. Engel, D. C. Tsui, J. A. Simmons, J. R. Wendt, G. A. Vawter, and J. L. Reno, Appl. Phys. Lett. 79, 2193 (2001).

It is well known that in parametric down-conversion in a nonlinear crystal, the pump photon decays into two photons with lower frequencies. Such photon pairs form quantum biphoton states, which have long been used in quantum optics and information, absolute calibration of radiation brightness, and nonlinear interferometry. Usually the frequencies of both photons are in the visible or near-IR range. However, if the frequency of one of the photons is very close to the pump frequency, then the frequency of the second one is several orders of magnitude lower and may lie in the terahertz range. The possibility of generating terahertz radiation using parametric down-conversion has been studied for more than ten years, but optical-terahertz biphoton states have not yet been registered.

One of the difficulties in studying the optical-terahertz biphoton field is the large wavelength of the terahertz photon, comparable to the width of the pump beam. This leads to a complex structure of spatial modes of biphoton radiation. In this paper, it is shown that the nonlinear interaction operator describing the production of optical-terahertz biphotons can be diagonalized in the space of azimuthal angles. As a result, it is possible to obtain the azimuthal eigenmodes of the scattered radiation, shown in the figure. In the basis of these eigenmodes, it is easy to obtain a scattering matrix that describes any correlation properties of optical-terahertz biphoton radiation at arbitrary values of the parametric gain.

The obtained scattering matrix was used to calculate the correlation function of the intensities of the optical and terahertz scattered radiation and the dispersion of the difference in the numbers of optical and terahertz photons depending on the angular apertures of the photodetectors used in the experiment. The obtained results allow us to clarify the conditions under which it is possible to register the non-classical properties of optical-terahertz biphoton fields.

 

An example of the structure of azimuthal eigenmodes of optical-terahertz biphoton radiation (at a terahertz radiation frequency of 0.5 THz).

P.A.Prudkovskii
JETP Letters 114, issue 4 (2021)

 

 

A stable solitary wave is commonly called a soliton in physics. Solitons are classified according to various criteria. Distinguish between conservative and dissipative solitons. Conservative solitons are formed in the media where the irreversible energy losses can be neglected. In these cases, the solitons save the information about conditions at the input to the medium. Therefore, they have the continuous free parameters. The specific values of these parameters are depending on the input conditions. For example, the amplitude and the velocity of propagation of a soliton continuously depend on its temporal duration, which can be chosen as a free parameter. Besides, after passing of the conservative soliton the medium returns always to its initial state. In nonequilibrium media with irreversible losses and a source of energy, dissipative solitons can form. Such solitons do not have a continuous free parameter: their amplitude, velocity and duration cannot be arbitrary. These characteristics are dependent on the parameters of a medium. This property can be explained by the fact that in media with dissipation, the information about the input conditions will not be preserved.

One of the trends in the development of modern nonlinear optics and laser physics is the creation in laboratory conditions of light pulses of ever shorter durations. By now, pulses have been created that contain about half of the electromagnetic oscillations. Such objects are called as unipolar impulses.

 In this work, the possibility of the formation of unipolar salt-like structures of an electromagnetic nature in a nonequilibrium medium has been investigated. This medium is formed by two-level atoms embedded in a homogeneous matrix. In this case, the two-level atoms and the matrix are not in a state of thermodynamic equilibrium with respect to each other.

The temporal duration  $\tau_p$ of unipolar pulses is longer than the decay time  $T_2$ of the di-pole moments of molecules, but shorter than the relaxation time $ T_1$  of the populations of sta-tionary quantum states. It is shown that, in this case, localized unipolar objects characterized by an electric field $E $ (Fig. (a)) possess the properties of both conservative and dissipative soli-tons.
Like the conservative solitons, these structures have a continuous free parameter $\tau_p$ . Hence, the memory of the input conditions is remain. In particular, the pulse amplitude is inverselyproportional to the parameter $\tau_p$. At the same time, after the passage of the soliton, the
medium passes from the initial nonequilibrium state to another metastable (also nonequilibrium) state with a lifetime $ T_1$ (see Figs. (b) and (c)). Therefore, the observation time $\Delta t $ of such solitons lies in the interval  $T_2 \ll \Delta t \ll T_1$  . This can be possible in solids, where $T_2 / T_1 \sim 10^{-2} - 10^{-5}$.
At an inverse initial population of the states of two-level atoms ($W > 0$ ), the population difference $W$ decreases as the soliton-like pulse propagates (Fig. (b)). If the initial population of quantum states is not inverse ($W < 0$ ) and the matrix temperature is higher than the temperature of two-level atoms, then the propagation of the soliton is accompanied by an increase of the population difference $W$ (Fig. (c)). In both cases, after the passage of the soliton, the new metastable state of the medium becomes closer to the equilibrium state.

 

(a) The profile $E(\zeta)$  of the electric field of a soliton-like pulse,  $E(\zeta) t-z/ \nu , t $ is the time, $z$ is the propagation distance, $\nu$  is the velocity of the pulse; the amplitude of a signal $E_m \sim 1/\tau_p$ .
(b) The profile $W(\zeta)$ of the difference between the populations of states of two-level atoms with an inverted initial population; the velocity of the soliton decreases with a continuous shortening of its duration $\tau_p$ .
(c) The profile $W(\zeta)$ of the difference between the populations of states of two-level atoms at a non-inverted initial population; the velocity of the soliton increases with a continuous shortening of its duration $\tau_p$ .
 
S.V.Sazonov
JETP Letters 114, issue 3 (2021)
 

We have recently shown that the use of micropillar resonators, which comprise a cylindrical semiconductor cavity sandwiched between the Bragg mirrors can substantially increase the quality factor preserving the mode volume, and thus substantially enhance the local fields [Optics Letters Vol. 45, 1, 181-183 (2020)]. Here, we show that these structures can facilitate the significant enhancement of the second harmonic generation efficiency. We provide a specific design of the AlGaAs/GaAs pillar microcavity and use the numerical modelling to directly show the resonant enhancement of the SHG efficiency in so-called quasi-BIC (bound states in the continuum) regime. In this regime the quality factor of the first harmonic drastically increases due to the destructive interference of two low-quality modes of cavity. Q-BIC regime appears at specific geometric parameters of cavity that results in approximately two orders gain in second harmonic generation efficiency. 

 

Kolodny S.A., Kozin V.K., Iorsh I.V.
JETP Letters 114, issue 3 (2021) 

Chains of ultracold ions trapped with varying electric fields are one of the most promising platforms for quantum computations, which is being actively studied at the moment. It features long coherence time, well-developed and high-fidelity techniques for quantum state initialization and readout as well as a strong Coulomb interaction between particles, which allows to efficiently entangle them. One of the approaches to this platform further development is a search for more suitable ion species or new ways of encoding quantum information in their electronic structure.

In this letter, we experimentally investigate quantum information encoding in an optical quadrupole transition in 171Yb+ ion, which is already widely used for quantum computations but with microwave qubit encoding. Optical qubits are easier to individually address with laser beams than microwave ones as there is no need for bichromatic laser emission from different directions and only one beam is sufficient. Initialization and readout of optical qubits are also usually more accurate. These properties may help to overcome one of the major issues with ion quantum computers – scalability problems. On the other hand, optical qubits suffer from shorter coherence times.

We compare proposed optical qubit with microwave qubit in 171Yb+ ion as well as with the most widespread at the moment optical qubit in 40Ca+. We also experimentally demonstrate and characterize fidelity of a single-qubit Pauli-X operation and fidelities of our preparation and detection schemes.

Level scheme of 171Yb+ ion, showing both microwave qubit in the ion as well as proposed optical qubit. States proposed to use for qubit encoding are shown as |0> and |1>.

 

 

The microwave photoconductance of a short (100 nm) constriction (QPC) in a two-dimensional electron gas under its irradiation at a frequency of (2-3) GHz has been studied for the first time. The experiment and conductance calculations showed a giant QPC photoconductance in the tunnel mode and negative photoconductance in the open mode. According to the developed model, this behavior results from  co-phase harmonic electric field additions to the gate voltage Vg and to the measuring voltage applied to QPC, determined by the frequency and power P of the microwave source. The voltage dependences of conductance G(Vg) at 4.2 K don’t show a pronounced quantization in units of G0 = 2e2/h due to the small constriction length, but exhibit anomalous bending at (0.7–0.5)G0. The microwave replicas of these anomalies were found in the form of peak-dip features at the lower step of photo-transconductance. The basic behavior of G(Vg)  remains qualitatively the same at 77 K; this result opens possibility of development of a new kind of microwave detectors.

((a, b) The measured gate characteristics of conductance G(Vg)/G0 and transconductance dG(Vg)/G0dVg at = 4.2 K for  various microwave power P/P0 at 2.4 GHz frequency (G – conductance, Vg – gate voltage, G0 =2e2/h) in the transition of a short QPC with split gate from the tunnel to the open mode. Line type and color in each panel with a common scale in Vg and on insert to (a) correspond to the indicated P/P0.

V.A. Tkachenko, A.S. Yaroshevich, Z.D. Kvon, O.A. Tkachenko, E.E. Rodyakina, A.V. Latyshev
JETP Letters 114, issue 2 (2021).

 

 

 

In a series of numerical experiments, within the framework of the incompressible 3D Euler equations, we have studied evolution of the high vorticity regions, which arise during the onset of developed hydrodynamic turbulence. These regions represent compressing pancake-like structures (thin vortex sheets), which can be described locally by a new exact self-similar solution of the Euler equations combining a shear flow with an asymmetric straining flow. The vorticity maximum on the pancake ωmax increases exponentially with time, while its thickness l1 exponentially decreases, with the Kolmogorov-type scaling relation between the two,

 

ωmax ∞  l1-2/3.


This law is confirmed numerically for most of the pancakes, and is also supported by analytical arguments in terms of the so-called vortex line representation.
The exponential growth of the vorticity maximum together with the exponential decrease of the pancake thickness would seem to indicate a double exponential amplification of the pancake perturbations relative to the Kelvin-Helmholtz (KH) instability. However, in our numerical experiments we have not observed this type of instability.
In the present paper, we provide several arguments to explain this fact. In particular, we show that the KH instability is suppressed by the self-similar shear flow of the pancake, which leads to reduction of the tangential velocity jump ΔV ∞ l11/3 with the pancake thickness. Additionally, we demonstrate that vortex pancakes have an internal fine structure consisting of three vortex layers (see the figure), which may also prevent development of the KH instability.

Normalized second component of the vorticity ω2max as a function of x1/l1 at different times, demonstrating the three-layer internal structure of the pancake.

 

 

D.S. Agafontsev, E.A. Kuznetsov, A.A. Mailybaev
JETP Letters 114, issue 2 (2021)


 

According to the measurements of the electric component of the electromagnetic field in the frequency range 2 kHz - 10 MHz recorded by the Japanese ERG satellite, two generation regions of radiation  are defined: the  kilometric “continuum” radiation type and new hectometer “continuum” radiation type. It is shown that the kilometric “continuum” radiation is observed mainly on the dayside of the magnetosphere, its source is located near to the plane of the geomagnetic equator, and the source size does not exceed ± (0.1–0.3Re) across this plane, where Re is the Earth's radius. The hectometer radiation mainly observed in the nightside of the magnetosphere has two sources. One of them is located near to the plasmasphere and could be far from the plane of the geomagnetic equator up to 3Re. The second source is located near to the Earth at distances not exceeding 2Re. It was shown earlier that "continuum" radiation was observed on all planets with a magnetic fields. The high stability of the “continuum” radiation indicates the possibility of its use as a second marker of exoplanets with a magnetic field. The first marker is the Auroral Kilometric Radiation (AKR), which is characterized by high amplitude but relatively short lifetime. The “continuum” radiation is weaker than the AKR by 3 - 5 orders, but high stability of the “continuum” radiation makes it possible to carry out a long-term accumulation of the signal and thus second marker could be formed. The presence of two markers will increase the reliability of detecting exoplanets with a magnetic field by 8 times.

The figure shows the change in the polarization of hectometer radio emission when the satellite crosses the radiation source. The upper panel is a dynamic spectrogram of the electric field component amplitude (in logarithmic scale) and the lower panel is a spectrogram of the polarization coefficient (in linear scale).

Mogilevsky M.M. et al.
JETP Letters 114, issue 1 (2021)

 

 

The three-particle multichannel Coulomb scattering problem is an important milestone of the multichannel quantum scattering theory. Being in principle numerically solvable on modern computers without any approximations it would allow one to observe and check the concepts and effects of multichannel scattering of charged particles with applications in atomic, molecular and nuclear physics. However, there is still a number of theoretical issues to overcome in order to mark the problem as “solved”.

          Moving along this path, we treat the three-particle multichannel Coulomb scattering problem with rearrangement channels by the potential splitting approach incorporated into the framework of differential Faddeev-Merkuriev (FM) equations. These equations have been designed to treat uniformly the elastic, excitations and rearrangement processes. We have developed a highly efficient theoretical and computational approach based on solving the FM equations which in total orbital momentum representation are reduced to a finite set of three-dimensional partial differential equations.

          In this letter, we outline our approach and apply it to calculations of the antihydrogen formation cross section for antiproton scattering off the ground and excited states of the positronium. This reaction is of utmost importance for the AEgIS and GBAR experiments on antimatter based on the use of the Antiproton Decelerator facility that are planned and performed at CERN. Using moderate computational resources we have achieved a supreme energy resolution of both total and partial cross sections that allows us to obtain with high quality such cross section peculiarities as Feshbach resonances.

The P-wave partial cross sections for formation of the antihydrogen in the ground state (blue) and the first excited state (red) in the process of antiproton scattering off the ground state of the positronium. Vertical dashed lines mark positions of resonances obtained with good accuracy in independent calculations.

V. A. Gradusov, V. A. Roudnev, E. A. Yarevsky, S. L. Yakovlev
JETP Letters 114, issue 1 (2021)

 

In quasi-one-dimensional systems (e.g., carbon nanotubes or 2D semiconductor nanoconstrictions with gates) with low concentration of impurities the quantization of transverse electronic motion is essential, and the conductivity shows Van Hove singularities when the Fermi level $E$ approaches a bottom of some transverse subband $E_N$ (see Figure 1). In experiment the observed Van Hove singularities may have  quite complex
structure, which is often attributed to Fano resonances.
 
In the present work we study the resistivity $\rho$ of a conducting tube with short-ranged scatterers placed on its surface, in the immediate vicinity of Van Hove singularity. The non-Born effects lead to quantum suppression of scattering. This suppression effect is, however, destroyed when two scatterers approach each other. As a result, $\rho$ is dominated by scattering at rare "twin'' pairs of close defects, while scattering at solitary impurities and multi-impurity complexes is suppressed. The predicted effect is characteristic for multi-channel quasi-one-dimensional system, it can not be observed in strictly one-dimensional one. 
A tube with two point-like impurities on its surface. b) Spectrum of electron versus longitudinal momentum $k$ in the case of ideal tube. Subbands of transversal quantization (enumerated by $m$) and Fermi level position $E$ are shown.
 
Ioselevich A.S. and Peshcherenko N.S.
JETP Letters 114, issue 1 (2021)
 

After seven years of construction of the Nuclotron-based Ion Collider fAcility (NICA) at the JINR in Dubna, Russia, the first in the chain of three proton synchrotrons – the Booster - has   its beam! We present in our paper the first run of the commissioning of the Booster. The single-charged helium ions were injected into the Booster at energy 3.2MeV/nucleon and a stable ion circulation was obtained.
In this letter we describe vacuum conditions  in the Booster and present results of  measurements of the lifetime for a beam of single-charged helium ions at the injection energy, and a demonstration of ion acceleration up to an energy of 100 MeV/nucleon.

 


The figures show the time variation of the beam intensity (fast current transformer signals, red curves) and dipole magnetic field (green curves) at injection energy (upper figure) and at acceleration   to an energy of 100 MeV/nucleon, followed by deceleration.

 

The measured value of the beam lifetime τexp = (1.32 ± 0.06) s is comparable with the theoretical calculation τtheor = (1.74 ± 0.50) s, obtained using original computer  with heavy ions. The NICA complex will allow to study of the nuclear matter properties in the energy region of maximum baryonic density in collision heavy gold ions at energies corresponding to the deconfinement phase transition (4.5 GeV/nucleon). The main experiment at NICA will access the transition of the quark-gluon plasma into hadrons.
The achievement of first beam at Booster is very important step in the NICA project realization.

A. V. Butenko, A. R. Galimov, I. N. Meshkov, E. M. Syresin, I. Yu. Tolstikhina, A. V. Tuzikov, A. V. Philippov, H. G. Khodzhibagiyan, V. P. Shevelko
JETP Letters 113, issue12 (2021)

 

 
 
The interest to high energy processes near black holes increased significantly after the work \cite{ban}. It was shown there that if two particles move towards the Kerr extremal black hole and collide in its vicinity, the energy $E_{c.m.}$ in their center of mass frame can become unbounded, provided one of two particle (called critical) has fine-tuned parameters. This is called the  Bañados-Silk-West (BSW) effect. The close analogy of this effect exists also for extremal charged static black holes [2]. However, as far as the Killing energy $E$ of debris detected at infinity is concerned, the situation differs radically for two aforementioned cases. For rotating black holes, the energy $E$ of an escaping particle at infinity is bounded [3-5]. Meanwhile, there is no such a bound for the extremal Reissner-Nordstrom (RN) black hole. This was obtained in [6] and later confirmed in  [7]. The process with unbounded $E$ at infinity is called the super-Penrose process (SPP).
 
As far as nonextremal black holes is concerned, two problems existed here. First, it was wide-spread belief that extremality is a necessary condition for the BSW effect, so deviation from extremality weakens the effect [8, 9]. However, it was shown in [10] that if instead of one particle being exactly critical, a near-critical particle is used, and deviation from the critical state is adjusted to the proximity of the point of collision to the horizon in a special way, the effect survives. Moreover, one can add a force acting on particles and this is consistent with the BSW effect [11]. Second, it was unclear how to realize the BSW effect physically. The most relevant situation corresponds to particles falling from infinity. However, for rotating black holes, the centrifugal barrier prevents the critical particle from reaching the nonextremal horizon [10] (see also case 2i in [12], Sec.2 of [13] and [14]). This can be repaired, provided additional constraints are imposed on the scenario, because of which the turning point is situated closely to the horizon [15].
 
However, there is an interesting question that, to the best of our knowledge, was not posed up to now: whether or not the SPP is possible for nonextremal black holes. It is considered in the present work. We show that this is indeed possible. In this sense, there is a sharp contrast between extremal and nonextremal black holes. One can think that this observation may be useful for astrophysically relevant black holes since they are nonextremal. It possesses some universal features in what any particles moving in the background of a nonextremal black hole (even in the Schwarzschild metric) and experiencing the action of some force can exhibit this effect.
 
[1] M. Bañados, J. Silk and S.M. West, Kerr black holes as particle accelerators to arbitrarily high energy, Phys. Rev. Lett. 103 (2009) 111102 [arXiv:0909.0169].
[2] O. B. Zaslavskii, Acceleration of particles by nonrotating charged black holes. Pis'ma v ZhETF 92, 635 (2010) (JETP Letters 92, 571 (2010)), [arXiv:1007.4598].
[3] M. Bejger, T. Piran, M. Abramowicz, and F. Håkanson, Collisional Penrose process near the horizon of extreme Kerr black holes, Phys. Rev. Lett. 109 (2012) 121101 [arXiv:1205.4350].
[4] T. Harada, H. Nemoto and U. Miyamoto, Upper limits of particle emission from high-energy collision and reaction near a maximally rotating Kerr black hole, Phys. Rev. D 86 (2012)
024027 [Erratum ibid. D 86 (2012) 069902] [arXiv:1205.7088].
[5] O. B. Zaslavskii, On energetics of particle collisions near black holes: BSW e¤ect versus Penrose process, Phys. Rev. D 86 (2012) 084030 [arXiv:1205.4410].
[6] O. B. Zaslavskii, Energy extraction from extremal charged black holes due to the BSW effect. Phys. Rev. D 86, 124039 (2012) [arXiv:1207.5209].
[7] H. Nemoto, U. Miyamoto, T. Harada, and T. Kokubu, Escape of superheavy and highly energetic particles produced by particle collisions near maximally charged black holes, Phys. Rev. D 87, 127502 (2013) [arXiv:1212.6701].
[8] E. Berti, V. Cardoso, L. Gualtieri, F. Pretorius, U. Sperhake, Comment on "Kerr black holes as particle accelerators to arbitrarily high energy", Phys. Rev.Lett. 103, 239001 (2009), [arXiv:0911.2243].
[9] T. Jacobson, T.P. Sotiriou, Spinning black holes as particle accelerators, Phys. Rev. Lett. 104, 021101 (2010) [arXiv:0911.3363].
[10] A. A. Grib and Yu. V. Pavlov, On particles collisions in the vicinity of rotating black holes, Pis'ma v ZhETF 92, 147 (2010) [JETP Letters 92, 125 (2010)].
[11] I. V. Tanatarov, O. B. Zaslavskii, Bañados-Silk-West e¤ect with nongeodesic particles: Nonex-tremal horizons, Phys. Rev. D 90, 067502 (2014), [arXiv:1407.7463].
[12] O. B. Zaslavskii, Acceleration of particles as universal property of rotating black holes, Phys. Rev. D 82 (2010) 083004 [arXiv:1007.3678]
[13] S. Gao and C. Zhong. Non-extremal Kerr black holes as particle accelerators, Phys.Rev. D 84, 044006 (2011) [arXiv:1106.2852].
[14] S. Krasnikov and M. V. Skvortsova, Is the Kerr black hole a super accelerator?, Phys. Rev. D 97, 044019 (2018) [arXiv:1711.11099].
[15] O. B. Zaslavskii, Can a nonextremal black hole be a particle accelerator? Phys. Rev. D 102, 104004 (2020) [ arXiv:2007.09413].
[16] O. B. Zaslavskii, Schwarzschild black hole as accelerator of accelerated particles, JETP Letters 111, 260 (2020), [arXiv:1910.04068].
O. B. Zaslavskii
JETP Letters 113, issue 12 (2021)

 

Light bullet is a wave packet extremely compressed both in space and in time. It occurs during the filamentation of a femtosecond radiation under condition of anomalous group velocity dispersion in transparent dielectrics. The estimation of its duration according to measurements by different methods is ambiguous and depends on the diameter of the aperture used in the experiment.

In this letter one introduced absolute parameters of a light bullet, determined by the spatio-temporal distribution of electric field strength in the area of localization of a strong light field. Introduced parameters are independent of the spatio-temporal deformations of a wave packet, its spectrum transformation during nonlinear optical interaction with the medium, and are not linked with the size of an aperture.

For the considered mid-IR radiation the increase in the carrier wavelength λ0 leads to the monotonous increase in the radius of a light bullet from 1.2λ0 to 3.3λ0, the duration does not change and is equal to 1.8 periods of optical oscillation. Obtained estimations of light bullet parameters one can consider as a lower limit of experimental measurements. The developed approach to determining the parameters of optical radiation on the basis of spatio-temporal distribution of the electrics field strength generalizes the characteristics of a quasi-monochromatic wave packets to light bullets, the radius and duration of which are close to the wavelength and the period of the light field, respectively.

 

Spatio-temporal distribution of electric field strength in the light bullet during filamentation in LiF of a femtosecond pulse at the wavelength of 3100nm.

E.D. Zaloznaya, A.E. Dormidonov, V.O. Kompanets, S.V. Chekalin, V.P. Kandidov

JETP Letters 113, issue 12 (2021)

 

The efficiency of practically used quantum electronic  interferometers is limited by rather stringent requirements, for example, very low temperature for interferometers based on superconducting SQUIDs or the requirement of very strong magnetic fields for interferometers based on the edge states of Quantum Hall Effect systems.

         A promising opportunity for a technological breakthrough in this direction is associated with the discovery of topological insulators, which are materials insulating in the bulk, but exhibiting conducting one-dimensional helical channels at the surface or at the boundaries. The electron transport via helical edge states is ideal, in the sense that electrons do not experience backscattering from conventional non-magnetic  impurities.

         We review recent studies of the spin-dependent tunneling transport via Aharonov-Bohm interferometer (ABI) formed by helical edge states. We focus on the experimentally relevant case of relatively high temperature, T,  as compared to level spacing, Δ. The tunneling conductance of helical ABI is structureless in ballistic case but shows sharp  periodic antiresonances  as a function of  magnetic flux - with the period of one half flux quantum - in  the presence of  magnetic impurities.   

         The helical ABI with magnetic impurity may serve as an effective spin polarizer. The finite polarization appears even in the fully classical regime and is therefore robust to dephasing. There is also a quantum contribution to the polarization, which shows sharp identical resonances as a function of  magnetic flux  with  the same period as conductance. This polarization  survives at relatively high temperature.  The interferometer can be described in terms of ensemble of T/Δ  flux-tunable  qubits giving equal contributions to conductance and spin polarization.   With increasing the temperature number of active qubits participating in the charge and spin transport increases. These features of tunneling helical ABI open a wide avenue for applications in the area of quantum computing.

Strong magnetic  impurity blocks transmission of one component of the electron spin. For open setup this leads to 100 % polarization. Polarization reverses sign, when strong impurity is moved from upper to lower shoulder.

Niyazov R.A., Aristov D.N., Kachorovskii V.Yu.
JETP Letters 113, issue 11 (2021)

 

 

 In condensed matter the states with negative temperature have been experimentally studied in detail, and even the magnetic phase transitions occurring at negative temperature have been detected. The equilibrium thermodynamics at negative temperature is, however,  not possible, because the environment has positive temperature. The heat will be transferred from the negative temperature system to the environment, and the whole system will relax to the conventional state with positive temperature.

The negative temperature states are possible for the quantum vacuum in the relativistic quantum field theories. The Universe with negative temperature is obtained using the Dirac picture of the quantum vacuum. The conventional Dirac vacuum represents an infinite sea of particles with negative energy (left figure). In the vacuum on the right figure all the positive energy states are occupied and the negative energy states are empty. This vacuum with inverse population can be obtained by the PT symmetry operation, where P and T are space and time reversal transformations correspondingly. Due to the symmetry between the vacua the inverse vacuum has exactly the same physics as the vacuum on the left. If it fills the whole Universe, this vacuum becomes thermodynamically stable.

The matter in this mirror Universe has negative energy, and thermodynamic states are characterized by negative temperature. However, inhabitants of the mirror Universe would think that they live in the normal Universe with positive energies for matter and positive temperature. With respect to our Universe their temperature and energies are negative. But with respect to their Universe it is our Universe, which looks strange.

 

G.E. Volovik                                        
JETP Letters 113, issue 9 (2021)      

Topological insulators form a class of materials for which surface electronic states with the Dirac dispersion relation (and, consequently, zero effective mass) necessarily appear due to specifics of the bulk energy band structure. Mercury cadmium telluride solid solutions Hg1-xCdxTe exhibit a transition from the topological phase at x < 0.16 to the trivial one at x > 0.16. Previously, we have observed unusual PT-symmetric terahertz photoconductivity in heterostructures based on thick Hg1-xCdxTe films being in the topological phase [1]. The films were grown on a GaAs substrate via several intermediate buffers and a graded gap Hg1-yCdyTe layer for which the cadmium telluride content y gradually decreases and crosses the critical y = 0.16 value (see the inset in Fig.1). The photoconductivity was excited by short ~ 100 ns terahertz laser pulses in magnetic field directed normally to the sample surface. The photoconductivity amplitude turned out to be not an even function of the magnetic field applied which is equivalent to the T (time reversal) – symmetry breaking. It is also different for two mirror symmetric pairs of potential leads of a Hall bar which corresponds to the P (parity) – symmetry breaking. At the same time, changing both factors simultaneously keeps the photoconductivity amplitude intact (PT-symmetry) (Fig.1). It should be stressed that the equilibrium characteristics of the structures, such as magnetoresistance, are both P – and T – symmetric, so breaking of these symmetries is observed only in non-equilibrium situation.

Later on, it was demonstrated that appearance of the PT-symmetric photoconductivity comes up as a result of superposition of the conventional photoconductivity and the unusual chiral non-local photoconductivity [2]. The latter one corresponds to appearance of chiral photocurrents flowing along the sample edge around it. The photocurrent direction, i.e., its chirality, changes to the opposite one every time the magnetic field of the electric bias applied is reversed. The chiral photocurrent is absent if the electric bias or the magnetic field is zero. The non-locality clearly demonstrates that the chiral photocurrents responsible for appearance of the PT-symmetric photoconductivity flow in the interface area between the trivial buffer layer and the topological film.

In this paper we show that though the PT-symmetric photoconductivity reveals itself at the interface, the source of non-equilibrium electrons providing the effect is the bulk of a film. When the active layer thickness decreases, the PT-symmetric photoconductivity drops, and it is not observed in films thinner than 1 mm anymore (see the right panel of the Fig.1). Apparently, the photoexcited electrons diffuse from the bulk to the interface area, where they provide appearance of the effect.

Observation of the PT-symmetric photoconductivity does not require too sophisticated equipment. A question arises, why it was not observed previously. The results of this paper give an answer. Two conditions for the observation are necessary: existence of an interface between the topological and the trivial phase and an active layer of not less than 1 mm thickness. Hg1-xCdxTe single crystals widely studied back in 1960-1990s, possessed no interface with the trivial phase material. Later on, with advent of 2D heterostructures,  the experimental attention was focused on the heterostructures with the active layer thickness less than 100 nm.

 

Fig.1. Right panel – magnetic field dependence of the photoconductivity amplitude for two mirror-like pairs of potential leads 1-2 and 3-4. The inset shows the experiment electric circuit and geometry. Left panel – dependence of the photoconductivity amplitude asymmetry on the active layer thickness. The inset shows the heterostructure composition.

 

[1] Scientific Reports, 10, 2377 (2020). DOI: 10.1038/s41598-020-59280-0
   [2] Scientific Reports, 11, 1587 (2021). DOI: 10.1038/s41598-021-81099-6

A.S.Kazakov, A.V.Galeeva, A.V.Ikonnikov et al.
JETP Letters 113, issue 8 (2021)

Self-assembled Ge quantum dots epitaxially grown on Si are of particular interest as they are fully compatible with Si-CMOS and can be applied for 1.3– 1.55 µm optical communication applications. Despite the recent progress in fabrication of near-infrared Ge/Si quantum dot photodetectors, their quantum efficiency still remains a major challenge and different approaches to improve the quantum dot photoresponse are under investigation. It was recently demonstrated that the integration of Ge/Si heterostructures with arrays of metal nanoparticles on the semiconductor surface leads to a significant increase in the near-infrared photocurrent. The results were explained by the excitation of surface localized plasmon modes by the light wave. A drawback of this approach is the large ohmic losses in the metal and the small penetration depth of the plasmon field into the semiconductor.

In this letter, we have implemented an alternative approach based on the concept of photonic crystals. At present, the effects of the interaction of optical transitions with modes of various microcavities, including radiation modes of photonic crystals, are actively used to enhance luminescence signals in structures with a low efficiency of radiative recombination, including laser and LED structures. The idea of ​​the approach proposed in this work is to use photonic crystals in processes opposite to emission: optical absorption in thin layers of quantum dots embedded in photonic crystals. We found that the incorporation of Ge/Si quantum dot layers into a two-dimensional photonic crystal leads to multiple (up to 5 times) enhancement of the photocurrent in the near infrared range. The photonic crystal was a regular triangular lattice of air holes in a Si/Ge/Si heterostructure grown on a silicon-on-insulator substrate. The results are explained by the excitation of planar photonic crystal modes by the incident light wave propagating along the Ge/Si layers and effectively interacting with interband transitions in quantum dots.

 

 

(a) Image of a fragment of the profile of the band diagram of the Ge/Si heterostructure with Ge quantum dots and possible interband electronic transitions leading to the exitation of a photocurrent in the near infrared range. (b) Schematic section of a planar photodetector with Ge quantum dots in a Si matrix on a silicon-on-insulator substrate embedded in a photonic crystal. (c) - Schematic image of a photodetector representing a two-dimensional photonic crystal in the form of a periodic lattice of subwavelength air holes in Si/Ge/Si layers. (d, e) - Images of a fragment (d) of the surface and (e) of the cross-section of a triangular lattice of circular holes in the Si/Ge /Si heterostructure, obtained in an electron microscope.

 

 

 

 

 

 

 

 

 

 

 

 

 

 

A.I. Yakimov  et al.
JETP Letters 113, issue 8 (2021)

Topological materials with the Berry phase monopoles in the spectrum of Weyl fermions provide the possibility to study quantum anomalies, such as the Adler-Bell-Jackiw chiral anomaly and the gravitational anomaly. The analogue of the gravitational anomaly is produced by the effective gravitational fields acting on Weyl fermions: tetrads, spin connection and torsion fields. We show that the electromagnetic field in chiral Weyl superconductors plays the role of spin connection in the effective tetrad gravity. As distinct from the conventional chiral anomaly, the gravitational anomaly in chiral superconductors leads to the Adler-Bell-Jackiw equation with the extra factor 1/3.

In neutral chiral superfluids with Weyl fermions, such as superfluid 3He-A, the gravitational anomaly is produced by the analogue of the gravitational instanton. The latter is the process of creation or annihilation of the 3D topological objects, hopfions. The creation of hopfions is accompanied by the anomalous creation of the chiral charge. This is the gravitational analogue of the Kuzmin-Rubakov-Shaposhnikov electroweak baryogenesis.

 

G.E. Volovik                                           
JETP Letters 113, issue 8 (2021)     

 

Multi – fermion systems appear in solid state physics and in the description of fermionic superfluids. Such systems are also used as the building blocks for the construction of certain Unified theories in high energy physics. The general (though, rare) property of multi – fermion systems is the appearance of the two – component Weyl spinors at low energies. These spinors are formed in equilibrium systems close to the Fermi points, which are the band level crossing points in momentum space. Typically the Fermi points are unstable and exist only if protected by topology. Therefore, the effective description in terms of the two - component spinors survives in the case when the topological invariants protecting the Fermi points are nonzero.

Previously it was generally believed that there is a single topological invariant N3 responsible for the stability of the Fermi points. It may be expressed as an integral of an expression composed of the two – point Green function. The integral is over a closed hypersurface surrounding the Fermi point in four – dimensional momentum space (Brillouin zone and Matsubara frequency axis). This topological invariant takes integer values. Correspondingly, these values give rise to the classification of the Fermi points.  The Fermi points with nonminimal values of N3 may split due to perturbations into those with minimal values. Weyl fermions existing close to the Fermi points with N3 = +1 are called the left – handed, while those close to the Fermi points with N3  = - 1 are called the right – handed.  

In the present paper it is shown that in fact there exist two different topological invariants responsible for the stability of Fermi points. One of them is the mentioned above N3. Another one, N(3)3 is composed of the Green function at vanishing Matsubara frequency. The difference between these two topological invariants was overlooked previously.

Correspondingly, the Weyl points are classified according to the values of both N3  and N(3)3. For their minimal values it is proposed to call the Weyl points according to the following table.

Weyl point type

N3

N(3)3

Left - handed Weyl point

+1

+1

Right – handed Weyl point

-1

-1

Left – handed anti – Weyl point

+1

-1

Right – handed anti – Weyl point

-1

+1

 

The difference between the Weyl points and the anti – Weyl points may be detected if both these types of Fermi points are present. Then, for example, the two left – handed Weyl points may merge giving rise to the marginal Fermi point with (N3, N(3)3) = (2,0).

In the lattice systems with discretized space coordinates and continuous (imaginary) time the topological theorem requires that the sum of N(3)3  over the Fermi points is zero (provided that there are no zeros of the Green function in momentum space). In this case there may exist the systems with left – handed Weyl points and left – handed anti – Weyl points without the right – handed Fermi points. If the imaginary time axis is discretized as well as space coordinates, then, in addition, the sum of N3 over the Fermi points has to be equal to zero. In this case the numbers of left – handed and right – handed Fermi points are to be equal.

We suppose that the proposed classification may be relevant both for the condensed matter physics, and for the high – energy physics. In the former case the anti – Weyl points may appear in the systems with strong interactions. In the latter case the Weyl points of different types may appear dynamically in quantum gravity as a result of the fluctuations of vierbein.  

M.Zubkov
JETP Letters 113, issue 7 (2021)

In this Letter, we studied the photoconductivity (PC) spectra in narrow-gap epitaxial HgCdTe films at various temperatures by Fourier-transform infrared spectroscopy. It was shown that the sub-gap features observed in the PC spectra should be associated with transitions to shallow excited states of the mercury vacancy for neutral and singly ionized acceptors, rather than transitions to the valence band continuum.
 
Some of the excited states have large matrix elements for the transition from the ground state owing to the large fraction of the light holes subband in the structure of wave functions. The different rates of PC lines quenching and the peculiar shape of these lines are naturally explained by photothermal ionization of such states, paving the way to a better understanding of mercury vacancies in HgCdTe.
 
 
 
Kozlov D.V. et al.
JETP Letters 113, issue  6 (2021)

Ferroelectric properties of different chalcogenides are of great interest due to the underlying physics and potential applications. Recently, three-dimensional WTe2 single crystals were found to demonstrate coexistence of metallic conductivity and ferroelectricity at room temperature. The latter usually belongs to the insulators, but it occurs in WTe2 due to the strong anisotropy of the non-centrosymmetric crystal structure. Out-of-plane spontaneous polarization of ferroelectric domains was found to be bistable, it can be affected by high external electric field.

Scattering of the charge carriers on the domain walls is known to provide noticeable contribution to the sample resistance. Thus, coexistence of metallic and ferroelectric properties should produce new physical effects for electron transport, and, therefore, it should be important for nanoelectronic applications.

Here, we investigate electron transport along the surface of WTe2 three-dimensional single crystals. We find that non-linear behavior of dV/dI(I)  differential resistance is accompanied by slow relaxation process, which originates from  the additional polarization current in ferroelectric  WTe2 crystal.  The possibility to induce polarization current by source-drain field variation is unique for WTe2 , since it is a direct consequence of ferroelectricity and metallic conductivity coexistence.

Schematic diagram of the domain wall region, arrows indicate ferroelectric polarization direction. Due to the coexistence of metallic conductivity and ferroelectricity, there are two possible directions of the external electric fields in our setup. Gate field Egate = Vg/d is directed normally to the WTe2 surface, while source-drain field Esd is parallel to it, being induced by the flowing current Esd = ρj. The achievable values of the fields are too small to align polarization of the whole WTe2 flake, so they mostly affect the domain wall regions. Thus, any variation of the electric fields leads to the additional polarization current. The latter we observe as slow relaxation in dV /dI, since polarization current is connected with lattice deformation in ferroelectrics.

N.N. Orlova, N.S. Ryshkov, A.V. Timonina, N.N. Kolesnikov and E.V. Deviatov
JETP Letters 113, issue 6 (2021)

 

 

Photon-stimulated transport (PST) has been studied for 60 years, and until recently, all its resonances have been associated with the specific features of the density of states of the structures under study. In quantum point contact (QPC), such resonances are missing due to the smooth saddle potential. However, recently, when studying the microwave and terahertz photoconductance of the QPC in tunneling regime, PST was found in just such potential. It turned out that the tunneling transmission of a one-dimensional smooth barrier resonantly depends on the frequency and number of microwave or terahertz photons absorbed by an electron, leading to the appearance of giant microwave and terahertz photoconductance. The developed theory of the PST through such a barrier explains the discovered effect by a sharp increase in the probability of transition of a sub-barrier electron to the top of the barrier. It also gives a radical decrease in it to zero when the photon energy transferred to the electron leads to its transition above the barrier, thereby confirming another experimental fact: the absence of a photo-effect when the frequency of terahertz radiation is increased several times.

(a)- Micrographs of the Hall bridge on the basis of high mobility 2D electron gas in GaAs quantum well with two QPC options (split gate, bridged gate).

(b) - Behavior of the measured (points) and calculated photoconductance (lines) for three different QPCs ((1,2) - bridged gate, (3) - split gate), when the samples are irradiated by terahertz radiation at two indicated frequencies (Gph – photoconductance, Gdark – dark conductance, G0 =2e2/h).

 

V.A. Tkachenko, Z.D. Kvon, O.A. Tkachenko, A.S. Yaroshevich, E.E. Rodyakina, D.G. Baksheev, A.V. Latyshev
JETP Letters 113, issue 5 (2021)

Studies of topological insulators (TI) are currently marked by a growing interest to the origin of strong impact of various defects and local charge inhomogeneities on the fundamental properties of surface current carriers. One of the key ingredients of the progress here consists in the ability to get the reliable information on the TI local properties, since the standard transport measurements provide only nonlocal one.

In this letter we propose the contactless visualization of local charge and spin inhomogeneities using electron spin resonance (ESR) of the bulk charge carriers in the insulating region between conducting surfaces of the 3D topological insulators Bi1.08Sn0.02Sb0.9Te2S.

The standard ESR technique makes it possible to obtain a signal from the bulk charge carriers with a given g-factor. An analysis of the properties of the observed ESR signal allows one to conclude that the current carriers participating in the resonance are arranged in a random array of electron or hole droplets of nanoscale sizes which are located at large distances from each other. It is essential that electrons and holes from these droplets do not participate in transport, since they cannot travel from one droplet to another.

The importance of the above results is due to the fact that such droplets, being in the vicinity of the TI surface, can affect surface current carriers. Surface current carriers can penetrate into these droplets via tunneling and interact inelastically with the current carriers located in them. Then, after some time, they can tunnel back to the surface, which should undoubtedly affect their transport properties and, in particular, lead to non-zero backscattering.

The experimental scheme. A plate sample placed in the magnetic field of the  ESR spectrometer is excited by an alternating magnetic field of a given frequency (wavy line).  By changing magnetic field, the spin resonance of bulk current carriers (black resonant peak) can be achieved. The analysis of the resonance response shows that the current carriers participating in the resonance are organized into a random set of nanosized hole and electron droplets (grey circles) separated by a large distance.

 

Sakhin V., Kukovitsky E. , Talanov Yu/ , Teitel’baum G.
JETP Letters 113, issue 4 (2021)

Self-organized quantum dots (QDs) grown by the epitaxial method are considered as the basis for various applications in quantum photonics due to their unique properties, such as small spectral linewidth, fast radiative decay time, and high quantum efficiency. Among such applications is the generation of single photons with a high degree of indistinguishability, which is necessary for the implementation of linear optical quantum computing schemes. Most modern quantum computing protocols require a sufficiently large number of parallel channels with indistinguishable photons. One of the approaches to their formation is the use of many independent QDs emitting photons identical in all parameters. Another approach is based on the use of only one perfect QD, which emits with a high efficiency a sequence of single-photon pulses, which are then demultiplexed over N parallel channels.

In this letter, we demonstrate the possibility of combining these two approaches by creating high-quality single-photon sources, which in principle allow integration within a single semiconductor chip. For this purpose, structures were fabricated with a self-assembled InAs/GaAs QD placed in a columnar optical microcavity with distributed Bragg reflectors, possessing a relatively low Q factor. The experiment on measuring two-photon interference, performed in the Hong-Ou-Mandel scheme at various delays between two photons successively emitted under resonant coherent excitation of a single QD, showed the possibility of achieving up to 93% indistinguishability at a 250 ns delay. It is assumed that the use of such microcavity structures with a low Q factor and a sufficiently wide spectral resonance will simplify the precise tuning of the single-photon generation wavelength, which will make it possible to increase the number of parallel channels in the circuits of optical quantum computers by integrating several independent sources of indistinguishable photons with a degree of indistinguishability sufficient to effectively demultiplex the photon flux emitted by each source.

A histogram measured in the Hong-Ou-Mandel scheme of two-photon interference with a delay between photons of 250 ns under conditions of resonant coherent excitation by a π-pulse of a  microcavity with  a single InAs/GaAs QD.

Galimov A.I., Rakhlin M.V., Klimko G.V. et al.
JETP Letters 113, issue 4 (2021)

 

Discovery of the Higgs boson in 2012 by ATLAS and CMS experiments finally confirm the truthiness of the Standard Model (SM), but there still remain many open questions. Among them: inability of SM to explain the neutrino oscillation and baryon asymmetry, the problem of the particle mass hierarchy etc. This gave rise to the development of the new theories which extend the SM - Beyond Standard Models (BSM): Two Higgs Doublet Model (2HDM), Minimal Supersymmetric Standard Model (MSSM), Higgs Triplet Model (HTM) etc. These models predict new resonances in the extended Higgs sector, e.g. in 2HDM the electroweak symmetry breaking leads to five Higgs particles: two neutral Higgs bosons that are CP-even (scalar) ℎ, 𝐻, one neutral and CP-odd (pseudoscalar) 𝐴, and charged Higgs boson 𝐻±.

A search for new particles from the extended Higgs sector were performed in the ATLAS and CMS experiments and covered many decay channels and final states. As a result of these searches the upper limits on the production cross sections or on the masses of new heavy resonances and the constrains on the BSM extensions parameters were obtained.

In this paper we review the recent and most significant results on heavy Higgs bosons searches obtained by the ATLAS and CMS experiments and based on the data collected in LHC Run I (2011-2012) and Run II (2015-2018) with proton-proton interactions at $\surd s$ = 7, 8, 13 TeV.

Excluded regions (light shaded or dashed) of the hMSSM model parameters 𝑚𝐴, 𝑡𝑎𝑛  via direct searches for heavy Higgs bosons and fits to the measured rates of observed Higgs boson production and decays obtained in ATLAS experiment.

Yu.G. Naryshkin
JETP Letters 113, issue 4  (2021)


 

The enhancement of nonlinear Raman interactions paves a way towards implementing on-chip Raman-based technologies, such as Raman amplification and lasing, sensing and superresolution imaging. Specifically, this allows us to reduce the size and pumping power requirements of nonlinear Raman devices. In recent years, the enhanced nonlinearities have been demonstrated using microresonators, waveguides, plasmonic nanostructures and all-dielectric antennas. The underlying materials of these structures fall into two groups: dielectrics (positive real permittivity) and metals (negative real permittivity). A disadvantage of dielectric structures is that their size cannot be enough small compared to the wavelength of light. Whereas metallic nanostructures suffer from high ohmic losses.
In this Letter, we develop a novel approach to increase the efficiency of stimulated Raman scattering (SRS). Our strategy is based on the use of epsilon-near-zero (ENZ) materials, for which the real and imaginary parts of permittivity are close to zero. The ENZ materials, lying between metals and dielectrics, possess the field enhancement performance and low optical losses simultaneously. We theoretically find optimal conditions imposed to the permittivity for boosting the SRS within the ENZ media. It is shown that the SRS spectra of ENZ structures can be modified due to the frequency-dependent shift of the Raman gain factor.

Incident light (input) is converted into longer-wavelength emission (output) through stimulated Raman scattering. The enhancement of the Raman nonlinearities of ENZ media allows to perform a frequency conversion on the nanoscale and suppress a nonlinear threshold

 

A.P.Gazizov, A.V. Kharitonov, S.S.Kharintsev
JETP Letters 113, issue 3 (2021)

Gyrometric devices based on new physical principles is a topical and actively investigated area of research. Advances in experimental techniques of creation and control of cold atomic ensembles and, particularly, atomic Bose-Einstein condensates (BEC) allow using them for building perspective inertial sensors. The existing proposals for quantum gyrometric devices with cold atoms rely on direct registration of matter waves, which implies destruction of spatial coherence and atom loss. In this Letter, we propose and theoretically investigate a new scheme of quantum gyrometry which does not involve imminent decoherence of the condensate.

Figure 1: A concept of atom-optical quantum gyroscope. The rotation axis is assumed to be orthogonal to the plane of a ring trap.


The conceptual scheme of our setup is presented in the figure. The atomic BEC is localized in a ring-shaped trap, and a small region of it is illuminated by a travelling wave light field formed in a ring cavity. This field creates a potential barrier (or well), breaking the axial symmetry of the trapping potential and making the state of BEC sensitive to rotations of the reference frame. Specifically, the atomic phase density in the area of potential defect gains dependence on the angular velocity of such rotations. In the dispersive interaction limit, the output of the ring cavity gains a phase proportional to the number of atoms in the illuminated area. This phase is detected in the interferometric experiment, e.g. as a shift of the interference pattern of Mach-Zehnder interferometer, and from it the angular velocity is calculated. Thus, no direct interaction of matter waves is required. Our calculations, done under certain approximations, show that with a condensate of $\sim10^{6}$ $^{87}$Rb atoms trapped in a ring-cavity of $R\sim0.2$cm, it is possible to measure angular velocities of the scale of the Earth's rotation with a signal-to-noise ratio $\sim 30$ (due to atomic shot-noise).
 

  V.A. Tomilin and L.V. Il'ichev
JETP Letters 113, issue 3 (2021)

Superconducting spin valve based on superconductor/half-metal system with record values of the effect has been created.

In the last two decades of the 21st century there has been tremendous theoretical and experimental interest in the development of logic elements for superconducting spintronics. In addition to the basic elements for computers of the future, passive elements are also needed that will turn on/off the superconducting current. Such a device can be a superconducting spin valve (SSV). Superconducting spin valve is an alternating sequence of ferromagnetic (F) and superconducting (S) layers. By combining the number and sequence of layers of F- and S-materials, it is possible to control the properties of the spin valve. This is due to the fact that the properties do not change abruptly at the boundary of the S/F layers - there is a region of interpenetration of the properties of two materials. This phenomenon is called S/F proximity effect.

In this work, we have studied the superconducting spin-valve effect in F1/F2/S heterostructures containing the Heusler alloy Co2CrxFe1-xAly as one of two ferromagnetic (F1 or F2) layers. We used the Heusler alloy layer in two roles: as a weak ferromagnet on the place of the F2 layer and as a half-metal on the place of the F1 layer. In the first case, the full switching between the normal and superconducting states is realized with the dominant aid of the long range triplet component of the superconducting pair condensate which occurs at the perpendicular mutual orientation of magnetizations. In the second case, we observed separation between the superconducting transitions for perpendicular and parallel configurations of magnetizations reaching 0.5 K. We also find a good agreement between our experimental data and theoretical results.  The results obtained in this work are record-breaking for F1/F2/S structures.

 

The record value of the magnitude of the superconducting spin valve effect in F1/F2/S structure.

Kamashev A.A. , Garifullin I.A.
JETP Letters 113, issue 2 (2021)

We have developed a sensitive spectroscopic technique for study of a dilute ultracold plasma (UCP) using a laser induced autoionization of Rydberg atoms. In our experiment the ultracold 40Ca Rydberg atoms and ions are prepared in a magneto-optical trap by several cw lasers. The laser beam diameters are order of 2×10-3 m. The technique allows to detect the plasma with ion and electron densities below 109 m-3. For observation of the autoionization effect we used the two-photon Rydberg transition 4s3d 1D2 – 90 1D2 (with lasers 672 nm and 798 nm) and the ionization two-photon channel with lasers 423 nm and 390 nm. The autoionization resonance is observed as a variation of the resonance fluorescence of the 40Ca ions at a wavelength of 397 nm. The dependence of the autoionization resonance magnitude on the ion density is recorded. The ability to create an UCP with well-controlled parameters allows us to calibrate of the autoionization resonances. The technique can be applied to detect small electric fields by means of 40Ca Rydberg atoms. The developed technique can be useful for the measurements of the small fields in development of the ultra-precise atomic clock, as well as for experimental simulations of the ultracold low-density plasma in the Earth's ionosphere.

Dependence of the resonance amplitude at the 4s3d 1D2 – 90 1D2 Rydberg transition on the power P390 of the ionizing laser (λ = 390 nm) and the ion density in the UCP. The peak density of the neutral atoms is $n_a = 10^{15}$m-3.

 

B.B. Zelener, E.V. Vilshanskaya, S.A. Saakyan, V.A. Sautenkov, B.V. Zelener, V.E. Fortov
JETP Letters 113, Issue 2 (2021).

In the past few decades, the intensive development of angle-resolved photoemission spectroscopy (ARPES) made it possible to experimentally observe the electronic band structure for various classes of materials with a  high instrumental resolution and in a wide binding energy range. The corresponding ARPES data are represents maps on which the electronic states are characterized by position in energy, in reciprocal space, width and intensity.
On the other hand, the improvement of theoretical methods for calculating electronic band structure also allows one to obtain the spectral function maps. For example, the density functional theory (DFT) and its combination with various methods take into account electronic interactions (for example, LDA+DMFT). This led to the need for a quantitative comparison of the theoretical and experimental electronic bands. For this, in the theoretical and experimental data, it is necessary to compare not only the qualitative energy position of the electronic bands, but also their relative intensities and widths.
In this work, a technique is proposed for taking into account a number of experimental details for theoretical spectral functions: the photoemission cross-section, experimental energy and angular resolutions, the photo-excited hole lifetime effects. The study was done on the high-temperature iron-based superconductors (NaFeAs and FeSe on a SrTiO3 substrate). It is shown that a significant share in the broadening of quasiparticle bands is associated precisely with taking into account the experimental details in the theory.

(a) LDA + DMFT spectral function for NaFeAs in the M-G-M direction, (b) taking into account the experimental details, (c) ARPES. Fermi level - zero energy (white dotted line).

I.A. Nekrasov, N.S. Pavlov
JETP Letters 113, issue 2 (2021)

A review is given of unusual many-particle effects discovered in strongly interacting two-dimensional electronic systems in quantizing magnetic fields in MgZnO/ZnO heterostructures. The studied two-dimensional systems have unique properties - strong Coulomb interaction, characterized by the high values ​​of the Wigner-Seits parameter rs~5-10 and, at the same time, high low-temperature mobilities, which enable detecting numerous many-particle effects. The properties of collective electronic excitations in the regime of the integer quantum Hall effect are investigated by the method of inelastic light scattering. Many results concerning both the structure of the ground state and many-particle contributions to the energy of collective excitations go far beyond the well-known concepts of the microscopic structure of quantum Hall states. Despite the absence of a rigorous theory of 2D electron systems for rs>>1, the observed effects can be described in terms of Fermi-liquid quasiparticles with renormalized parameters. The phenomena of renormalization of the quasiparticle effective mass, its spin susceptibility, ferromagnetic instabilities at even filling factors, as well as the strongest renormalization of their exchange interaction are studied experimentally. The observed effects are quantitatively described by calculations performed using the method of exact diagonalization of the energy spectrum, which takes into account the Coulomb mixing of  Landau levels . The results of the analysis allow to reveal the characteristics of Fermi-liquid quasiparticles, smeared across multiple Landau levels and to probe their Hall quantization (see the figure).

A.B. Vankov and I.V. Kukushkin
JETP Letters 113, issue 2 (2021)

Seven years ago, IceCube neutrino telescope has discovered neutrinos of Peta-electronvolt energies coming from yet unidentified astronomical sources. Active Galactic Nuclei (AGN) powered by supermassive black holes ejecting relativistic jets are considered as possible source of the IceCube astrophysical neutrino signal. Direct verification of this hypothesis is however difficult because of the low statistics of the neutrino signal and moderate angular resolution of the IceCube telescope.

Interactions of high-energy protons and atomic nuclei that result in production of astrophysical neutrinos in AGN inevitably produce also gamma-rays, electrons and positrons that initiate electromagnetic cascade releasing its energy into Giga-electronvolt (GeV) to Tera-electronvolt (TeV) range.  Thus, it is natural to expect that the sources of astrophysical neutrinos have GeV-TeV gamma-ray counterparts. However, contrary to expectations, arrival directions of astrophysical neutrinos detected by IceCube do not correlate with positions of brightest gamma-ray emitting AGN detected by Fermi LAT gamma-ray telescope. At the same time, surprisingly, recent analysis of correlation between neutrino arrival directions and positions of AGN brightest in the radio band by Plavin et al. (2020) has revealed significant correlation.
This is puzzling, because theoretical models of neutrino production in AGN typically assume that high-energy protons interact with ultraviolet photons produced by the hottest part of accretion flow onto the supermassive black hole, close to the AGN “central engine”. Its size is about the size of the Solar system, much smaller than that of the parsec-scale jets producing radio synchrotron emission. Moreover, the proton-photon reaction that can in principle produce both neutrinos and electrons / positrons has very high energy threshold. This reaction cannot directly produce electrons and positrons generating radio synchrotron emission.
The letter “Radio-to-gamma-ray synchrotron and neutrino emission from proton-proton interactions in active galactic nuclei” proposes a solution to these puzzles. High-energy protons in the AGN jet can efficiently interact on parsec-scale distances with low-energy protons from the circumnuclear medium. The energy threshold of proton-proton reaction that produces neutrinos, electrons and positrons is moderately low so that electrons with energies close to the threshold emit synchrotron radiation in the radio band. In this model the neutrino and radio fluxes are correlated because both are determined by the power of the primary proton beam reaching parsec-scale distances in the AGN jets.


A.Neronov, D. Semikoz
JETP Letters 113, issue 2 (2021)

The interfaces between superconductors (S) and ferromagnets (F) are known to be the origin of rich physics associated with the proximity effect. The exchange field inside the ferromagnets converts the spin-singlet Cooper pairs into the spin-triplet ones. Such unusual spin structure of superconducting correlations is responsible for the spatial oscillations of the Cooper pair wave function and a great variety of resulting interference phenomena.

Recently, it has become clear that the proximity effect also drastically modifies the electrodynamics of S/F structures. As an example, spin-triplet pairs can damp the usual diamagnetic Meissner response down to zero, and its vanishing was shown to be the hallmark for the emergence of the peculiar Fulde-Ferrell-Larkin-Ovchinnikov (FFLO) phase with the superconducting order parameter modulated in the plane of the layers [1, 2]. Another electromagnetic consequence of the proximity effect is the anomalous long-range transfer of the magnetic field from the ferromagnet to the superconductor even in the case when the F layer does not produce a stray magnetic field [3, 4]. This so-called electromagnetic proximity effect originates from the generation of the superconducting currents inside the F layer due to the direct proximity effect and the subsequent appearance of the compensating Meissner currents flowing in the S layer.

In this paper we review the recent results related to the physics of the in-plane FFLO states and electromagnetic proximity effect in S/F hybrids. Also we analyze the interplay between these two phenomena revealing through the boosting of the spontaneous magnetic field generated in the S layer due to the electromagnetic proximity effect in the vicinity of the phase transition from the uniform superconducting state to the in-plane FFLO phase.

 

Leakage of the magnetic field from the ferromagnet to the superconductor due to the electromagnetic proximity effect and qualitative plot illustrating the increase in the amplitude of the spontaneous magnetic field when approaching the transition to the FFLO phase (with the decrease of temperature).

[1] S. Mironov, A. Mel’nikov, A. Buzdin, Phys. Rev. Lett. 109, 237002 (2012)
       [2] S. V. Mironov, D. Yu. Vodolazov, Y. Yerin, A. V. Samokhvalov, A. S. Mel’nikov, A. Buzdin, Phys. Rev. Lett. 121, 077002 (2018)
       [3] S. Mironov, A. S. Mel’nikov, A. Buzdin, Appl. Phys. Lett. 113, 022601 (2018)
       [4] Zh. Devizorova, S. V. Mironov, A. S. Mel’nikov, A. Buzdin, Phys. Rev. B 99, 104519 (2019).

 

S. V. Mironov, A. V. Samokhvalov, A. Buzdin, A. S. Mel’nikov
JETP Letters 113, issue 2 (2021)

Half-metals are rather unusual and promising materials. The Fermi surface of a half-metal is completely spin-polarized. Namely, electronic states with only one spin projection value reach the Fermi energy. States with the other spin projection are pushed away from the Fermi level. This makes half-metals useful for spintronics. Typically, half-metallicity arises in strongly correlated electron systems, or when localized magnetic moments are present. We demonstrated that doping a density-wave insulator even in the weak-coupling limit may stabilize new types of half-metallic states, such as spin-valley half-metal and charge-density wave (CDW) half-metal.

In a simple model Hamiltonian describing two Fermi surface pockets (or valleys) with nesting, the electron-electron repulsion generates spin- or charge-density wave state, see Fig.1(a). If charge is added or removed from such a system, the situation becomes less clear-cut: several states with close energies are competing. Such possibilities as incommensurate density wave, electronic phase separation, stripes, etc. are discussed in the theoretical literature. We demonstrate that yet another type of many-body state is available. In the doped system, the two-valley Fermi surface emerges. One valley is electron-like. It is composed mostly of states of electron band, with spin σ. Another valley is hole-like, composed predominantly of states from hole band, with spin σ'. These Fermi surface valleys have half-metallic character: the states in electron band with spin -σ, as well as states in hole band with spin –σ', do not reach the Fermi level and have no Fermi surface.

Depending on the parameters, the spin polarizations of the electron-like valley and hole-like valley may be parallel (σ = σ') or antiparallel (σ = -σ'), see Fig.1(b,c). The former case is similar to the usual half-metal: quasiparticles at the Fermi surface are completely spin-polarized. In addition, the system exhibits a finite CDW order parameter. For this reason, we refer to such a state as the CDW half-metal. When σ = -σ', the total spin polarization averages to zero. It is proven, however, that in this situation, the so-called spin-valley polarization is nonzero. Thus, the state is called the spin-valley half-metal. The specific features of these half-metallic states are discussed. Namely, we demonstrate that the electric current can be accompanied by the transfer of spin or of the spin-valley quantum number. Such effects could be of interest for spintronics and pave the way to spin-valley-tronics. We also discussed the possibility of using the inelastic neutron scattering to detect the half-metallic states.

Band structure of (a) undoped density wave, (b) spin-valley and (c) charge density wave half-metals. Horizontal line shows the Fermi level, arrows indicate spin polarizations of the Fermi surface.

A.V. Rozhkov, A.O. Sboychakov, D.A Khokhlov  and A.L. Rakhmanov and A.D. Kudakov
JETP Letters 112, issue 11 (2020)

The magnonic Bose condensed state was first discovered in superfluid 3He under magnetic resonance conditions. The repulsive interaction between magnons stabilizes this state. The transfer of magnetization by a magnon supercurrent was also discovered [1].  Quite similar phenomena were observed in a nonplanar magnetized film of yttrium iron garnet (YIG), but at room temperature. When the deviation of the magnetization in YIG is more than 3 degrees, the density of non-equilibrium magnons exceeds the critical one [2], and a magnon Bose condensate is formed. Due to the superfluidity of magnons, the BEC state can fill the entire sample and the angles of magnetization deviation exceed 20 degrees [3].

Magnon BEC was studied in a YIG film epitaxially grown on a gadolinium gallium garnet (GGG) plate 0.5 mm thick. The Gilbert attenuation determines the field shift of the BEC observation. It has been found to be highly frequency dependent. It increases significantly when the frequency matches the standing sound waves in the GGG (peaks A in Fig. 1). The magnetoelastic interaction excites phonons, which dissipate energy. Unexpectedly, we also detected antiresonant signals (dips B in Fig. 1). We can explain this by the coherent mediation of circularly polarized phonons, which return their angular momentum after being reflected from the other side of the GGG plate. This observation shows the coherent transfer of the angular momentum of phonons through non-magnetic material on a macroscopic distance.

[1] G. E. Volovik, J. Low Temp. Phys., 153,  266 (2008)

[2] Yu.M.Bunkov, V. L. Safonov, J. Mag. Mag. Mat., 452 30–34 (2018)

[3] P. M. Vetoshko, G. A. Knyazev, A. N. Kuzmichev, A. A. Cholin, V. I. Belotelov, Yu. M. Bunkov, JETP Letters 112,  313 (2020).

 

P. M. Vetoshko, G. A. Knyazev, A. N. Kuzmichev, V. I. Belotelov, Yu. M. Bunkov
JETP Letters 112, issue11 (2020).

 

        The ability to explain when and why an isolated quantum mechanical system can be accurately described with equilibrium statistical mechanics is one of the key challenges in modern statistical physics. Such description may be possible even for time-dependent Hamiltonians, and much attention has focused on the emergence of quasi-equilibrium states in many-particle periodically driven systems. Numerous approximate methods have been developed to describe dynamics of such systems, known as Floquet dynamics. Interesting results were previously obtained when the external driving frequency significantly exceeds the strength of the interaction in the system in frequency units (the averaging condition).

        NMR in solids was one of the first areas where experimental and theoretical investigations of dynamics and thermodynamics in periodically driven systems were performed. The powerful experimental technique of NMR and relatively simple analytic tools allowed the creation of  “spin  alchemy” with very interesting results.

     In this letter we work out a numerical method to investigate Floquet dynamics in the simplest multi-pulse NMR experiment in a system of 14 spins connected by dipole-dipole interactions. We discover that a quasi-thermodynamic equilibrium is established under the averaging condition. When this condition is not met, instead of a quasi-equilibrium state, we find that the polarization decays to zero.

 

The decay of the polarization in multi-pulse NMR spin-locking with π/8 RF pulses. The initial polarization equals 1. The horizontal line is the thermodynamic  equilibrium polarization.The number of the spins is 14. The averaging condition is satisfied.

G.A.Bochkin, S.G.Vasil’ev, A.V.Fedorova, E.B.Fel’dman
JETP Letters 112, issue 11 (2020)

The problem of searching new high-energy-density materials (HEDM) is very actual from both applied and fundamental points of view. Choosing nitrogen as a promising element for creating HEDMs have several reasons. Under normal conditions, nitrogen exists in the form of diatomic N2 molecules with a triple covalent bond, which is one of the strongest covalent bonds in nature, its energy is 4.9 eV/atom. The energies of double and single bonds for nitrogen are 2.17 eV/atom and 0.83 eV/atom, respectively. Those for nitrogen the sum of three single bonds energies is much less than energy of triple bond; therefore, single-bonded nitrogen crystal structures will store energy. At the same time, the release of energy is an environmentally friendly process.

In this article, the existence of a metastable, single-bonded crystalline nitrogen phase with symmetry P-62c is predicted theoretically. This phase is a direct-gap semiconductor and can store the largest amount of energy among all nitrogen crystals predicted to date, which are stable at low pressures. This structure of non-molecular nitrogen has all the necessary attributes of dynamic (in terms of the phonon spectrum) and mechanical (in terms of elastic moduli) stability of a bulk medium at pressures less than 40 GPa, including zero pressure. In the entire pressure stability range phase P-62c is metastable. For its synthesis, it is necessary to search new methods, for example, synthesis through excited states.

 

K.S.Grishakov and N.N.Degtyarenko

JETP Letters 112, issue 10 (2020)

After the discovery of Mott insulating states and superconductivity in the so-called magic angle twisted bilayer graphene in 2018, the study of this material became a hot topic in condensed matter physics. In single-particle approximation, the system under study has four almost flat almost degenerate bands near the Fermi level. The electron-electron interaction lifts this degeneracy stabilizing some order parameter in the system. The mottness of the ground state of the magic angle twisted bilayer graphene manifests itself in the sequence of conductivity minima observed for several doping levels.

The nature of the ground state of the magic angle twisted bilayer graphene is not yet known. Here, we assume that the emerging non-superconducting order parameter is a spin density wave, and study the evolution of such ordered state with doping. We show that in the range of electron densities, where the order parameter is nonzero, the homogeneous state of the system can be unstable with respect to the phase separation. Phases in the inhomogeneous state are characterized by an even number (n = 0, ±2, ±4) of electrons per a superlattice cell. This allows us to explain some features in the behavior of the conductivity of the system with doping. Thus, we are able to explain the fact that the conductivity minima, that could occur at doping levels corresponding to an odd number (n = ±1, ±3) of electrons per supercell, are absent in some samples under study (phase separation occurs) and are present in other samples (phase separation is suppressed by the long-range Coulomb repulsion).

Free energy of the system as a function of doping. The solid (red) curve corresponds to the free energy of the homogeneous state. The energies of the inhomogeneous states obtained by the Maxwell construction are shown by dashed (green) lines

 

A.O. Sboychakov, A.V. Rozhkov, K.I. Kugel, and A.L. Rakhmanov
JETP Letters 112, issue 10 (2020)

Recently emerged new field of all-dielectric resonant metaphotonics (also called “Mie-tronics” aims at the manipulation of strong optically-induced electric and magnetic Mie-type resonances in dielectric nanostructures with high refractive index. Unique advantages of dielectric resonant nanostructures over their metallic counterparts are low dissipative losses combined with strong enhancement of both electric and magnetic fields, thus providing competitive alternatives for plasmonics including optical nanoantennas, nanolasers, biosensors, and metasurfaces.

Importantly, high-index dielectric nanoparticles supporting multipolar Mie resonances are building blocks of advanced metamaterials. By combing both electric and magnetic multipolar modes, one can modify far-field radiation patterns and also localize the electromagnetic energy in open resonators by employing the physics of bound states in the continuum.  Changing the resonator parameters or combining the resonators into a planar geometry of metasurfaces allow achieving much higher values of the Q factor.

This mini-review highlights some recent advances in the field of all-dielectric Mie-resonant metaphotonics driven by the development of high-Q dielectric structures for nonlinear nanophotonics, nanoscale lasing, and efficient sensing applications.  

Example of 310 nm nanolaser based on lead halide perovskite CsPbBr3 nanocuboid and operating at room temperature. Multipole decomposition of the lasing mode demonstrates the dominant contribution of the third-order magnetic dipolar Mie mode.

P.Tonkaev, Y.Kivshar
JETP Letters 112, issue10 (2020)

The theoretical prediction of the early seventies about the existence in a solid of a new state of "quantum spin liquids" is now finding real experimental confirmation. "Spin-liquid" compounds have a specific frustrated lattice consisting of triangles, at the vertices of which there are magnetic atoms that do not allow establishing long-range order. Due to quantum fluctuations and strong correlations between spins, frustrated magnets remain disordered even near absolute zero. 

This work presents results of an experimental study of the electronic system of a highly frustrated quasi-two-dimensional organic metal κ- (ET) 2Hg (SCN) 2Cl by the Shubnikov-de Haas quantum oscillation method. At temperatures above 30 K, this compound behaves like a metal with a half-filled band with strong electron-electron correlations. In the region of T = 30 K, a Mott metal-insulator transition is observed in the compound, and at low temperatures the system passes into the state of a quantum spin liquid (N.M. Hassan, and all, npj Quantum Materials 5, 15, 2020).

Organic conductors are fairly  soft materials, and application of pressure can significantly change the conduction band and affect their physical properties. The application of a hydrostatic pressure of 0.7 kbar suppresses the metal-insulator transition and restores the metallic state of κ- (ET) 2Hg (SCN) 2Cl. This enables studying the behavior of the interlayer magnetoresistance at helium temperatures. The field dependence of the magnetoresistance shows an unlimited growth according to a power law, which is a rare phenomenon for organic conductors and may indicate the presence of the polaron mechanism in interlayer transport. The spectrum of the detected oscillations of the magnetoresistance facilitates better understanding of the shape and dimensions of the Fermi surface and to estimate the parameters of the electron system.

 

 

Field dependence of the interlayer longitudinal magnetoresistance in κ- (ET) 2Hg (SCN) 2Cl at T = 0.47 K and p = 0.7 kbar. Inset 1: Fourier spectrum of magnetoresistance oscillations. Inset 2: schematic representation of the Fermi surface.

R.B. Lyubovskii, S.I. Pesotskii, V.N. Zverev, E.I. Zhilyaeva, S.A. Torunova, R.N. Lyubovskaya
JETP Letters 112, issue 9 (2020)

With the recent progress in observing new “locally incompressible” fractional quantum Hall states (FQHE), at the forefront of physics of two-dimensional systems (2DES's), there arises a necessity to develop  experimental approaches for the direct monitoring of bulk FQHE states. Since the transport characteristics of the FQHE insulators are not very informative (only the edge channels spatially separated from the bulk states contribute to conductivity), we employ optical techniques that can provide the required information. One of the confirmed experimental techniques for studying bulk electronic states in the QHE and FQHE regimes is the resonant reflection. However, the resonant reflection technique, because of  its high complexity, is not suitable for routine studies of FQHE states. Application of the nonresonant reflection for the same purpose is impossible for an uncontrolled photo-induced contribution to the experimental results. Up to now, all attempts to employ the photoluminescence technique for analysis of the FQHE states have not lead to reasonable results, despite the fact that in the QHE regime, nonresonant photoluminescence is one of the most powerful tools for studying bulk states. The reason for the incorrect use of this experimental technique became obvious only recently. In the nonresonant photoluminescence, the contribution to the signal is produced not only by two-particle excited states of 2DES, for which the conditions of “hidden symmetry” are satisfied but also by three-particle states, for which there are no symmetry restrictions on the spectral characteristics of the photoluminescence signal. The photoluminescence signal of three-particle complexes in the FQHE regime can have a complex structure with several spectral components due to the nontrivial dispersion of two-particle complexes (magnetoexcitons), from which three-particle complexes are constructed. In the presented work, we employ the resonant photoluminescence for studying FQHE state 1/3, with which we have got rid of unwanted photoluminescence of three-particle complexes. In this case, no violation of the “hidden symmetry” is observed, however, the amplitude of the resonant photoluminescence signal from the FQHE 1/3 state modifies so dramatically, that this modification can serve as an experimental marker of the 1/3 state. On the other hand, such a change in the amplitude of the resonant photoluminescence response indicates  the formation of a nonequilibrium coherent spin-excitation ensemble in 2DES, which is believed to consist of the quasi-particles with fractional charges.

 

L.V. Kulik et al.
JETP Letters 112,  Issue 8 (2020)

Titanium dioxide (TiO2) is actively used in the modern world: as an E171 additive in the food industry, in the fabrication of paints and varnishes, solar panels, gas sensors, etc.
For many practically significant applications, especially for the food industry, it is important to determine the composition of TiO2 powders (the proportion of nanoparticles that have toxic properties in the powder). Spectroscopic methods are promising for studying the composition of TiO2 powders; however, the optical properties of titanium dioxide remain not fully understood. For this reason, the mechanisms of radiative recombination of the anatase titanium dioxide, which are responsible for intense emission lines in the visible and near-infrared range are being actively discussed. Various authors associate TiO2 luminescence with various mechanisms: from the recombination of autolocalized excitons to the mechanism in which an electron bound to a donor impurity recombines on a hole bound to an acceptor impurity (the so-called luminescence of distant donor-acceptor pairs).
In this work, a simple model is proposed that allows one to identify the power-law decays of the luminescrence signal in TiO2 micropowders with the emission of donor-acceptor pairs located in the volume of microcrystals. Based on this model, the change in the power-law decay of the luminescence signal of donor-acceptor pairs in nanopowders is described within the framework of nonradiative recombination associated with the surface. The presented experimental results are promissing for fullu optical detection of toxic TiO2 nanoparticles in the well known E171 food aditive.

 

 

a) Luminescence decay for so-called green luminescence band at 2.3 eV, measured for a micropowder (grey curve), and its approximation by a power-law t-x dependence with x = 0.8 (red dashed line). b) Luminescence signal decay of the same band, measured for the toxic nanopowder (grey curve), and approximation of its fragments by power dependences with x = 0.5 (yellow dashed line) and x = 1.44 (red dashed line).

V.S. Krivobok et al.
JETP Letters 112, issue 8 (2020)

The planar phase of superfluid 3He has two Dirac points in the quasiparticle spectrum – the Berry phase monopoles. The quasiparticles with fixed spin behave as Weyl fermions. While in the chiral superfluid  $^3He$-A the spin-up and spin-down fermions
have the same chirality, in the planar phase these fermions have opposite chiralities forming massless Dirac fermions. As in 3He-A, the Dirac fermions experience effective gravity and gauge field produced by the deformation of the superfluid order parameter.
In both superfluid phases the primary variables, which give rise to the effective metric acting on Weyl and Dirac particles, are the vielbein fields. As distinct from the 4 x 4 matrix in the conventional tetrad gravity and in the effective gravity emerging in  $^3He$-A, the vielbein field in the planar phase has mixed dimensions: it is the 4 x 5 matrix.
The planar phase has the analog of Dirac magnetic monopole in the real space. In this monopole, the Dirac strings of different chirality compensate each other. In the presence of the monopole the effective metric describes the conical spacetime
produced by the global monopole in general relativity. But instead of the solid angle deficit, the effective spacetime in the planar phase has the solid angle excess, which corresponds to the repulsive gravity, G < 0.

 

 G.E. Volovik 

JETP  Letters 112, issue 9  (2020) 

    

The question of the influence of potential disorder on superconductivity has a rich research history dating back to the celebrated Anderson theorem about the insensitivity of the superconducting critical temperature to the disorder strength. However, a large body of empirical evidence indicates that the transition temperature is typically suppressed with disorder, which is in particular prominent for superconducting films of a mesoscopic thickness. This effect is conventionally attributed to disorder-related enhancement of Coulomb repulsion, which provides a negative contribution to the Cooper coupling, thus suppressing superconductivity.

Quantitative study of this effect in the assumption of a two-dimensional diffusive nature of electron motion was done in 1980ies by a number of authors. The first-order correction was later generalized by Finkel'stein, who derived a non-perturbative expression for the critical temperature degradation as a function of the sheet resistance of the film. The latter has become a widespread tool for fitting experimental data.

In this work, based on the theoretical treatment accompanied by the analysis of experimental data, it is argued that for the substantial fraction of superconducting films the main contribution to the critical temperature suppression stems from the region of three-dimensional ballistics rather than two-dimensional diffusion. The ballistic effects are governed by the parameter $k_F l$ (where $k_F$ is Fermi momentum and $l$ is the mean free path), which is a measure of the proximity to the three-dimensional Anderson localization.

Suppression of the critical temperature is given by the integral over the momentum $q$ carried by the electron-electron interaction. The figure is a sketch of the corresponding integrand. The integral is logarithmic in the region of two-dimensional diffusion, $q < 1/d$ ($d$ is the film thickness). It linearly diverges in the three-dimensional region $q>1/d$, extending from the diffusion to the ballistic region with a different numerical coefficient. Therefore the main contribution comes from the upper cutoff at $q \sim k_F$.

 

Antonenko D.S., Skvotsov M.A.
JETP Letters 112, issue 7 (2020)

Balancing an inverted pendulum subject to a given time-dependent horizontal force is a famous mathematical challenge known as the Whitney problem. For any initial and final position of the pendulum in the upper half-plane, there exists a trajectory that remains in the upper half-plane at the entire time interval. Remarkably, a non-falling solution to the Whitney problem is unique.

Assuming that the horizontal force is a random process, a formal mathematical problem of the existence of a non-falling trajectory gets translated into the context of stochastic dynamics, with the main goal of describing statistical properties of such a non-falling trajectory. Quite unexpectedly, the latter formulation has many notable connections with other mathematical physics problems: control theory, Burgers turbulence, theory of minimizers, rear events in stochastic differential equations, disordered superconductivity, etc.

A new analytical method for describing statistics of the never-falling trajectory on an infinite time interval has been recently developed by the authors of this Letter, in the framework of a supersymmetric field-theoretical approach to stochastic dynamics. In this Letter, the technique is generalized to finite time intervals and different-time correlation functions on the non-falling trajectory. In particular, it allows determining the Lyapunov exponent, which governs decay of memory correlations on the non-falling trajectory.

 

Examples of non-falling trajectories for the pendulum equation of motion obtained for two time intervals and the same horizontal force (a), (b). Shown are 25 such trajectories with five initial and five final positions in the upper half-plane. The memory of the boundary is lost exponentially with the rate determined by the Lyapunov exponent. (c) An inverted pendulum under the action of a horizontal force.

 

Stepanov N.A., Skvotsov M.A.
JETP Letters 112, issue 6 (2020)

The Standard Model unequivocally predicts parity violation in high energy hadronic interactions of polarized hadrons. However, the experimental confirmation of this prediction is still elusive. One of the possible observables is the parity violating single-spin asymmetry in scattering of the longitudinally polarized protons and deuterons. High intensity polarized beams will be available at NICA facility under construction at JINR, Dubna. The reported estimates of asymmetries in polarized proton-deuteron scattering are an extension of systematic analysis [1,2] of possibilities of experiments at NICA. Experimental observation of asymmetries in the total cross sections, expected to be well below 10-7 , is extremely challenging, and it is suggested to take advantage of substantial enhancement of asymmetry in elastic scattering. In the case of polarized deuterons, similar enhancement is shown to persist in the deuteron dissociation channel.

[1]  I.A. Koop, A.I. Milstein, N.N. Nikolaev, A.S. Popov, S.G. Salnikov, P.Yu. Shatunov, Yu.M. Shatunov, Strategies for Probing P-Parity Violation in Nuclear Collisions at the NICA
       Accelerator Facility, Physics of Particles and Nuclei Letters, 17(2), 154-159 (2020)
       [2]  A.I. Milshtein, N.N. Nikolaev, S.G. Salnikov,  Parity Violation in Proton–Proton Scattering at High Energies, JETP Letters, 111(4), 197-200 (2020)

A.I. Milshtein, N.N. Nikolaev, S.G. Salnikov,  Parity Violation in Proton–Proton Scattering at High Energies

JETP Letters 112, issue 6 (2020)

Bilayer graphene nanoribbons (BGNR) are quasi one dimensional materials which have a wide variety of properties depending on their width, geometry of edges, defects and external influences, such as mechanical deformations or electric and magnetic fields. Combination of nanoribbons with various properties can open wide prospects of their use as two dimensional electronic devices.

This work aims to investigate electronic transport in BGNR with a pore by means of the wave packet dynamics method. Wave packet (WP) is injected from metallic electrode to the BGNR and interacts with atomic structure of nanoribbon and with nonopore. The results of these calculations are the time dependent wave functions. Two types of system were considered where the electrode is connected with: (i) both layers, and (ii) with only one layer. Time dependent currents through the BGNR cross-sections were obtained, both ahead of and behind the hole. It was shown that the presence of nanopore is important for the WP propagation: it complicates the pattern of WP spreading and leads to localized states formation on the pore (Fig.1). For type (ii) connection to electrode, the nanopore plays a role of the signal separator. Currents flow after passing the nanopore are significantly different in each layer.

The propagation of the wave packet is influenced by many parameters of the nanoribbon, such as its width, hole geometry, defects, type of connection to electrode etc. This study may be the first prerequisite for potential use of such objects as elements of electronic circuits

 

Figure 1. Wave packet probability density in the bilayer graphene nanoribbon with a hole, in the layer connected to the electrode (left), and in the layer unconnected (right) at t = 4.2 fs

V.A. Demin, D.G. Kvashnin, P. Vancso, G. Mark, L.A. Chernozatonskii
JETP Letters 112, issue 5 (2020)

 

The process of spontaneous parametric down-conversion (SPDC) is a significant source of biphotons. Biphoton is a pair of quantum – correlated photons. Due to the high degree of correlation, biphotons are used in many areas such as quantum processing, quantum tomography, spectroscopy, etc. Recently, the generation of optical - terahertz biphotons under strongly frequency-non-degenerate parametric down-conversion has attracted more attention.
The paper proposes an approach that allows using the same detector with a limited dynamic range for the registration of terahertz radiation under parametric down-conversion (PDC) at a different parametric gain. This approach is based on the change of the wavelength of the optical pump and can be used to achieve the spontaneous PDC to obtain optical – terahertz biphotons with a high degree of correlation. By doubling the frequency of a pulsed laser source, we experimentally demonstrated a decrease of the parametric gain more than fivefold in the minimum value, at which terahertz (idler) radiation can be detected against the background of detector noises. The terahertz radiation generated by the PDC was detected under the record low parametric gain conditions.

 

 

The experimental setup for the generation a terahertz - optical biphotons and idler radiation detecting terahertz frequency power at the PR in two modes at the pump wavelength $\lambda_p$ = 1046.7nm and $\lambda_p$  = 523.35 nm

 

V.D. Sultanov, K.A. Kuznetsov, A.A. Leontyev and G.Kh. Kitaeva
JETP Letters 112, issue 5 (2020)

 

In 1984, a new type of superfluidity was discovered at the Kapitza Institute for Physical Problems - spin superfluidity [1]. In this effect, magnetization is carried on a long distance by the superfluid current of magnons - elementary quasiparticles of magnetization in the Bose condensed state. This phenomenon was discovered in superfluid 3He at temperatures below 2mK. Magnetic analogs of all superfluid effects such as the Josephson effect, quantum vortices, second sound, critical speed, etc. were experimentally demonstrated.  However, the application of these effects was difficult because of the very low temperature of superfluid 3He. The basis of spin superfluidity is the Bose condensation of magnons and its stability upon the spatial superflow. The latter is provided by the repulsion interaction between magnons.  A similar repulsive interaction between magnons also exists in yttrium iron garnet (YIG) films, magnetized perpendicular to the plane. In this letter, we have demonstrated a spatial magnon supercurrent similar to that observed in 3He. Remarkably, the effect was found at room temperature!

The YIG film was placed in a magnetic field gradient. Magnetic resonance was excited in the region of strip 1 when the pumping frequency corresponded to the perpendicular field (B). With a decrease in the field, a magnon BEC was formed, which filled the entire space with a field less than that corresponding to the resonance field. In field (A), the magnon BEC reached the region of strip 2 and induced in it a radiation signal. Thus, it was shown that the magnon supercurrent transports the precessing magnetization from region B to region A.

[1] G. E. Volovik, J. Low Temp. Phys., 153,  266  (2008) .

 

P. M. Vetoshko, G. A. Knyazev, A. N. Kuzmichev, A. A. Cholin,  V. I. Belotelov, Yu. M. Bunkov

  JETP Letters 112, issue 5 (2020).

 

The development of the ultrafast magnetooptics during the last 15 years results in a new fundamental knowledge on the ultrafast interaction of light and magnetic materials and also in a very important practically possibility to increase the speed of writing/reading processes in computers by a factor of 105-106. Several groups in the world have found long-living magnetic oscillations after femtosecond laser pump, for example in FeBO3 [1]. Within a phenomenological approach, this effect has been explained as the inverse Faraday effect. In our paper we demonstrate such oscillations within the microscopic model of the magnetic insulator with two possible multielectron terms at each cation site. The terms have different spin values and form local polarons due to electron-phonon interactions with vibrations of local anions. We assume that the femtosecond pumping by the very fast charge-transfer excitations results in a switching of the initial high spin term of cation into the exited low spin term, and the dynamics of the excited state is studied within the master equation for the reduced density matrix. In the figure we demonstrate the dynamics of 3 material parameters: the concentration of high spin terms (blue line), sublattice magnetization (red line), and variation of the cation-oxygen bond length (black line). The time scale is given in ps. One can see the generation of vibrons during the relaxation. After 1 ps all parameters reach their equilibrium values typical for the high spin state, and the magnetization demonstrates long-living oscillations.

 

1.       A.M. Kalashnikova, A.V.Kimel, R.V.Pisarev, V.N.Gridnev, A.Kirilyuk, Th. Rasing, Phys. Rev. Lett. 99, 167205 (2007). https://doi.org/10.1103/PhysRevLett.99.167205

 

Yu.S. Orlov, S.V. Nikolaev, S.G. Ovchinnikov and A.I. Nesterov
JETP Letters 112, issue 4 (2020)

 

 

HgTe quantum wells proved to be the most interesting and fundamental objects of modern condense matter physics due to their unique property of realization of five kinds of two-dimensional (2D) electron systems depending on the well thickness: a 2D insulator with the direct gap, a single valley 2D Weyl semimetal, a 2D topological insulator, a 2D semimetal and a 2D metal. In fact, the indicated property comes from relativistic effects that play a key role in the formation of the HgTe energy spectrum. In our work the results of the experimental study of photo- and thermoelectric effects in 2D topological insulators and 2D semimetals are reported. The most deep and important effect predicted in few theoretical papers and found in our studies is the circular photogalvanic effect in the 2D topological insulator. Figure shows the geometry of the experiment. Circularly polarized terahertz radiation illuminates the surface of the HgTe-based 2D topological insulator and generates a chiral spin photocurrent along the edge of the quantum well.  This photocurrent is generated just due to the topological helical nature of edge states of the 2D topological insulator. Circular irradiation breaks equilibrium between chiral currents of opposite directions and transforms the equilibrium helical state into non-equilibrium chiral one.

 

Z.D. Kvon, M.L. Savchenko, D.A.Kozlov

JETP Letters 112, issue 3 (2020)

It was shown recently that such a well-known quasi-one-dimensional conductor as (TaSe$_4)_2$I is a Weyl semimetal. Do the properties associated with the topological non-triviality of this material survive in the Peierls state when the Weyl points disappear because of the Peierls gap opening? In this letter, we  present the results of such an investigation performed on (TaSe$_4)_2$I crystals. Longitudinal magnetoresistance of studied samples in all known modes of charge-density wave motion (pinned, creeping, sliding and the ''Fröhlich superconductivity'' ) is small, positive and thus reveals no signature of the chiral anomaly. In order to check a possible contribution of charge density wave defects (dislocations, solitons), similar measurements were undertaken in focused ion beam shaped samples. In such samples, charge-density wave current motion is spatially nonuniform and accompanied by nucleation of numerous charge-density wave defects. A weak localization-like non-parabolic longitudinal magnetoresistance is found to appear in relatively small magnetic fields $B\lesssim 4$ T in the nonlinear conduction regime in the temperature range 70-120 K, whereas weak antilocalization-like behavior dominates at lower temperatures in such samples.  Possible role of the charge-density wave defects is analyzed. Our results differ significantly from ones obtained earlier and raise the question concerning conditions for observation of the chiral anomaly in Weyl semimetals in the Peierls state.

Image of a focused-ion beam pro led sample (W-type sample)

 

a) Temperature evolution of the longitudinal magnetoresistance in CDW sliding regime. (b-c) Evolution of the negative magnetoresistance contribution with temperature (b) and the electric field (c). W-type sample.

 

 

I.A. Cohn, S.G. Zybtsev, A.P. Orlov and S.V. Zaitsev-Zotov
JETP Letters 112, issue 3 (2020)

 

The potential energy of a particle in external field is uniquely expressed through the wave function of the ground state provided it has a discrete energy level. This property, based on the oscillation theorem, allows one to investigate a wide class of model potentials by setting the explicit wave functions of the ground state. Some of these model potentials have physical realizations. For many such realizations the ground-state energy is pinned at zero and does not change with variation of one or several parameters describing the potential.

Using the proposed inverse-problem method we study several classes of potentials in one, two or three dimensions: the potentials with a barrier and one discrete energy level, the crater-like potentials with possible application in string theory, the instanton-type potentials with two local minima. A vivid manifestation of the effectiveness of the proposed method is its application to the solution of nonlinear Schrodinger equation. We show that the energy of a stationary two-soliton solution of this equation coincides with the energy of one-soliton solution. This means that the decay of a soliton into two solitons happens without the change of energy, the latter is even independent on the distance between the solitons.

 

The one and  two-soliton solutions of the Schrodinger equation (dashed lines) with corresponding potentials (solid lines). They have the same energy E=-1, denoted by the solid green line. This plot illustrates the independence of this energy level on the number of solitons and on the distance between them, as obtained using the proposed method.

 

 

A.M.Dyugaev and P. D. Grigoriev 
JETP Letters 112, issue3 (2020)

The Goos-Hanchen (GH) effect is the lateral shift of the totally internally reflected light beam with respect to its specular point. The potential applications of the GH effect include chemical and biological sensors, as well as all-optical switching, which motivates numerous studies aiming at achieving higher GH shift values and providing control over them.
    Recently, it has been shown that when a quasi-localized eigenmode is resonantly excited in the medium, the spatial shift of the reflected beam may become comparable with its width, which has been referred to as a ’giant’ GH effect. In the current study, we consider the scattering of an incident TE-polarized light beam on a layered dielectric structure (see Fig. 1), which enables the lateral propagation of the localized eigenmode and allows for the giant GH shift, analogous to the plasmonic mechanism of a giant GH effect. On the other hand, in the considered setup, unlike the plasmonic system, the GH shift takes place not only for the reflected beam, but also for the transmitted one, thus providing additional functionalities.

Left panel: Planar dielectric structure considered in this work. The permittivities of the background and guiding layer are higher than the permittivity of the cladding layers, which play the role of a tunnel barrier between the guiding core and the background.
 Right panel: GH shift $\Delta x_{tr}$ for the transmitted radiation as a function of parameters $a$ and $\alpha$. Reversing the sign of $\alpha$ (which corresponds to changing focusing lens to defocusing one) leads to the reversal of the $\Delta x_{tr}$ sign.

In our letter, we show that the GH shift of the reflected and transmitted radiation can be easily controlled by  spatial modulation of the phase front of the incident light beam. Figure 1 (right panel) shows the dependence of the GH shift for the transmitted light on the incidentbeam parameters (namely, the beam width $a$ and the curvature of the phase front $\alpha$, supposing that the impinging beam has a Gaussian form $E_{inc} = \exp ( -0.5x^2/a^2 - 0.5i\alpha x^2)$). As it seen, square-law modulation of the phase front, which can be achieved by focusing/defocusing lensing, considerably changes the GH shift and can even reverse its sign, which is impossible for the beams with the flat phase front.
 

A. A. Zharov,  N. A. Zharova, and A. A. Zharov
JETP Letters 112, issue 3 (2020)

 

The detection of long-lived magnetoexciton levels in the QHE regime attracts interest for studying the formation of the so-called non-stationary condensate, that is, a system driven from equilibrium by an external force.  The appearance of a highly coherent state is caused by accumulation of a large number of magnetoexcitons with integer spin in a small region of the phase space.

 This work is devoted to the study of the extraordinary behavior of the Raman's anti-Stokes scattering signal in ZnO based 2DES with strong correlation.   At low temperatures (T ~ 0.35 K), this spectral line has an anomalously high intensity. It is shown that its origin may be associated with the appearance of long-lived magnetoexciton levels. Potentially, such levels can cause the formation of non-stationary condensate.

 

 Figure 1. Raman spectrum showing Stokes and anti-Stokes scattering signals. Note that the anti-Stokes scattering signal has a gigantic intensity, ten orders of magnitude greater than that expected at such a low temperature (T ~ 0.35 K).

 

 

 B.D.Kaisin, A.B.Van'kov, I.V.Kukushkin

JETP Letters 112, issue 1 (2020)

 

A wealth of fundamental physical phenomena as well as related applications suffer from inherently weak light-matter interactions during involved physical processes. Prime examples include – hardly related at the first glance - Raman scattering of light and detection of far-infrared and THz electromagnetic waves. While the former process has a deeply fundamental limitation of the scattering cross-section, the drawbacks of the latter application arise from the low sensitivity of even state-of-art detectors operating at room temperature conditions.

A widely recognized approach for amplification of Raman signal is a surface-enhancement Raman scattering (SERS) which nevertheless is mostly limited to optical frequencies ranging from UV to the red part of the visible region. The upcoming Letter continues the research of SERS-like effects with metal-dielectric metasurfaces possesing 3D sub-micron features. An exceptionally strong local enhancement of a laser light field (wavelength 1064 nm) is demonstrated along with optimal structure design. The findings not only pave the way for future applications in biosensing but also serve as a bridge for extending the field enhancement approach into the region of far-infrared and THz frequencies.

 

 

V.I. Kukushkin et al.

JETP Letters 112, issue 1 (2020).

In three-dimensional systems magnetic susceptibility of itinerant electrons is determined by competition of two eects: Landau diamagnetism and Pauli paramagnetism, both being band-structure dependent and modied by electron-electron interactions. In
order to determine whichever of them wins, a precise magnetometry is required. In two-dimensional (2D) systems magnetic measurements are challenging due to small number of carriers and inevitable contribution of the substrate. Gated two-dimensional systems allow for measurements of the magnetization derivative with respect to the carrier density [Prus et al. Phys. Rev. B 67, 205407 (2003)]. We conducted such measurements in a 2D system in narrow HgTe quantum wells, with electron spectrum consisting of gapped Dirac carriers accompanied by valleys of heavy holes. We found that paramagnetism wins for both types of carriers (Dirac and heavy holes). These ndings should motivate development of a theory for itinerant electron magnetism in systems with strong spin-orbit coupling.

 



A.Yu. Kuntsevich, Y.V. Tupikov, S.A. Dvoretskii,N.N. Mikhailov, M Reznikov,

JETP Letters111, issue 11 (2020)
 

For the edge states in two-dimensional electronic systems to be realized, a spin-orbit interaction, as well as an inverted band structure must occur. In this case, the effects of covalent mixing lead to a strong entanglement of the valence band states and the conduction band states. The inversion condition noted above also plays an important role in the formation of an excitonic insulator (EI), when the spontaneous occurrence of an excitonic order parameter (EOP) is accompanied by the generation of a hybridization interaction between the states of the valence band and the conduction band. Therefore, there is also a significant confusion of the states of these bands in the EI. Correspondingly, one can expect that the edge states can also occur in the EI in case the spin-orbit interaction will be taken into account.

Using the model of the energy structure of the HgTe quantum well, the effect of intersite Coulomb interaction on the energy spectrum was studied. In the case when only density-density Coulomb interaction has been taken into account, there were three phases with s -, d - and p - type of the EOP symmetry. Metastable p-phase was topologically nontrivial. The ground state had s-type of symmetry, for which there were no edge states.

When the exchange part of Coulomb interaction is considered, a mixed s+d-phase becomes the ground state of the EI. In this case, EOP is described by a superposition of s - and d– basis functions. An important feature of the mixed s+d - phase of EI implies that the
topological invariant has zero value, nevertheless the edge states are realized for the open system.
 

Dispersion relation of the excitonic insulator with the spin-orbit interaction. The excitonic order parameter has s+d symmetry. It is significant that there are two middle branches of the dispersion relation, plotted in green (red). In the vicinity of the crossing, the two middle eigenstates have energies deep inside the bulk gap, and so their wave functions are concentrated at the edges. These wave functions describe edge states of s+d- EI with spin-orbit interaction.

V.V. Val’kov

JETP Letters 111, issue11 (2020)

 

In quantum cryptography, in addition to attacks on transmitted quantum states, it is possible to detect states in the side channels of information leakage. Without taking into account information leakage via side channels, it is impossible to seriously talk about the secrecy of keys in real quantum cryptography systems. A quantum-mechanical method is proposed for taking into account the leakage of key information through side channels — detection of electromagnetic side radiation, active sensing of a phase modulator at a transmitting station, and back reemission of avalanche detectors on the receiving side. The method takes into account joint collective measurements of quantum states in all channels of information leakage and works at any intensity and structure of states in side channels.

The choice of special basis functions of an prolate spheroid allows one to ''sew'' a quantum and classical description of signals in side channels. A connection has been established between the leak of information and the Holevo fundamental value, and a transparent and intuitively clear interpretation on the physical level of the results has been given.

Figure 1a) shows the dependences of the length of the secret key for various ratios of the average number of photons in the state $k$ noise dispersion $\frac{\overline{M}}{\sigma_M}$, $\overline{M}=\frac{M_{1}-M_{0}}{2}$. In the classical case, instead of the number of photons, the signal energy in the frequency band ($ E_s $) is used, similarly signal dispersion is expressed in terms of the noise intensity in the frequency band. In this case, there is a correspondence $\hbar\Omega \overline{M} \rightarrow E_s $ and $ \hbar \Omega \sigma \rightarrow \frac {N_ {noise}}{2} $. In this notation, the key length becomes the function $ \ell \left (\frac{E_s}{N_{noise}} \right) $.

It can be seen from Fig. 1a) that even without an attack on informational quantum states with a large signal-to-noise ratio, there is a good distinguishability of states (for example, curve 1 ($ \frac{\overline{M}}{\sigma_M} = 0.5 $, $ \left (\frac{E_s}{N_{noise}} \right) $)) even with a small number of photons in the side state $ \overline{M}\approx 5 $, the key length tends to zero. The eavesdropper, detecting states only in the side channel, and without making errors on the receiving side, will know the whole key. With a small signal-to-noise ratio (curve 4 of Fig. 1a)) - poor distinguishability of states allows one to obtain a key even with a large average number of photons ($ \overline{M}> 20 $) in a side state.

a) The length of the secret key when detecting only the side radiation of the transmitting station as a function of the average number of photons $\overline{M}$ for different signal-to-noise ratios $\frac{\overline{M}}{\sigma_M}$ $\left(\frac{E_s}{N_{noise}}\right)$ -- the average number of photons to the dispersion. Parameter $\frac{\overline{M}}{\sigma_M}$ $\left(\frac{E_s}{N_{noise}}\right)$ for curves 1--4 next: 1 -- 0.5; 2 -- 0.2; 3 -- 0.1; 4 -- 0.05.
b) The length of the secret key when attacking information States and actively probing the phase modulator on transmitting station. The $\mu_P$ parameter for curves 1--4: 1 -- 0.001, 2 -- 0.05, 3 -- 0.1, 4 -- 0.25.

 

S.N.Molotkov
JETP Letters 111, issue 11 (2020)

 

 

In 1959 Aharonov and Bohm [1] proposed series of experiments that demonstrate the physical significance of electromagnetic potentials. In classical electrodynamics, these quantities play the role of mathematical auxiliary quantities whereas the electric and magnetic fields have a physical sense solely. In quantum mechanics, potentials possess a primary role. To observe the Aharonov - Bohm effect (AB), it is necessary to have regions free of electromagnetic field but with non-zero potential. Unipolar pulses, in contrast to conventional bipolar multi-cycle pulses, have non vanishing electric area S_E≡∫E(t)dt ( E(t) is the electric field strength, t is the time) [2]. This means that unipolar pulse in vacuum changes the value of the vector potential A. Thus, a unipolar light pulse allows observation of the optical AB effect.

The experimental setup of the “electronic interferometer” proposed in [1] is shown in Fig.1. The plane electron wave 1 is divided by splitter 2 into the two packets, which after the refraction in prisms 3 and 4, pass through two spatially separated regions (shoulders of the electron interferometer). Then packets are directed by prisms 5 and 6 to the screen 7.

In our optical variant, a unipolar pulse 8 passes in one of the arms of interferometer before the appearance of the electronic packet. The radiation pulse is ahead of the packet and does not intersect it. Thus the packet will have to interact with a constant vector potential, which was created by unipolar pulse and the wave function of the electrons should change the phase. In this case, on the screen 7 one will observe the shift of the interference fringes relative to their position in the absence of the pulse.

Besides the fundamental interest to AB effect, its optical analogue, in our opinion, can be used for the measurement of electric area of unipolar pulses.

 

Fig.1. Scheme of the proposed experiment to observe the Aharonov-Bohm effect with unipolar optical pulse, which is the source of vector potential.


1. Y. Aharonov, D. Bohm, Physical Review 115, 485 (1959).
2. N. N. Rosanov, R. M. Arkhipov, M.V. Arkhipov, Phys. Usp. 61, 1227 (2018).

M.V. Arkhipov, R.M. Arkhipov, N.N. Rosanov

JETP Letters 111, issue 12 (2020)

 

Remarkable effect of microwave irradiation of two-dimensional electron systems is the appearance of giant magnetoresistance oscillations with the resistance tending to zero in the main minima. There are different approaches proposed to explain this effect, which predict similar resistance oscillations both in the shape and position. Their applicability is still debated. One of them is based on the non-equilibrium electron  energy distribution under the radiation. We have employed a different from magneto-transport experimental technique which is sensitive namely to such a distribution. The measurements are carried out with samples of field-effect transistors (FETs) with a channel comprising two 2D electron layers (subbands) located at different distances from the gate. Non-equilibrium occupation of electronic states leads to microwave induced electron redistribution between the layers which causes ac current between the gate and channel when the microwave power is modulated. Theoretical analysis shows that the redistribution oscillates as a function of magnetic field and is described by a product of two harmonic functions with frequencies determined by commensurability of either the subband energy separation or photon energy with the cyclotron splitting. Such oscillation pattern with the beating node has been observed in our experiment (see Fig.) giving convincing evidence of the non-equilibrium electron distribution in energy.

The figure shows our main experimental result and the measurement layout (inset). GaAs/AlGaAs FET is irradiated by microwaves which power is modulated at a frequency fmod. The ac  photocurrent Iphoto of frequency fmod between the gate and the channel, comprising two layers L1 and L2, is converted into the ac voltage and detected by the Lock-in amplifier.

 

S.I.Dorozhkin

JETP Letters 111, issue 10 (2020)

 

 

Over the past decade, the unique properties of HgTe/CdHgTe quantum well heterostructures and their potential for practical applications in terahertz electronics and optoelectronics have been discovered and intensively studied. One of the problems impeding the advancement into the terahertz range is the carrier lifetime decrease due to recombination via impurity-defect centers, i.e. by the Shockley – Reed – Hall mechanism. It is generally accepted that the most common point defect in CdHgTe ternary alloys is a double acceptor formed by a mercury vacancy. It is natural to expect the presence of such a vacancy in HgTe/CdHgTe quantum well heterostructures. To date, only a few works investigated “below bandgap” features in the photoconductivity and photoluminescence spectra. Moreover, the relationship between the observed features and the mercury vacancy states was based on calculations only.

In this Letter, we experimentally demonstrated that the interplay “below bandgap” features in the photoconductivity spectra of HgTe/CdHgTe QW heterostructures results from the ionization of a double acceptor rather than the ionization of the states of two different single-charged acceptors. To do so, the Fermi level was driven though the bandgap by dosed blue light illumination exploiting the effect of persistent photoconductivity.

Photoconductivity spectra in the HgTe/CdHgTe heterostructure obtained under dark conditions (lower curve) and after short illuminations with blue light. Bands a and b are the observed “below bandgap” features. Transition schemes with different Fermi levels positions are shown near the spectra. The absence of the band b in the lower spectrum (when the Fermi level is in the valence band) is just the evidence that the observed features are associated with the ionization of a double acceptor.

                      Nikolaev I.D. et al.

JETP Letters 111, issue 10 (2020)

 


 

 

As distinct from the quantized vortices in mass superfluids, which have quantized circulation of superfluid velocity, the spin vortices in antiferromagnets have quantized circulation of spin current. That is why in the rotating container with superfluid liquid the lattice of quantized vortices represents the ground or equilibrium state of the liquid. On the other hand, in the rotating antiferromagnets the spin vortices are not formed, because the orbital rotation does not act on the spin currents.

Here we discuss the spin vortices in the spin triplet p-wave superfluids. We show that under certain conditions the lattice of spin vortices can be formed in the rotating vessel. The first condition is the applied sufficiently large magnetic field.

The second condition is that the formation of the mass vortices must be suppressed. This condition is not the problem for some phases of superfluid 3He (the superfluid 3He-B and the polar phase). In both phases there is a large barrier for the creation of mass vortices. In experiments, the mass vortices are created under rotation if either the large critical velocity is exceeded, or if the liquid is cooled down from the normal state to the superfluid state under rotation.

If the mass vortices are not formed, the superfluid in the rotating state vessel is in the Landau vortex-free state. In this state one has the counterflow of the normal and superfluid components of the liquid: the normal component experiences the solid body rotation, while the superfluid component is at rest. In the presence of magnetic field, the spin vortices feel the effect of rotation from the rotating counterflow and form the spin vortex lattice with low density.

 

 G.E. Volovik                                           

JETP  Letters 111, issue 10  (2020)       


 


 

Creating a fully functional multi-qubit quantum computer using superconducting, qubits is a difficult problem due to the relatively short lifetime of superconducting qubits  several hundred microseconds. Such a computer requires efficient multi-qubit quantum memory with significantly longer lifetime. The quantum memory can be created with high Q microwave resonators which enable increasing the lifetime of qubits to tens of milliseconds. Previous studies [S.A. Moiseev, K.I. Gerasimov, R.R. Latypov, N.S. Perminov, K.V. Petrovnin, and O.N. Sherstyukov. Scientific Reports, 8, 3982 (2018)] have shown that the system of coupled resonators with a periodic spectral structure of resonance lines is capable of playing the role of a highly efficient quantum memory and interface. Due to the spectral optimization, such multiresonator systems can efficiency store short pulses of arbitrary temporal modes in a wide spectral range.

In this letter, we study the multiresonator quantum memory connected to an external resonator via a controlled switchable coupling. The memory block includes 3 resonators connected with a common resonator, whose coupling  k(t) with an external resonator can be controlled in time (see Fig. 1). Using algebraic methods, we  found a single set of optimal  spectroscopic parameters of the resonators and its coupling constants which show the possibility of highly efficient controlled reversible transfer of information into the memory block and its multi-cycle storage after decoupling with external resonator (k(t)=0). The presence of switchable coupling allows use of the multiresonator system both for the longer quantum storage and quantum processing of the stored quantum state on the memory resonators.

 

Fig.1. A quantum memory with three resonators x1, 2, 3 (t) of initial frequencies (D, 0,- D) connected to resonators y1 and y2 having frequencies (0,0), coupling through the switch k (t). For switched off coupling k(t)≠0, the loading/unloading the field from the mode y2(t) to the memory block is implemented. When the coupling k(t)=0 is turned off, the regime of cyclic energy exchange between the resonator modes y1(t) and x1,2,3(t) performs reversible processing of the stored state.

 

S.A. Moiseev and N.S. Perminov

JETP Letters 111, issue 9 (2020).

In modern biology and medicine, increasing attention is paid to the development of  optical visualization methods for   processes occurring at the cellular level. For this purpose, specially synthesized particles with intense luminescent properties are introduced into cells and biotissues. At the same time, one of the main problems that inhibit the development of entire areas of molecular biology and biomedicine is the separation of the useful signal against the background of so-called autofluorescence (the fluorescence of natural fluorophores of biological tissue), whose spectrum overlaps with the photoluminescence spectrum of the nanoparticles themselves. One of the most promising ways to solve this problem is time-resolved spectroscopy. Since the fluorescence lifetime of natural fluorophores is usually units of nanoseconds, for successful visualization it is necessary to use nanoparticles with the lifetime of radiative states lying in the micro- and millisecond range. In this context, ions of rare earth element are very promising, since they have relatively long-lived excited states

 

The authors of this paper study new solid solutions based on the low-temperature modification of the NaGdF4 matrix doped with europium ions. The combination of small sizes of the crystalline particles and the presence of alloying impurities provides high efficiency and stability of luminescence of such materials.

The paper presents the results of the Judd - Ofelt theory application for determining the lifetime of excited states of NaGdF4:Eu solid solutions  from their integral luminescence spectra. A good agreement between the experimentally measured and theoretically calculated lifetime values of the excited states of these complexes in suspensions showed the adequacy of the Judd - Ofelt model for describing photophysical processes in samples. The application of the Judd - Ofelt theory enables  to estimate the lifetime of radiative states in solid solutions of rare earth elements without resorting to direct measurement of the luminescence lifetime; therefore, such approach  can be used by researchers in the absence of appropriate experimental equipment. The obtained results indicate the prospects of using solid solutions of NaGdF4:Eu for optical imaging in biotissues by time-resolved spectroscopy.

 

S.. Burikov et.al.

JETP Letters 111, issue 9 (2020).

 

 

In the two-dimensional turbulence there is a tendency to form larger and larger eddies, that leads to formation of the so-called inverse cascade. In the homogeneous case, a chaotic flow with stationary statistics is realized. However, inhomogeneity (say, presence of walls) could lead to appearing coherent structures with well-defined mean flow. Here we demonstrated possibility of arising the coherent vortex around a rotating disc immersed into a two-dimensional turbulent flow. We found the radial profile of the mean azimuthal velocity in such vortex.

As it was shown in our previous works, a coherent vortex without a solid disc inside is characterized by the profile with constant velocity. The mean velocity amplitude is determined by the energy production rate per unit mass and the bottom friction coefficient. The immersed uniformly rotating disc, whose axis coincides with the center of the vortex, imposes boundary conditions for the flow. We showed that the presence of the disc does not destroy the vortex, and the mean velocity amplitude tends to its unperturbed value far from the disc. We found how the disc changes the flow in its vicinity in case the velocity of the disc rotation is not equal to the asymptotic value of the mean velocity.

 

 

 

A.B.Buzovkin, I.V.Kolokolov, V.V. Lebedev, S. S.Vergeles

JETP Letters 111, issue 8 (2020)

Due to the unique properties, carbon nanotubes (CNT) are currently of great interest for different applications. One of the promising areas is their use in electronics. CNTs have a wide variety of electronic properties from metallic to semiconducting, with a band gap up to 2 eV. Electronic properties of the nanotubes are entirely determined by their geometric structure. One of the most important problems of practical implementation of CNT is the complexity of the synthesis of CNT of a predefined geometry and, therefore, with desired properties.

Nanotubes with predefined width were experimentally obtained in 2013 from bilayer graphene in AA-package  [1]. Bilayer graphene nanoribbons were produced using transmission electron microscope. Interaction of electrons with the nanoribbon induces closure of the edges and thinning, leading to the formation of a single-wall nanotube with a diameter less than one nanometer.

This work is devoted to modelling of the new flattened carbon nanotubes (FCNT), which can be prepared from twisted bilayer graphene with the Moiré angle Θ=27.8°. Bilayer nanoribbons are cut out and their chemical active edges are folded, forming structures similar to the known compressed carbon nanotubes. We describe in detail the FCNT geometry. Ab-initio calculations show energy stability and Young modulus ~0.7 TPa of the new nanotubes. Electronic band structure analysis shows metallic type of conductivity for all new nanotubes except one semiconducting with the width of 14Å and energy gap Eg=0.2 eV (Fig.1a). Band gaps of other FCNT open under compression/stretching deformations.

We believe that such structures can be useful for nanoelectronics as transition bridges between two disordered graphene monolayers (Fig.1a) or as conductive channels between two bilayer graphene arrays (Fig.1b).

 

 

Figure 1. a) – FCNT connecting two disordered graphene monolayers, b) – conductive FCNT channel connecting two arrays of bilayer graphene with Θ=27.8°

[1]     G. Algara-Siller, A. Santana, R. Onions, M. Suyetin, J. Biskupek, E. Bichoutskaia, and U. Kaiser, Carbon 65, 80 (2013)

 

 Demin V.A., Artyukh A.A., Soroko V., Chernozatonskii L.A. 

JETP Letters 111, issue 7 (2020)

 

 

Turbulence in classical liquids is often encountered in real life and is important for numerous technical and engineering applications. A characteristic feature of turbulence is a complicated motion of liquid in the form of eddies carrying rotational motion at different length scales. Quantum fluids, like superfluid helium, ultracold atomic gases forming Bose-Einstein condensates and interior of neutron stars, can be involved in non-trivial rotating motion only when topological linear objects, quantized vortices, are formed. How is turbulence then structured in such quantum systems? It is believed currently, based on experimental, theoretical and numerical work that at length scales significantly exceeding the average vortex separation, turbulence in quantum systems can mimic that in classical fluids. But at scales smaller than the intervortex distance, turbulence looks completely differently: instead of turbulence of eddies one expects turbulence of oscillations of individual vortices, Kelvin waves.

There is no experimental data available on such turbulence so far and various approaches to its theoretical description resulted in a rather heated debate. With recent progress in experimental techniques, in particular in fabricating nanomechanical oscillators which can be used to agitate waves on individual vortices, one can hope for direct observation of the Kelvin-wave turbulence. In this letter, we provide expressions relating the amplitude of the waves with the energy flux needed to support such turbulence – one of the first relations required to interpret future experiments.

Example configurations of vortex lines, agitated to generate Kelvin waves. (a) A single vortex, attached to an oscillating device. (b) An array of vortices, stretched between parallel plates and agitated by shear or torsional oscillations of the plates.

 

 

Eltsov V.B., L'vov V.S.

JETP Letters 111, issue 7 (2020)

The effective detection of electromagnetic radiation in THz - near IR frequency band is the problem of interest due wide modern possibilities of application of such radiation: broadband communication systems, detectors for tracing concentrations of drugs and explosives, non-invasive diagnostics, near-field spectroscopy, surface studies using electronic paramagnetic resonance, etc.

In this letter, we propose a general physical approach to increase the sensitivity and selectivity of a number of THz and near-IR detectors. The essence of this approach is in the addition of a dielectric structure (resonator) under the conducting layer (“dielectric” plasma, metal, superconductor) that is opaque for an incident wave. This allows one to increase significantly both the field strength behind the mentioned layer and absorption in the conductor. The set of dielectric resonators separated by conductive layers forms the photonic crystal with the absorption band. The properties of such detector are governed by parameters of the dielectric and conducting layers.

The photonic crystal as a set of dielectric and conducting layers forming the band of THz radiation absorption in a given spectral range. Plots of absorption versus radiation frequency are given for different number of the layers in the structure.

 

A.E. Schegolev, A.M. Popov, A.V. Bogatskaya, P.M. Nikiforova, M.V. Tereshonok, N.V. Klenov

JETP Letters 111, issue 7 (2020)



 

       There are several scenarios of emergent gravity. Gravity may emerge in the vicinity of the topologically stable Weyl point; the analogue of curved spacetime emerges in hydrodynamics with the so-called acoustic metric for the propagating sound waves; etc. There are two very different scenarios, which however have unusual common property: the tetrad fields in these theories have dimension of inverse length. As a result, all the physical quantities which obey diffeomorphism invariance are dimensionless.

This was first noticed by Diakonov and Vladimirov in the scenario, where tetrad fields emerge as bilinear combinations of the fermionic fields. In another scenario, tetrads with dimension of inverse length emerge in the model of the superplastic vacuum. The reason is that the superplastic vacuum can be arbitrarily deformed, and the equilibrium size of the elementary cell is absent. There is no preferred microscopic length scale (such as Planck scale), and the distances (say, between the points A and C in Figure) are measured in terms of the integer positions of the nodes in the crystal.

In both systems, such physical quantities as Newton constant, scalar curvature, cosmological constant, particle masses, etc., are dimensionless.  Some of these physical quantities become integer-valued quantum numbers, which characterize the topology of quantum vacuum. Examples are the parameters describing the 3+1 dimensional quantum Hall effect in topological insulators and in the Nieh-Yan anomaly. 

 

   G.E. Volovik                                        

JETP  Letters 111, issue 7 (2020)       

Remarkable features of iron pnictide LiFeAs with critical temperature 17 K, such as superconductivity in stoichiometric state, absence of magnetism, and nontrivial band structure [1], still challenge experimenters. Unfortunately, the available experimental studies are not so numerous due to LiFeAs instability in the presence of water vapors or oxygen. In order to reveal the structure of the superconducting order parameter, here we used multiple Andreev reflection (MAR) spectroscopy. The superconductor-normal metal-superconductor (SnS) junctions with ballistic high-transparent barrier were produced by a break-junction technique [2,3]. This technique provides local probing bulk order parameter (unaffected by surface), and enables to resolve its fine structure (anisotropy).

            In Li1-d FeAs single crystals with Tc = 15.6-17 K  [4], we observe three superconducting gaps: an isotropic small gap, and anisotropic middle and large gaps. Following the ARPES data interpretation [1], the observed gaps are attributed to the outer Fermi surface sheet near the G point, at the electron barrels near the M point, and at the inner G-barrel, respectively. The directly measured temperature dependence of the gaps and their anisotropy, zero-bias conductance and the Andreev excess current may be interpreted in the framework of the three-gap model and demonstrate self-consistency of our data. We also discuss the relation between superconducting and normal-state features, in particular, a flat band presence in the vicinity of the Fermi level.

 

 

Fig. 1. Directly measured temperature dependence of the three superconducting gaps in LiFeAs. Following the ARPES data [1], DS develops at the outer G-barrel, DL – at electron M-point barrels, and DG at the inner G-barrel of the Fermi surface below Tc. “In” and “out” indexes mark the minimum and maximum values of Cooper pair binding energy in the kxky-plane of the momentum space (gap anisotropy). Dash-dot lines show single-gap BCS-like curves. The inset shows the temperature dependence of the anisotropy of the middle DL and the large DG gaps taken as 100%(1-Diin/Diout).

 

 

1.S.V. Borisenko, et al., Symmetry 4, 251 (2012).

2. S.A. Kuzmichev, T.E. Kuzmicheva, Low Temp. Phys. 42, 1008 (2016).

3. T.E. Kuzmicheva, et al., Phys. Rev. B 97, 235106 (2018).

4. I. Morozov, et al., Cryst. Growth&Design 10, 4429 (2010).

 

T. E. Kuzmicheva, S.A. Kuzmichev, I.V. Morozov, S. Wurmehl, B. Büchner

JETP Letters 111, issue 6 (2020)

 

Light bullets are bunches of the light energy localized in all directions that can propagate in both homogeneous and inhomogeneous media [1]. The formation of such objects requires at least the presence of nonlinearity, dispersion, and diffraction. In connection with  possible applications of light bullets in optical communication systems, the question of their stability is very important. To date, light bullets have been studied theoretically and experimentally in media with nonlinearities of various physical nature [2 - 4]. In addition to quasi-monochromatic light bullets [1, 3], the few-cycle light bunches were considered [2, 4].

The theory of “breathing” parametrical light bullets propagating in media with quadratic nonlinearity was developed recently for both anomalous [5] and normal [6] group-velocity dispersions (GVD). One should emphasize that the latter case can be realized only in an inhomogeneous medium, for instance, in a waveguide. Interplay between nonlinearity, dispersion, diffraction and waveguide geometry defines stability areas of such spatiotemporal solitons.

Various nonlinear-dispersive effects accompany the process of second-harmonic generation. Their character depends, in particular, on the magnitude and sign of GVD coefficients. Actually, the most interesting case is when one of pulse carrier frequencies locates near zero GVD.

In this paper we investigate the pulse-beam propagation in a medium with quadratic nonlinearity provided zero GVD coefficient of the second harmonic. Our study shows that such conditions don’t prevent the
formation of a two-frequency parametric light bullet. In this case, the pulse at the fundamental frequency, generating the second-harmonic signal, experiences dispersion and diffraction broadening. hese processes are stopped by nonlinearity and as the result, a localization of energy is formed at the fundamental frequency. In turn, this localization captures and localizes the second-harmonic signal generated by it. Due to the absence of GVD, the second harmonic pulse experiences twice as much nonlinear selfcompression in the propagation direction as the pulse at the main carrier frequency. The transverse dimensions of both components of the light bullet are the same.

 

[1] Ya.V. Kartashov, G.E. Astrakharchik, B.A. Malomed, and L. Torner, Nature Review / Physics 1, 185 (2019).
       [2] H. Leblond and D. Mihalache, Phys. Rep. 523, 61 (2013).
       [3] V.P. Kandidov, V.O. Kompanets, and S.V. Chekalin, JETP Letters 108, 287 (2018).
       [4] S.V. Chekalin, V.O. Kompanets, A.E. Dormidonov, and V.P. Kandidov, Physics - Uspekhi 62, 282 (2019).
       [5] S.V. Sazonov, M.S. Mamaikin, M.V. Komissarova, and I.G. Zakharova, Phys. Rev. E 96, 022208 (2017).
       [6] S.V. Sazonov, A.A. Kalinovich, M.V. Komissarova, and I.G. Zakharova, Phys. Rev. A 100, 033835 (2019).

S.V. Sazonov and M.V. Komissarova

JETP Letters 111, issue  6 (2020).

The phenomenon of topological superconductivity and Majorana bound states (MBSs) have attracted much attention of researchers mainly due to the prospects of implementing quantum computing that is stable against decoherence processes. From the standpoint of available technologies one of the most promising systems for detecting the MBSs is semiconductoring wire with strong spin-orbit coupling in contact with a superconductor (hereinafter, superconducting wires). Then, under the influence of an external magnetic field the Majorana modes with zero energy should emerge at the opposite ends of such a hybrid nanostructure [1, 2].

As a result, in the experiment, the MBS should manifest itself as a conductance peak at zero bias voltage. In the 2010s considerable efforts were directed toward the MBS detection in these systems utilizing local tunneling spectroscopy [3,4]. However, it was shown that the MBS may not be the only reason for observing the mentioned resonances [5]. Thus, today the urgent task is to search for alternative ways to probe the MBS, in particular, using the nonlocal nature of this excitation. In this study we propose a method for detecting the MBS nonlocality in a situation where the superconducting wire connects two arms of an interference device. With an asymmetric connection of such a device to the contacts, the asymmetric Fano resonances occur in the conductance. It was found that the width of these resonances is proportional to the overlap of the Majorana wave functions localized at opposite ends of the superconducting wire. Thus, if a true MBS is realized, then these Fano resonances collapse. In the framework of the spinless model it is shown that the discovered effect is associated with an increase in the degree of degeneracy of the structure zero-energy state leading to the appearance of a bound state in continuum.

 

[1] R. M. Lutchyn, J. D. Sau, and S. Das Sarma, Phys. Rev. Lett. 105, 077001 (2010).

[2] Y. Oreg, G. Refael, and F. von Oppen, Phys. Rev. Lett. 105, 177002 (2010).

[3] V. Mourik, K. Zuo, S. M. Frolov, et al., Science 336, 1003 (2012).

[4] H. Zhang, C.-X. Liu, S. Gazibegovic, et al., Nature 556, 74 (2018).

[5] C.-X. Liu, J. D. Sau, T. D. Stanescu, and S. Das Sarma, Phys. Rev. B 96, 075161 (2017).

S.V.Aksenov and M.Yu.Kagan
JETP Letters 111, issue 5 (2020)

 

 

During the last decade, much attention was focused on high energy collisions of particles near black holes. This is due to the effect discovered by Banados, Silk ad West (the BSW effect, after names of its authors) who observed that under certain conditions the energy $E_{c.m.}$ in the center of mass of colliding particles can grow unbounded [1]. This happens if one of two particles is fine-tuned (it is called critical). There are two main scenarios in which such collisions occur. In the first one described in the original paper [1], particles collide near a black hole  horizon of a rotating black hole, the critical particle has a special relation between the energy and angular momentum. There is also direct analogue of the BSW effect if a black hole is non-rotating but electrically charged. Then, a special relation should exist between the energy and electric charge of the critical particle [2]. At first, the BSW effect was found for extremal black holes, later it was shown for nonextremal ones [3].

It was believed that if a black hole is neither rotating nor charged, the BSW effect is impossible. In particular, it was shown that for the Schwarzschild black hole $E_{c.m.}$ $\leq 2\sqrt{5}m$ [4]. Meanwhile, this is true if a particle is free or moves under the action of the electrostatic force caused by interaction with a black hole. However, it is demonstrated in the present work, that a situation changes radically if some force is exerted on a particle in the background of a static neutral black hole. The analogue of the BSW effect exists eve for a simplest case of radial motion. What is especially interesting, this is valid even for the Schwarzschild black hole. I doing so, we do not specify the nature of a force. In a particular case of the Reissner-Nordstrom metric and Columb interaction, the previous results are recovered. But, the results are much more general.

There is also one more interesting point. Traditionally, it was believed that additional interaction of a particle with surroundings act against the BSW effect [5, 6], and one was led to prove that the BSW effect retains its validity even in spite of the presence of the force [7, 8]. However, in the case under discussion, such a presence is not an obstacle but the main ingredient of the effect.

If a black hole is surrounded by external electromagnetic fields, we can suppose that the described mechanism promotes high energy collisions near black holes. The Schwarzschild metric and radial motion give us the simplest exactly solvable example but it is quite probable that qualitatively the similar results hold in a more realistic situation as well.

[1] M. Bañados, J. Silk and S.M. West, Kerr black holes as particle accelerators to arbitrarily high energy, Phys. Rev. Lett. 103 (2009) 111102 [arXiv:0909.0169].
[2] O. Zaslavskii, Acceleration of particles by nonrotating charged black holes. Pis’ma ZhETF 92, 635 (2010) (JETP Letters 92, 571 (2010)), [arXiv:1007.4598].
[3] A.A. Grib and Yu.V. Pavlov, On particles collisions in the vicinity of rotating black holes, Pis’ma v ZhETF 92, 147 (2010) [JETP Letters 92, 125 (2010)].
[4] A. N. Baushev, Dark matter annihilation in the gravitational field of a black hole, Int. J. Mod. Phys. D 18, 1195 (2009), [arXiv:0805.0124].
[5] E. Berti, V. Cardoso, L. Gualtieri, F. Pretorius, U. Sperhake, Comment on "Kerr black holes as particle accelerators to arbitrarily high energy", Phys. Rev.Lett. 103, 239001 (2009), [arXiv:0911.2243].
[6] T. Jacobson, T.P. Sotiriou, Spinning black holes as particle accelerators, Phys. Rev. Lett. 104, 021101 (2010) [arXiv:0911.3363].
[7] I.V. Tanatarov and O. B. Zaslavskii, Bañados-Silk-West e¤ect with nongeodesic particles: Extremal horizons, Phys. Rev. D 88, 064036 (2013) [arXiv:1307.0034].
[8] I.V. Tanatarov, O.B. Zaslavskii, Bañados-Silk-West e¤ect with nongeodesic particles: Nonextremal horizons, Phys. Rev. D 90, 067502 (2014), [arXiv:1407.7463].

O.B.Zaslavskii
JETP Letters 111, issue 5 (2020)

Ion fluxes with group velocities up to 2000 km/s were detected in the plasma sheet boundary layer on high-apogee spacecrafts [1]. These fluxes are formed in the current sheet of the small-scale ion beams – beamlets [2], which are accelerated by the electric field at various distances along the magneto-tail of separated resonant N zones and, then, move along the magnetic field lines towards the auroral region. Experimental test [3] of the theoretically predicted scaling WN ~ NA (where WN is the energy of the Nth resonance and A ~ 1.33) [4] shows that the real scaling of resonance energies varies in a wide range A ∈ [0.61, 1.75]. Model calculations [3] with the addition of an electric field Ez perpendicular to the current sheet are in good agreement with the experimental data.

This paper reports an experimental study of the energy scaling of beamlets (seven resonance zones N=1-7 with resonances R=1-7 were identified) using the data from SC-1 and SC-4 CLUSTER satellites for the event of 05.02.2003. Analysis of the ion beam signatures in the auroral magnetosphere in the range 1-20 kev showed that the energy of beamlets scales differently (0.04 and 0.40 for zones with resonances R=1-4, and 0.83 and 1.14 for zones with R=5-7, according to satellites SC-1 and SC-4, respectively). For zones with R=5-7, the energy scaling of the beamlets can be explained in accord  with the results of the work [3]. The observed parameters A in zones N=1-4 may be related to the fact that the normal component of the magnetic field Bz, which controls the increment of the ion beams energy in the current sheet, has spatial decay lower in the region of these resonant zones than in the region containing zones N=5-7. Therefore, the current sheet is inhomogeneous and is characterized by various conditions of the formation of its parts.

[1] K. Takahashi, and E.W. Hones, J. Geophys. Res. 93, 8558 (1988).

[2] L.M. Zelenyi, E.E. Grigorenko, and A.O. Fedorov, JETP Lett. 80, 663 (2004).

[3] R.A. Kovrazhkin, M.S. Dolgonosov, and J.-A. Sauvaud, JETP Lett. 95, 234 (2012).

[4] L.M. Zelenyi, M.S. Dolgonosov, E.E. Grigorenko, and J.-A. Sauvaud, JETP Lett. 85, 187 (2007).

 

 

R. A. Kovrazhkin, A.L. Glazunov, and G.A. Vladimirova
JETP Letters 111, issue 4 (2020)

 

 

 

 

Since the discovery of unconventional d-wave superconductivity in high-temperature superconductors, physical consequences of d-wave electron pairing have been intensively investigated. One of such physical properties is a four-fold symmetry of the parallel upper critical magnetic field in this quasi-two-dimensional (Q2D) superconductors. From the beginning, it was recognized that the four-fold anisotropy of the parallel upper critical magnetic field disappears in the Ginzburg-Landau (GL) region and has to be calculated as a non-local correction to the GL results. Another approach was calculation of the parallel upper critical magnetic field at low temperatures and even at T=0 using approximate method, which was elaborated for unconventional superconductors with closed electron orbits in an external magnetic field. Note that Q2D conductors in a parallel magnetic field are characterized by open electron orbits, which makes the calculations to be inappropriate. The goal of our article is to suggest an appropriate method to calculate the parallel upper critical magnetic field in a Q2D d-wave superconductor. For this purpose, we explicitly take into account almost cylindrical shape of its Fermi surface (FS) and the existence of open electron orbits in a parallel magnetic field. We use the Green's functions formalism to obtain the Gorkov's gap equation in the field. As an important example, we numerically solve this integral equation to obtain the four-fold anisotropy of the parallel upper critical magnetic field in a d(x^2-y^2}-wave Q2D superconductor with isotropic in-plane FS. In particular, we demonstrate that the so-called supercondcting nuclei at T=0 oscillate in space in contrast to the previous results. We also suggest the gap equation which take both the orbital and paramagnetic spin-splitting mechanisms against superconductivity.

A.G.Lebed and Sepper O.
JETP Letters 111, issue 4 (2020)

In recent years, a number of interesting papers appeared [1,2], where from the analysis of experiments on rather wide range of compounds, it was shown that in the $T$ - linear region of resistivity growth, the scattering rate of electrons (inverse relaxation time) with rather high accuracy is described as  $\Gamma=\frac{1}{\tau}=\alpha \frac{k_BT}{\hbar}$, where  $\alpha\sim 1$ and is weakly dependent on the choice of the material. In connection with these results the notion of the universal (independent of interaction strength) "Planckian'' upper limit of inelastic scattering rate in metals was introduced as $\frac{1}{\tau_P}=\Gamma_P=\frac{k_BT}{\hbar}$ [3]. To explain this "universality'' a number of relatively complicated theoretical models were proposed [4, 5], including some rather exotic, based on the analogies taken from the black hole physics, cosmology and superstring theory (e.g. see Refs. [6-9]). It is shown here that the  "Planckian'' limit for the temperature dependent relaxation rate actually follows from a certain procedure used in Refs. [1, 2] to derive $\frac{1}{\tau}$ from experimental data on resistivity, using the effective electron mass, determined from low - temperature experiments. Thus, the  "experimentally'' observed universal "Planckian'' relaxation rate in metals, independent of interaction strength, is nothing more than a kind of  delusion.

[1] J.A.N. Bruin, H. Sakai, R.S. Perry, A.P. MacKenzie. Science 339, 804 (2013)
      [2] A. Legros, S. Benhabib, W. Tabis, F. Laliberte, M. Dion, M. Lizaire, B. Vignole, D. Vignolles, H, Raffy, Z.Z. Li, P. Auban-Senzier, N. Doiron-Leyraud, P. Fournier, D. Colson, L.Taillefer, C.Proust. Nature Physics 15, 142 (2019)
      [3] J. Zaanen. Nature 430, 512 (2004)
      [4] V.R. Shaginyan, M.Ya. Amusia, A.Z. Msezane, V.A. Stephanovich, G.S. Japaridze, S.A. Artamonov. JETP Letters 110, 290 (2019)
      [5] A.A. Patel, S. Sachdev. Phys. Rev. Lett. 123, 066601 (2019)
      [6] J. Zaanen. Nature 448, 1000 (2007)
      [7] S.A. Hartnoll. Nature Physics 11, 54 (2015)
      [8] C.P. Herzog, P. Kovtun, S. Sachdev, D.T. Son. Phys. Rev. D 75, 085020 (2007)
      [9] S.A. Hartnoll, P.K. Kovtun, M. Muller, S, Sachdev. Phys, Rev. B 76, 144502 (2007)

M.V. Sadovskii

JETP Letters 111, issue 3 (2020)

 

Discovery of high critical temperatures of superconductivity in sulfur [1, 2], lanthanum, and yttrium hydrides [3-5] led to the active search for stable structures of hydrides of other elements, including iron. Iron hydrides are characterized by a critical temperature of ~50 K and can conditionally be classified as high-temperature superconductors. On the other hand, hydrogen is considered as one of the possible light elements of the Earth’s and planets core, which causes interest in phase relationships for the Fe-H system over a wide range of pressures and temperatures.

In this work, within the density functional theory, the thermodynamic stability of iron hydrides Fe4H, Fe2H, FeH, Fe3H5, FeH2, FeH3, FeH4, Fe3H13, FeH5 and FeH6 at temperatures up to 5000 K in the pressure range of 100-400 GPa was estimated and the corresponding phase PT-diagrams were calculated. We performed a topological analysis of all stable iron hydrides. The regularity of the formation of dumbbell-shaped hydrogen molecules with increasing hydrogen concentration in iron hydrides was established.

 [1] A. Drozdov, M. Eremets, I. Troyan, V. Ksenofontov, S. Shylin, Nature 525, 73 (2015)

 [2] D. Duan, Y. Liu, F. Tian, D. Li, X. Huang, Z. Zhao, H. Yu, B. Liu, W. Tian, T. Cui, Scientific Reports 4, 6968 (2014).

 [3] A. Drozdov, P. Kong, V. Minkov, S. Besedin, M. Kuzovnikov, S. Mozaffari, L. Balicas, F. Balakirev, D. Graf, V. Prakapenka, Nature 569, 528 (2019).

 [4] H. Liu, I. I. Naumov, R. Hoffmann, N. Ashcroft, R. J. Hemley, Proceedings of The National Academy of Sciences 114, 6990 (2017).

 [5] M. Somayazulu, M. Ahart, A. K. Mishra, Z. M. Geballe, M. Baldini, Y. Meng, V. V. Struzhkin, R. J. Hemley, Physical Review Letters 122, 027001 (2019).

D.N. Sagatova et al.

JETP Letters 111, issue 3 (2020)

 

The search of a quark-gluon plasma (QGP), where hadrons dissolve and quarks are supposed to be free and deconfined, is difficult due to the short QGP lifetime. Various signals were proposed for detection of the QGP phase, and the ''horn'', which appears in the ratio of positive charged kaon to pion, was supposed be one of them [1]. Nowdays the picture of this peak becomes more clear on the experimental side: the peak appears in the ratio of positive charged kaons and pions at the collision energy $\sqrt{s_{NN}}\sim$ 7-10 GeV for the large-size systems in  Au+Au and Pb+Pb collisions. With decreasing system size, the sharp peak becomes lower and for Be+Be,  p+p collisions the ratio demonstrates smooth behaviour [2].
On the theoretical side, the quick increase in the $K^+/\pi^+$ ratio and its decreasing and flattering with further energy increasing is interpreted as a sequence of the chiral symmetry breaking and subsequent deconfinement effect.

In our works [3, 4], including the present one, we discussed the chiral phase transition, deconfinement transition and in-medium behaviour of the pseudo-scalar mesons in the framework of the SU(3) Polyakov loop extended NJL model. Using the model it was shown how $K/\pi$ ratio changes as function of $T/\mu_B$, when T and $\mu_B$ are chosen on the phase diagram along the chiral phase transition curve and discussed in this way how the chiral phase transition can affect to the $K/\pi$ behaviour.   Several modifications of the model was considered, including the model with vector interaction, where the situation with the absence of the first order transition region can appear when the vector coupling constant is high enough. We can conclude that the peak appears in the range of low temperatures and high baryon chemical potential (which corresponds to low collision energy).  The appearance of the peak is weakly sensitive to the type of phase transition in the high density region, as the replacement of the the first order transition to the soft crossover only leads  to a changing in the peak hight. The peak structure is more sensitive to the slope of the phase transition curve at low T and the properties of the matter. For example, the hight of the peak is sensitive to the chemical potential of the strange quark. For the case with the zero strange chemical potential ($\mu_S(\mu_K) = 0$), the $K^+/\pi^+$ ratio shows smooth behaviour, and when the strangeness neutrality is introduced, the $K^+/\pi^+$ ratio does not show a clear peak structure.
 
1. S. V. Afanasiev et al. (NA49 Collabration), Phys. Rev. C 66, 054902 (2002); C. Alt,et al (NA49 Collaboration) Phys.Rev. C 77, 024903 (2008).
2. A. Aduszkiewicz (NA61/SHINE Collaboration) Nucl. Phys. A 967, 35 (2017).
3. A. V. Friesen, Yu. L. Kalinovsky, V. D. Toneev Phys. Rev. C 99, 045201 (2019).
4. A. V. Friesen, Yu. L. Kalinovsky, V. D. Toneev, PEPAN Letters, 16, 681 (2019).
 
A. V. Friesen, Yu. L. Kalinovsky, V. D. Toneev
JETP Letters 111, issue 3 (2020)
 
 

 

Monolayer films of transition metal dichalcogenides (TMD) (in particular, MoS$_2$, MoSe$_2$, WS$_2$, and WSe$_2$) can be considered an ideal system for studying a high-temperature electron-hole liquid (EHL). The quasi-two-dimensional nature of electrons and holes defines a stronger interaction compared to bulk semiconductors. Screening of the Coulomb interaction in monolayer heterostructures is significantly weakened, because it is determined by permittivity of the environment (e.g., vacuum and substrate), which are much smaller than that of TMD films. The multivalley structure of the charge carriers energy spectrum in TMD many times reduces the kinetic energy. This leads to  increase in the equilibrium density and binding energy of EHL. 

The optical properties of the monomolecular TMD layers are generally determined by excitons and trions. The binding energy of the exciton $E_x$ in the TMD is hundreds of meV. For example, in the monolayers MoS$_2$ $E_x=420$ meV [1].

The binding energy of EHL on one electron-hole pair is $\left|E_\text{EHL}\right|\sim E_x$, and the critical temperature for the gas--liquid phase transition is $T_c\sim0.1\left|E_\text {EHL}\right|$ [2--4]. So, we can expect that EHL will be observed in TMD monolayers even at room temperature. A high-temperature strongly bound EHL with $T_c\simeq500$ K was already observed in the MoS$_2$ monolayers [5].

In this paper, we are theoretically investigating the possibility of the formation of EHL in monolayers of multi-valley semiconductors. We consider a thin film of a model multi-valley semiconductor on an insulator substrate in vacuum. The semiconductor has a large identical number of equivalent electron $\nu_e$ and hole $\nu_h$ valleys $\nu_e=\nu_h=\nu\gg1$. A large number of valleys can be achieved due to the presence of several monomolecular layers in the film. We found analytically the binding energy of EHL and its equilibrium density and compared the results of calculations with experimental values.

[1] Y. Yu, Y. Yu, Y. Cai, W. Li, A. Gurarslan, H. Peelaers, D.E. Aspnes, C.G. Van de Walle, N.\,V. Nguyen, Y.-W. Zhang, and L. Cao, Sci. Rep.5, 16996 (2015).

[2] E.A. Andryushin, V.S. Babichenko, L.V. Keldysh, T.A. Onishchenko, and A.P. Silin, JETP Lett. 24, 185 (1976).

[3] E.A. Andryushin, L.V. Keldysh, and A.P. Silin, JETP 46, 616 (1977).

[4] Electron-Hole Droplets in Semiconductors ed. C.D. Jeffries and L.V. Keldysh (Amsterdam: North-Hollalnd, 1983).

[5] Y. Yu, A.W. Bataller, R. Younts, Y. Yu, G. Li, A.A. Puretzky, D.B. Geohegan, K. Gundogdu, and L.Cao,  ACS Nano 13, 10351 (2019).

P.L. Pekh, P.V. Ratnikov, and A.P. Silin

JETP Letters111, issue 2 (2020)


 


 

Ten years after recognition of the Nobel Prize, the chirped pulse amplification technique, was first implemented [1] and the unique regime of long-range femtosecond pulse propagation was discovered [2]. This propagation regime without beam divergence, or filamentation, was studied  with  Ti:Sapphire laser systems centered at ~800 nm with pulse peak power of 1010–1013 W [3]. Ultrashort pulse filamentation is accompanied by supercontinuum conical emission [4]. The atmospheric transparency window [5] in the visible range ensures lossless propagation of supercontinuum blue wing in the course of backward propagation after reflection from the cloud [6]. However, the fingerprints of atmospheric molecular pollutants are in the mid- and far-infrared range [5]. Besides, the critical power for self-focusing is proportional to the squared wavelength and achieves several hundreds of gigawatts for mid-infrared pulse propagating in air. This requires the pulse energy of at least several tens of milliJoules (pulse duration of about 100 fs) to form a filament on an atmospheric path. In order to target the application of femtosecond lidar in the mid-infrared part of the spectrum, we suggested the generalized approach for identification of the optimum laser wavelength for supercontinuum remote sensing applications [7,8]. We also developed the gas cell [9] for pressures 10–3–120 bar and temperatures up to 150°C to reach the filamentation with sub-milliJoule pulses. Our long cell of 75-cm length provides the filamentation in high-pressure gas in the quasi-collimated geometry close to atmospheric path experiments. The gas dispersion in the cell can be continuously tuned from normal to anomalous in the vicinity of water absorption band at 1.35 mm. The reservoir with water is installed into the gas cell and is additionally heated. In our experiments the cell was filled with nitrogen (30 bar) and water vapor (200 Pa). The laser pulses of ~100-mJ energy and 1.3-mm central wavelength propagate in the cell. The nonlinearly enhanced linear absorption was revealed in the long-wavelength part of the supercontinuum spectrum; this observation confirmed the theoretical prediction [7] of launching the pulse on the red (long-wavelength) side of the absorption line to ensure the maximum transmission through gases.

 

[1] D. Strickland and G. Mourou, Opt. Commun. 55, 447 (1985).

[2] A. Braun, G. Korn, X. Liu, D. Du, J. Squier, and G. Mourou, Opt. Lett. 20, 73 (1995).

[3] S. L. Chin, S. A. Hosseini, W. Liu, Q. Luo, F. Théberge, N. Aközbek, A. Becker, V. P. Kandidov, O. G. Kosareva, and H. Schroeder, Can. J. Phys. 83, 863 (2005).

[4] O. G. Kosareva, V. P. Kandidov, A. Brodeur, C. Y.Chien, and S. L. Chin, Optics letters 22, 1332 (1997).

[5] L. Rothman et al., J. Quantum Spectrosc. Radiat. Transfer 130, 4 (2013), HITRAN2012 special issue.

[6] J. Kasparian et al., Science 301, 61 (2003).

[7] N. A. Panov, D. E. Shipilo, V. A. Andreeva, O. G. Kosareva, A. M. Saletsky, H. Xu, and P. Polynkin Phys. Rev. A 94, 041801 (2016).

[8] N. A. Panov, D. E. Shipilo, A. M. Saletsky, W. Liu, P. G. Polynkin, and O. G. Kosareva Phys. Rev. A 100, 023832 (2019).

[9] V. O. Kompanets, D. E. Shipilo, I. A. Nikolaeva, N. A. Panov, O. G. Kosareva, S. V. Chekalin “Nonlinear enhancement of resonant absorption under filamentation of mid-infrared laser pulse in high-pressure gas” JETP Lett. accepted for publication, December 2019.

V. O. Kompanets, D. E. Shipilo, I. A. Nikolaeva, N. A. Panov, O. G. Kosareva, S. V. Chekalin

JETP Letters 111, issue 1 (2020)

 

 

  Quasiparticles with the Dirac spectrum arise in a number of materials. Well-known examples are graphene, topological insulators, Dirac semimetals. More recently, it has been found that there are also materials in which the vertices of the Dirac cone are not at one or more points of the Brillouin zone, but form a line [1]. A feature of nodal-line Dirac semimetals is the much higher density of Dirac states than in materials with Dirac points, which allows us to hope for a more vivid manifestation of the properties due to Dirac fermions.
  ARPES study supported by first-principle calculations show that InBi is a Dirac semimetal in which the vertices of the Dirac cone form the lines in the momentum space along the directions MA and XR of the Brillouin zone, i.e. in the directions along the c axis [2]. Earlier studies of magnetoresistance in InBi indicate the presence of an extremely large positive transverse quadratic magnetoresistance, which exceeds 2 orders of magnitude and does not saturate in high magnetic fields [3]. The absence of saturation and its anomalously high value are associated with the equality of the concentrations of electrons and holes whose mobility at helium temperatures exceeds 104 cm2/V·s [3].   
  In this work, we present the results of high precision measurements of the transverse magnetoresistance in InBi. These enable us to distinguish features which were not observed previously. In particular, we found that the dependence of the resistance R on  magnetic field B does not follow the simple quadratic law  R(B) = R0 + bB2. Namely, at B < 0.1 T, it is characterized by high curvature,  at B > 1 T it approaches a quadratic law with a curvature several times smaller, and in the intermediate region it is described by the sum of linear and quadratic contributions. The observed deviation from the quadratic dependence corresponds to a linear contribution, which is expected for nodal-line Dirac semimetals [4]. We also proposed a simple formula

                                                           R(B) = R0+R1(1+η2B2)1/2+bB2,            
describing all the detected features of the magnetoresistance of the nodal-line Dirac semimetal InBi within the experimental accuracy of a few percent.

 

[1] A. A. Burkov, M. D. Hook, and L. Balents, Phys. Rev. B 84, 235126 (2011).
       [2] S.A. Ekahana, Sh.-Ch. Wu, J. Jiang, K. Okawa, D. Prabhakaran, Ch.-C. Hwang, S.-K. Mo, T. Sasagawa, C. Felser, B. Yan, Zh. Liu and Yu. Chen, New J. Phys. 19, 065007 (2017).
       [3] K. Okawa, M. Kanou, H. Namiki, and T. Sasagawa Phys. Rev. Materials 2, 124201 (2018).
       [4] H. Yang and F. Wang, arXiv:1908.01625.

 

S.V. Zaitsev-Zotov and I.A. Cohn
JETP Letters 111, issue 1 (2020)

Superfluid 3He is a well-known condensed matter whose properties are described by quantum field theory. Upon transition to superfluid states, gauge and spin and orbital rotational symmetries are violated simultaneously, demonstrating the properties of antiferromagnetic superfluid liquid crystals. In these systems, spin superfluidity was discovered - quantum transfer of spins controlled by the gradient of the magnetization precession phase. Spin supercurrents provide coherence during the magnetization precession: the precession becomes coherent even in a strongly inhomogeneous magnetic field. This leads to a long-lived signal of free induction, which was observed experimentally, see Review [1]. An even more complex interaction between the spin and orbital degrees of freedom leads to the formation of an extremely long live signal, which was explained in terms of the Coleman Q-ball model [2].

For a long time, magnetic resonance in solid-state magnets was considered in the limit of small perturbations, which corresponds to a low concentration of no equilibrium magnons. However, at high concentrations, magnons can experience Bose condensation, as in superfluid 3He. Moreover, in the case of a repulsive interaction, magnons can form a superfluid state and exhibit spin superfluidity properties in a solid magnets [3]. In particular, manifestations of a superfluid spin state in yttrium iron garnet (YIG) at room temperature have recently been discovered [4].

This article presents the results of observations of a very long-lived induction decay signal obtained in a YIG at room temperature. Its properties are partially similar to the Q-ball observed in superfluid 3He. Nevertheless, there are some fundamental differences with the Q-ball, which require the correct theoretical explanation. The formation of this long-lived signal can be a manifestation of quantum field theory at room temperature.

 [1]. Yu. M. Bunkov, G. E. Volovik  “Spin superfluidity and magnon BEC”

Chapter IV of the book "Novel Superfluids", eds. K. H. Bennemann and J. B. Ketterson, Oxford University press, (2013) .

[2].  S. Autti, Yu. M. Bunkov, V. B. Eltsov,   et al. “Self-trapping of magnon Bose-Einstein condensates in the ground and excited levels: from harmonic  to a box confinement” 

Phys. Rev. Lett. 108, 145303 (2012).

[3]. Yu. M. Bunkov,  E. M. Alakshin,2 R. R. Gazizulin, et al., “High-Tc Spin Superfluidity in Antiferromagnets” Phys. Rev. Lett. 108, 177002 (2012).

[4]. Yu. M. Bunkov, A.Farhutdinov A. N. Kuzmichev, et al., “The magnonic superfluid droplet at room temperature”  https://arxiv.org/pdf/1911.03708.pdf

 

 

Yu.M.Bunkov, P.M.Vetoshko, A.N.Kuzmichev, G.V.Mamin. S.B.Orlinsky, T.R.Safin, V.I.Belotelov, M.S.Tagirov.  

JETP Letters 111, issue 1 (2020)

 


 

In recent years, a rapidly developing field of science and technology - spintronics - has attracted much attention. New principles for the operation of devices have been proposed, in which the electronic spin is used along with its charge to transmit and process information. The main tasks of semiconductor spintronics are the investigations of the carrier spins injection, orientation, accumulation and detection processes and the study of the possibilities of controlling them by optical and electrical methods. Diluted magnetic semiconductors and nanostructures based on II – VI materials with manganese ions are considered as model objects for possible applications in spintronics. In such structures, magnetic Mn2+ ions isoelectronically replace metal ions in cationic sublattices.

The low-temperature spectra of magneto-optical photoluminescence provide quantitative information on the temperature and magnetization of the Mn ions subsystem. Indeed, the exciton luminescence line shift in external magnetic fields is directly proportional to the magnetization, which makes it possible to experimentally implement the internal thermometer of the magnetic ions spin temperature, since temperature increase leads to a decrease in the Zeeman shift of the emission band. Measurements of the low-temperature exciton luminescence spectra with time resolution in external magnetic fields also allow one to study the dynamics of changes in the spin subsystem magnetization and temperature of diluted magnetic semiconductor structures when non-equilibrium magnetization is created in them, for example, using high-power pulsed optical pumping [1].

To determine the real interaction time of carriers with magnetic ions, it is very important to study diluted magnetic semiconductor superlattices with type II band alignment. In such structures based on (Zn,Mn)Se/(Be,Mn)Te the type II band alignment makes it possible to experimentally change the interaction time of photoexcited carriers with magnetic ions. At high levels of optical excitation inside ZnSe/BeTe superlattices, due to the high concentration of spatially separated charges of electrons and holes, strong electric fields arise, which in turn lead to strong band bending [2]. Strong band bending leads to the formation of metastable above-barrier hole states [3], which increases the hole lifetimes in the ZnSe layer.

In the present paper the magnetization kinetics in diluted magnetic semiconductor type II superlattices Zn0.99Mn0.01Se/Be0.93Mn0.07Te in external magnetic fields was studied using an optical technique with a high temporal resolution ~ 2 ps. For the first time, direct measurements of the picosecond kinetics of the process of energy and spin transfer from photoexcited carriers due to the exchange interaction with the localized spins of Mn2+ ions were performed and the energy and spin transfer time τ ≈ 17 ± 2 ps was determined.

[1] M.K. Kneip, D.R. Yakovlev, M. Bayer, A.A. Maksimov, I.I. Tartakovskii, D. Keller, W. Ossau, L.W. Molenkamp, and A. Waag, Phys. Rev. B 73, 035306 (2006).

[2] S.V. Zaitsev, V.D. Kulakovskii, A.A. Maksimov, D.A. Pronin, I.I. Tartakovskii, N.A. Gippius, M.Th. Litz, F. Fisher, A. Waag, D. R. Yakovlev, W. Ossau, and G. Landwehr, JETP Lett. 66, No. 5376-381 (1997).

[3] A.A. Maksimov, S.V. Zaitsev, E.V. Filatov, A.V. Larionov, I.I. Tartakovskii, D.R. Yakovlev, and A. Waag, JETP Lett. 88, No. 8, 511–514 (2008).

A.A. Maksimov, E.V. Filatov, I.I. Tartakovskii, D.R. Yakovlev, A. Waag

JETP Letters 110, issue 12 (2019)

 

Observation of the polar Kerr effect in $\mathrm{Sr_2RuO_4}$ [1], a layered material considered to realize the chiral $p_x+ip_y$ superconducting state, has lead to extensive theoretical investigations of the anomalous Hall response $\sigma_{xy}(\omega)$ in $p_x+ip_y$ superconductors. These studies consider either multi-band superconductor models or effects of potential disorder caused by weak impurities.

This work generalizes existing theories of disorder-induced Hall response [2-5] to the case of strong impurities. We consider a low concentration of strong short-range potential impurities characterized by a scattering phase $\delta$. We show that such impurities in the $p$-wave superconductor lead to sub-gap bound states at energy $\Delta\cos\delta$ similar to Yu-Shiba-Rusinov states hosted by magnetic impurities in $s$-wave superconductors. These states form an impurity band which also governs the Hall response. We calculate $\sigma_{xy}(\omega)$ as function of temperature and frequency. It exhibits rich behaviour and sharp threshold features at frequencies $\omega=\Delta\pm\Delta\cos\delta$ which we identify with particular transition processes between the condensate, the impurity band and the continuous spectrum of the $p_x+ip_y$ superconductor.

[1] J. Xia, Y. Maeno, P. T. Beyersdorf, M. M. Fejer, and A. Kapitulnik, Phys. Rev. Lett. 97, 167002 (2006).

       [2] J.Goryo, Phys. Rev. B 78, 060501(R) (2008).

       [3] R. M. Lutchyn, P. Nagornykh, V. M.Yakovenko, Phys. Rev. B 80, 104508 (2009).

       [4] S. Li, A. V. Andreev, and B. Z.Spivak, Phys. Rev.B 92, 100506 (2015).

       [5] E. J. König, A. Levchenko, Phys. Rev. Lett.118, 027001 (2017).

Ioselevich P.A., Ostrovsky P.M.

JETP Letters 110, issue 12 (2019)

 

Most materials found in nature exhibit negligible nonlinear optical behaviors. To observe them, it is necessary to increase the interaction length  (for example, using optical fibers) and/or to amplify the pump intensity with high-powered pulse lasers. It means that the third-order nonlinear optical processes, for example, stimulated Raman scattering (SRS), optical Kerr effect, to name a few, do not appear within highly confined media or from single molecules exposed to continuous-wave low-powered laser light. Nonlinear enhancement of light becomes possible due to giant local electric fields and/or changes in higher-order nonlinear susceptibility. The nonlinear optical effects were found to occur in plasmonic and/or epsilon-near-zero (ENZ) materials [1-4]. In paper [5], the authors, for the first time, have succeeded to synthesize a metal-dielectric nanocomposite exhibiting the 2-ENZ behavior in the visible and near-infrared region. In such a medium, multiple plasmon resonances at different wavelengths are available.

In this paper, we study SRS effects using a percolated 50 nm titanium oxynitride (TiON) thin film that exhibits the 2-ENZ behavior in the visible and near-infrared region. This film was fabricated using dc reactive magnetron sputtering in an argon-nitrogen environment at elevated temperature and post-oxidation in air. In order to enhance the SRS effect we have patterned the TiON thin film by making square-shaped planar nanoantennas with focused ion beam milling. Using tip-enhanced Raman scattering, we have proved that this nanocomposite film can be represented as the mixture of metallic TiN and dielectric TiO2 nanoparticles. The underlying mechanism to observe the SRS is linked to the enhanced effective third-order susceptibility due to plasmon resonances at the ENZ wavelengths. Earlier, we have experimentally demonstrated a far-field Raman color superlensing effect by showing a sub-wavelength resolution of l/6NA (l  is the excitation wavelength, NA - numerical aperture) at different SRS overtones using multi-walled carbon nanotubes of 40 nm in diameter directly dispersed on the TiON thin film [6]. This allows one to use this material for developing a multi-resonant meta-lens pushing a spatial resolution beyond the diffraction limit without post-recovery. The meta-lens serves as a SERS substrate that not only enhances a scattered light but provides the sub-wavelength resolution. The metal-dielectric 2-ENZ nanocomposite film can be used as a broadband perfect absorber for thermophotovoltaic cells.     

[1] Reshef O., De Leon I., Alam M. Z., Boyd R. W. Nat. Rev. Mater. 4, 535 (2019).

[2] Caspani, Kaipurath R. P. M., Clerici M.,et al.,  PRL 116, 233901 (2016)

[3] Kharintsev S.S., Kharitonov A.V., Saikin S.K., Alekseev A.M., Kazarian S. G.  Nano Lett. 17, 5533 (2017).

[4] Kharintsev S.S., Kharitonov A.V., Alekseev A.M., Kazarian S. G. Nanoscale 11, 7710 (2019).

[5] Braic L., Vasilantonakis N., Mihai A.,et al., ACS Appl. Mater. Interfaces 9, 29857 (2017).

[6] Kharintsev S.S.  Opt. Lett. 44 (24), 5909-5912 (2019).

 

Tyugaev M.D., Kharitinov A.V., Gazizov A.R., Fishman A.I., Salakhov M.Kh., Dedkova A.A., Alekseev A.M., Shelaev A.V., Kharintsev S.S.

JETP Letters 110, issue 12 (2019)


 

In 1982 Nieh and Yan introduced the quantum gravitational anomaly caused by the gravitational torsion field [1, 2]. Since that time the torsional anomaly has been debated, because the coefficient in the Nieh-Yan anomaly term contains the ultraviolet energy cut-off, which is not well defined.

In this paper we discuss the temperature correction to the Nieh-Yan anomaly. As distinct from the zero temperature term, the $T^2$ temperature correction  does not depend on the ultraviolet cut-off and thus can be universal. Such $T^2$ Nieh-Yan term may exist not only in the relativistic quantum field theories, but also in condensed matter with Weyl fermions. In the topological  Weyl semimetals and in the chiral $p+ip$ superfluids and superconductors, this term is fully determined by the quasirelativistic physics in the vicinity of the Weyl nodes.

[1] H. T. Nieh and M. L. Yan, J. Math. Phys. 23, 373  (1982).

[2] H. T. Nieh and M. L. Yan, Ann. Phys.138, 237 (1982).

Nissinen J., Volovik G.E.

JETP Letters 110, issue 12 (2019)

Nematic aerogels consist of nearly parallel strands. In liquid 3He in such aerogels, the strands lead to anisotropy of 3He quasiparticles scattering that makes favorable new superfluid phases: polar, polar-distorted A (PdA) and polar-distorted B  [1]. A distinctive feature of this work is that experiments were performed with 3He in two samples of nematic aerogel one of which was squeezed by 30% in the direction transverse to the strands. The squeezing leads to anisotropy in a plane perpendicular to the strands that can affect superfluid phases. It was found that the superfluid transition of 3He in both samples occurred into the non-chiral polar phase, where no qualitative difference between properties of nuclear magnetic resonance in 3He in these samples was found. The difference, however, has appeared on further cooling, after a transition to the chiral PdA phase. The results agree with theoretical expectations and provide an additional proof of existence of the polar phase of 3He in nematic aerogels. The obtained quantitative characteristics of the observed phases also agree with recent theoretical paper [2] where it was stated that Anderson theorem for s-wave superconductors is applicable to superfluid 3He in ideal nematic aerogel.

 

[1] V.V. Dmitriev, A.A. Senin, A.A. Soldatov, and A.N. Yudin, Phys. Rev. Lett. 115, 165304 (2015).

[2] I.A. Fomin, JETP 127, 933 (2018).

V.V. Dmitriev, M.S. Kutuzov, A.A. Soldatov, A.N. Yudin

JETP Letters 110, issue 11 (2019)

 

After the discovery of graphene with its unique mechanical and electronic characteristics, a  number of other quasi-two-dimensional carbon structures were theoretically predicted, including octagraphene [1], pentagraphene [2], ψ-graphene [3], Stone-Wales (SW) graphene [4], as well as their various hydrogenated versions (graphane [5], pentagraphane [6], ψ-graphane [7] etc.). In this paper, SW graphane - a new allotropic modification of graphane is proposed. This quasi-two-dimensional structure is formed upon complete two-side hydrogenation of SW graphene. SW graphene is more thermodynamically stable than most other allotropic modification of carbon. This justifies possibility of the SW graphane formation.

Unlike graphane, SW graphane is an anisotropic and soft material. Depending on the direction, its Young's modulus is 194 - 221 N/m, whereas in isotropic graphane it  is 249 N/m. The density of phonon states in SW graphane differs from that in graphane. There are no sharp peaks in the density of phonon states of SW graphane, which are typical for graphane. The densities of electronic states in SW graphane and pristine graphane slightly differ from each other. As well, as for graphane, the main channel of thermal decomposition of SW graphane is the separation of atomic hydrogen. The desorption energies of hydrogen atoms for graphane and SW graphane are also very close.

1. X.-L. Sheng, H.-J. Cui, et al., J. Appl. Phys. 112, 074315 (2012).

2. S. Zhang, J. Zhou, et al., Proc. Natl. Acad. Sci. U.S.A. 112, 2372 (2015).

3. X. Li, Q. Wang, P. Jena, The J. of Phys. Chem. Lett. 8, 3234 (2017).

4. H. Yin, X. Shi, et al., Phys. Rev. B 99, 041405 (2019).

5. J. O. Sofo, A. S. Chaudhari, and G. D. Barber, Phys.Rev. B 75, 153401 (2007).

6. H. Einollahzadeh, et al., Sci. Technol. Adv. Mater. 17, 610 (2017).

7. X. Huang, M. Ma, L. Cheng, and L. Liu Physica E 115, 113701(2020).

 

Podlivaev A.I.

 JETP Letters 110, issue 10 (2019)

 

 

At present the interest to Coulomb impurity centers in semiconductors, particularly in silicon and germanium, is revived due to their natural zero-dimensional origin . The specific properties of such centers and advancement in modern technology allow one to create, a qubit with optically controlled coherent states [1], or a source of the THz coherent radiation which utilizes the conventional laser scheme or stimulated Raman scattering [2]. Such applications require accurate knowledge of optical excitation and relaxation processes within an impurity center.

In weakly and moderately doped semiconductors, the lifetime of excited states for a shallow impurity center is controlled by phonon-assisted relaxation. Recently [3], the relaxation times for arsenic donor states in bulk germanium have been calculated; these values are encouraging and suggest that the population inversion and THz lasing can be realized under optical pumping.

The present work is devoted to studying the low-temperature relaxation of the excited states of As donors in Ge crystal using a pump-probe technique. We show that the lifetime of lower odd parity 2p states are close to one ns. At the same time, experimental study of the inverse relaxation rate for the first excited state 1s(T2) yields value not longer than 160 ps. The data obtained are compared with the results of theoretical calculations [3] and confirm the possibility to reach THz amplification on the 2p – 1s(T2) transitions of optically excited As donors in Ge.

 

  1. K.J. Morse, R. J. S. Abraham, A.D. Abreu et al., Sci. Adv. 3, e1700930, (2017).
  2. S. G. Pavlov, R. Kh. Zhukavin, V. N. Shastin et al., Phys. Stat. Sol. (b) 250, 9 (2013).
  3. V.V. Tsyplenkov, V.N. Shastin, Semiconductors, 52, 1573 (2018).

 

 

Zhukavin R. Kh., Kovalevskii K.A., Choporova Yu. Yu. et al. (Collaboration)

JETP Letters 110, issue 10 (2019)

 

Electron spin resonance (ESR) is one of the most fruitful approaches for the exploration of spin physics in a great deal of different materials including two-dimensional electron systems (2DES) confined in semiconductor heterostructures [1]. The conventional technique for the observation of spin resonance in a 2DES relies on the high sensitivity of a 2D electron channel resistance to the absorption of microwave radiation in the regime of integer quantum Hall effect. In the presented manuscript we propose the complementary experimental approach for the ESR detection as a sharp peak in the microwave induced photovoltage measured between the ohmic contacts to the 2DES. In the presented manuscript we have demonstrated that the suggested experimental approach works well in different semiconductor heterostructures and in various contact geometries.

Detection of ESR in such a way requires no current flow through the sample, thereby protecting 2DES from potential overheating, and from resulting negative impact on  subtle physical phenomena like high-order fractional quantum Hall effect [3]. Furthermore, the flow of nonequilibrium charge carriers that is responsible for the generated voltage is at least partly spin polarized, as spin dephasing time in the quantum Hall regime [4] exceeds the transport scattering time.

[1] M. Dobers, K. v. Klitzing, and G. Weimann, Phys. Rev. B 38, 5453 (1988).

[2] D. Stein, K.v. Klitzing and G. Weimann, Phys. Rev. Lett. 51, 130 (1983).

[3] R. Willett, J. P. Eisenstein, H. L. Stoermer, D. C. Tsui, A. C. Gossard, and J. H. English Phys. Rev. Lett. 59, 1776 (1987)

[4] A. V. Shchepetilnikov, Y. A. Nefyodov, and I. V. Kukushkin, JETP Lett. 97, 574 (2013).

 

 

 

  Periodic driving transforms the stationary energy spectrum into the Floquet modes spectrum (quasienergies). This can be associated with the so-called synthetic dimension introduced by the Floquet modes [1, 2]. Perturbation frequency in this case becomes an additional degree of freedom, which opens new ways of manipulating the quantum systems spectrum. In this context, periodic driving can introduce phenomena, which are typical for higher dimensional systems, in lower dimensional samples.

  In a finite system, periodic driving can effectively change its topology (connectivity of tunneling paths). In present letter, we study interference features in the high-frequency conductance of a two-state model system within the Keldysh formalism for non-equilibrium Green functions in tight-binding basis. We provide a clear and illustrative correspondence between high-frequency response and stationary transmittance of spatially symmetric configurations of the model system considered. In particular, we show that the synthetic frequency dimension provides the possibility for effective degeneracy of eigenstates in a simply connected linear quantum conductor, which is impossible in statics. It turns to be the dynamical counterpart of the situation considered in [3] for stationary tunneling. In dynamical transport, this phenomenon manifests itself by the destructive quantum interference and resonance coalescence, described by an exceptional point of a generalized transmission coefficient. As a result, for instance, one can observe a dip in the real part of the conductance at resonant frequency.

[1] E. Lustig, S.Weimann, Y. Plotnik et al. Nature 567, 356 (2019).

[2] L.Yuan, Q. Lin, M. Xiao et al. Optica 5 (11), 1396 (2018).

[3] A. A. Gorbatsevich, G.Ya. Krasnikov, and N. M. Shubin. Scientific Reports 8, 15780 (2018).

Gorbatsevich A.A., Shubin N.M.

JETP Letters 110, issue 9  (2019)

 

 Specific features of the band structure of transition metal dichalcogenides (TMDCs) monolayers — the presence of two valleys, strong spin – orbit interaction — have recently become the subject of a large number of theoretical and experimental studies. Relatively few papers are available on the spatially inhomogeneous problems with  TMDCs – quantum dots and quantum wires (QW).  

 In the present work we consider a QW made of TMDCs monolayer in the form of straight strip. Our analysis is based on the Dirac-type Hamiltonian with the finite gap and with accounting for the spin splitting both conduction and valence bands [1, 2, 3]. We use the boundary condition for the electron wave function proposed in [4] which is a special case of the more general consideration given in [5]. Our main findings are:

 1.  There exists a certain critical value of the strip width L= Lcr that separates two types of the electron spectrum: for L> Lcr there are energy levels (subbands in which energy depends on the momentum along the wire) lying within the band gap of an infinite sample, while at L < Lcr such states are absent.  Note, that in conventional QW for particles with parabolic dispersion law there are no states in the forbidden gap for any value of width.

 2.  The optical absorption of the QWs in question differs essentially from the one in conventional QWs. First of all, for the interband transitions there is no strict selection rule  Dn=0  where  n  is the number of the transversal subbands  in the valence band and the conduction band (cf. with conventional QWs where only interband  transitions at  Dn=0  are allowed). However in our case the transitions with  Dn=0  are still much more intensive than others. Second, depending on the mutual parity of the numbers of size quantization subbands in the valence and conduction bands, optical transitions are characterized by significantly different threshold behavior of the absorption intensity. Namely, for the transitions even – even or odd – odd types the threshold dependence of the absorption is I µ  (w-w0)-1/2  while for even – odd and odd – even cases we obtain  I µ  (w-w0)1/2.

 

[1]  D.Xiao et al., Phys.Rev.Lett., 108, 196802 (2012).

[2]  A.Kormanyos et al., 2D Materials, 2, 022001 (2015).

[3]  V.V.Enaldiev, Phys.Rev.B, 96, 235429 (2017).

[4]  M.V.Berry and R.J.Mondragon, Proc.R.Soc.Lond., A412, 53 (1987).

[5]  V. A. Volkov and T. N. Pinsker, Sov. Phys. Solid State 23, 1022 (1981).

 

R.Z.Vitlina, L.I.Magarill, A.V.Chaplik

JETP Letters 110, issue 8  (2019)

 

The discovery of superconductivity in iron-based pnictides and chalcogenides with a relatively high transition temperature has attracted considerable interest due to the unusual correlations between magnetism and superconductivity in these compounds [1-3]. Several theoretical models of superconductivity based on pair interactions associated with magnetic fluctuations have been proposed [3-7]. Much attention is paid to studying the interaction of superconductivity, nematicity of the electronic structure, and quantum paramagnetism in FeSe and FeSe1-xSx compounds [8,9]. The coexistence of ferromagnetism and superconductivity in FeSe crystals doped with Bi2Se3 was reported recently [10]. 

In the present work, the method of Mössbauer spectroscopy on 57Fe nuclei was used to study magnetic correlations and possible structural and electronic transformations that are expected in the temperature range of nematic and superconducting transitions in single crystals of iron selenide doped with sulfur Fe (Se0.91 ± 0.01S0.09 ± 0.01)1-δ. It was found that at room temperature, FeSe0.91S0.09 samples have a tetragonal β-FeSe structure of the PbO type (space group P4/mmm), which transforms into the orthorhombic phase when the crystal is cooled down to Ts ≈ 80 K. The temperature of the superconducting transition is  = 10.1 .

The temperature dependence of the hyperfine interaction parameters obtained from the Mössbauer spectra revealed a number of anomalies in the temperature range of the superconducting Tc, structural Ts, and nematic T* phase transitions. It was established that iron atoms are in a nonmagnetic state even in the region of helium temperatures, which is explained by the low-spin state of Fe2+ ions (3d6, S = 0). It is shown that this state practically does not change at temperatures of transition to the superconducting state. This means that the low-spin state of iron ions is more likely a structural factor, and is not directly related to superconductivity. Thus, there is no effect of the suppression of magnetism by superconductivity.

The electrical resistance and Mössbauer spectroscopy data show that in the Fe(Se0.91S0.09)1-δ crystal, the temperature of the nematic transition T* is about 200 K and is much higher than the temperature of the structural transition (Ts ≈ 80 K). The Debye temperature, obtained from Mössbauer data for the iron sublattice, is ΘM = 478 K, which turned out to be much higher than in the undoped FeSe1-δ compound (ΘM = 285 K).

 

[1] Y. Kamihara, T. Watanabe, M. Hirano, and H. Hosono, J. Am. Chem. Soc. 130, (2008) 3296.

[2] X. H. Chen, T. Wu, G. Wu, R. H. Liu, H. Chen, and D. F. Fang, Nature 453, (2008) 761.

[3] M.V Sadovskii. Physics-Uspekhi 59(10), (2016) 947.

[4] Y. Mizuguchi, Y. Hara, K. Deguchi, et al., Supercond. Sci. Technol. 23, (2010) 054013.

[5] J. Paglione and R. L. Greene, Nat. Phys. 6 (2010) 645.

[6] V.A. Gasparov, JETP 111(2), (2010) 313.

[7] A.A. Kordyuk, Low Temp. Phys. 38, (2012) 888.

[8] K.K. Huynh, Y. Tanabe, T. Urata, et al., Phys. Rev. B 90, (2014) 144516.

[9] Q. Wang, Y. Shen, B. Pan, et al., Nature Materials 15 (2016) 159.

[10] Y. Liu, X.Y. Pu, K. Zhao, X.S. Yang, Y. Zhao, Solid State Comm. 281, (2018) 27.

 

K.V. Frolov, I.S. Lyubutin, D.A. Chareev and M. Abdel-Hafiez

JETP Letters 110, issue 8 (2019)

 

  The original TKNN invariant [1] responsible for the Hall conductivity has been derived for the uniform magnetic field (constant both as a function of time and space coordinates). The expression for the Hall  conductivity discussed in the present paper  is an extension of the TKNN invariant to the case of varying (in space) magnetic fields. Therefore, its consideration is important and should be interesting for the wide audience. The non - renormalization of the Hall conductivity (given by the original TKNN invariant) by interactions has been discussed earlier [2-6]. But this consideration was limited by the case of constant magnetic fields. Now we present the proof that the QHE conductivity (given by our extension of the TKNN invariant) is robust to the introduction of interactions in the case of varying magnetic field. This result has never been obtained in the past, to the best of our knowledge.
  In addition, the mathematical form of the topological invariant in phase space discussed here is somehow similar to the one of the topological invariant in momentum space composed of the two - point Green function. The latter topological invariant and its variations are used widely (see G.E. Volovik "Universe in a Helium droplet"). Now the Green function is substituted by its Wigner transformation depending on both space coordinates and momentum. The ordinary products are therefore changed to the Moyal (star) product, thus leading to the beautiful mathematical structure.  The resulting expression may be used in the presence of interaction for the calculation of Hall conductivity. One simply has to insert to it the interacting (Wigner transformed) two - point Green function. The Green functions with larger number of legs do not contribute to the Hall conductivity (this also has been proved in the presented paper).
  We would also like to emphasize, that our proof is valid to all orders in the perturbation theory.
 
[1] D. J. Thouless, M. Kohmoto, M. P. Nightingale, and M. den Nijs, Phys. Rev. Lett. 49, 405(1982).
[2] Ryogo Kubo, Hiroshi Hasegawa, Natsuki Hashitsume, Journal of the Physical Society of Japan 14(1) (1959) 56-74 DOI: 10.1143/JPSJ.14.56
[3] Q. Niu, D. J. Thouless, and Y. Wu, Phys. Rev. B 31, 3372 (1985).
[4] B. L. Altshuler, D. Khmel'nitzkii, A. I. Larkin and P. A. Lee, Phys.Rev.B 22, 5142 (1980).
[5] B.L. Altshuler and A.G. Aronov, Electron-electron inter-action in disordered systems (A.L.Efros, M. Pollak, Ams-terdam, 1985).
[6] S. Coleman and B. Hill, Phys. Lett. B159 (1985) 184 T. Lee, Phys. Lett. B171 (1986) 247

C.X.Zhang, M.A.Zubkov
JETP Letters 110, issue 7 (2019)

Landau quantization in a two-subband Fermi electronic system placed in an external perpendicular magnetic field B leads not only to the well-known Shubnikov – de Haas (SdH) oscillations, but also to another type of quantum resistance oscillations — the magneto-intersubband oscillations (MISO) [1, 2]. MISO are not suppressed by the temperature broadening of the Fermi distribution function and therefore allow one to study quantum transport under conditions when SdH oscillations cannot be used for these purposes [3, 4]. The present work is devoted to the study of MISO in a one-dimensional (1D) lateral superlattice (LSL), where 1D periodic potential is applied to a two-subband electronic system.

The 1D LSL was created on the basis of a selectively doped GaAs/AlAs heterostructure [5, 6]. The measurements were carried out using Hall bars fabricated by means of optical lithography and wet etching. The 1D LSL of period a = 300 nm was created as an array of metal strips on a planar surface of Hall bars using electron beam lithography and the method of exploding an Au/Ti bilayer metallic film. The potential modulation in the studied LSL arises without applying voltage to the metal strips. One of the reasons for this modulation is elastic mechanical stresses between metal strips and a heterostructure [7].

The measurements were carried out at the temperature T = 4.2 K in magnetic fields B < 2 T. It has been shown that commensurability oscillations (CO) of resistance co-exist with MISO in the studied LSL. It has been found that 1D periodic potential in a two-subband electron system leads not only to COs but also to MISO amplitude modulation, which is caused by periodic modulation of Landau level width in a 1D LSL in external inverse magnetic field. It has been shown that increased intersubband scattering time in a two-subband system under 1D periodic potential modulation is one of the reasons of MISO amplitude damping in a 1D LSL.

[1] V. M. Polyanovskii, Sov. Phys. Semicond. 22, 1408 (1988).

[2] D. R. Leadley, R. Fletcher, R. J. Nicholas, F. Tao, C. T. Foxon, and J. J. Harris,

Phys. Rev. B 46, 12439 (1992).

[3] A. A. Bykov, A. V. Goran, and S. A. Vitkalov, Phys. Rev. B 81, 155322 (2010).

[4] O. E. Raichev, Phys. Rev. B 81, 195301 (2010).

[5] K.-J. Friedland, R. Hey, H. Kostial, R. Klann, and K. Ploog, Phys. Rev. Lett. 77, 4616 (1996).

[6] D. V. Dmitriev, I. S. Strygin, A. A. Bykov, S. Dietrich, and S. A. Vitkalov, JETP Lett. 95, 420 (2012).

[7] Ivan A. Larkin, John H. Davies, Andrew R. Long, and Ramon Cuscó, Phys. Rev. B 56, 15242 (1997).

 

A.A. Bykov, I.S. Strygin, A.V. Goran, D.V. Nomokonov,

I.V. Marchishin, A.K. Bakarov, E.E. Rodyakina, A.V. Latyshev

JETP Letters 110, issue 5 (2019).

 

 

It has been shown in [1] that any photoluminescent body in thermal equilibrium obeys the following relation:

$ P(\lambda_1, T) F(\lambda_1, \lambda_2, t) = P(\lambda_2, T) F(\lambda_2, \lambda_1, t) $ (1)

where P(λT) is the Planck function, which describes the spectral density of thermal radiation at wavelength λ and temperature T, and F(λ1λ2t) is the time-resolved excitation-emission matrix, which describes the probability density of emitting a photon with wavelength λ2 at time t as a result of absorption of a photon with wavelength λ1 at time t = 0. For fixed λ1, the function F(λ1λ2t) is the photoluminescence spectrum PL(λλ0t) at time t after a short-pulse excitation at wavelength λ0: PL(λλ0t) = F(λ0λt). For fixed λ2, the function F(λ1λ2t) is the photoluminescence excitation spectrum PLE(λλ0t) detected at wavelength λ0 at time t after a short-pulse excitation at wavelength λ: PLE(λλ0t) = F(λλ0t). Equation (1) rearranged to

$ \frac{ PL(\lambda;\lambda_0, t) }{ PLE(\lambda;\lambda_0, t) } = \frac{ P(\lambda, T) }{ P(\lambda_0, T) } $ (2)

is a new universal photoluminescence law stating that for any luminophore in thermal equilibrium, the ratio of the corresponding time-resolved photoluminescence and photoluminescence-excitation spectra, PL(λλ0t) and PLE(λλ0t), is equal to the ratio of black-body radiation spectra at wavelengths λ and λ0.

For fixed λ1 and λ2, the function F(λ1λ2t) is the kinetics of decay of photoluminescence excited instantaneously at λ1 and detected at λ2. Since the right-hand side of equation (2) does not depend on time, the left-hand side is also time-independent. This means that the photoluminescence decay kinetics is invariant under interchange of the excitation and detection wavelengths up to a time-independent factor.

The aim of the present study is to test the relation (2) experimentally by measuring the photoluminescence decay kinetics with interchanging the excitation and detection wavelengths. This implies that when the forward process is a Stokes photoluminescence, then the reverse process is an anti-Stokes photoluminescence. Colloidal solutions of InP/ZnS quantum-dot nanoclusters, which do not obey the Vavilov law about the independence of the photoluminescent properties of a luminophore of  the excitation wavelength, have been used in the study to test the invariance of the decay kinetics under interchange of the excitation and emission wavelengths.

[1]. S. A. Tovstun, V. F. Razumov, et all. // J. Lumin. 190, 436 (2017).

 

Razumov V.F., Tovstun S.A., Kuzmin V.A.

JETP letters 110, Issue 5 (2019)

 

 

 

Studies of oscillatory magnetotransport effects are one of the most reliable methods for investigating energy spectrum of 2D carrier systems. A magnetic field normal to the plane of a 2D gas leads to orbital quantization of the spectrum and, as a consequence, to the appearance of oscillations of the magnetoresistance (ρxx) at low temperatures (Shubnikov de Haas oscillations). These oscillations are periodic in the inverse magnetic field and their frequency f is determined by the carrier concentration.

  In systems in which two (or several) branches of the spectrum E1,2 (k) are filled, the oscillations are observed with frequencies f1 and f2, determined by the carrier concentration in its branch. The sum of these oscillations manifests itself as a beating of oscillations of ρxx,, causing nodes and antinodes at certain magnetic fields.

In the presence of transitions between the branches, new oscillations arise with a difference frequency, f1 - f2. They are called magneto-intersubband oscillations (MISO) [1,2]. The simplest qualitative examination shows that the positions of the antinodes in magnetic field must coincide with the ρxx maxima of MISO. Such mutual positions of the antinodes and the MISOs were investigated for the structures based on wide-gap semiconductors with double quantum wells, for wide quantum wells where two branches of the spectrum are formed due to the Coulomb repulsion of electrons, and for structures with two filled subbands of the size quantization.

Along with the cases described above, the two branches of the spectrum for a single quantum well can arise due to the strong spin-orbit (SO) interaction. The large SO splitting can occur for the quantum wells of narrow-gap (InAs, InSb) and gapless (HgTe, HgSe) semiconductors, as well as for many new topological insulators. Such MISO oscillations were considered only theoretically [3, 4], but were never observed experimentally.

This work reports an experimental study of rxx  in  the gated structures with HgTe quantum wells of 8-20 nm widths with an inverted spectrum. It was found that, unlike all other cases and theoretical predictions, the mutual position of the antinodes and MISO is quite opposite. Namely, the positions of the antinodes in a magnetic field coincide with the ρxx minima of MISO. A possible reason for such unusual behavior is discussed.

1. .. , , 22, 2230. (1988)

2. D.R Leadly, R. Fletcher and R. J. Nicholas, Phys. Rev.B, 46, 12439- (1992)

3. M. Langenbuch, M. Suhrke and U. Ro^¨ssler, Phys. Rev. B  69, 125303 (2004)

4. S. G. Novokshonov, Low Temperature Physics 39, 378 (2013)

G.M. Minkov, O.E. Rut, A.A. Shestobitov, S.A.Dvoretski, N.N. Mikhailov

JETP Letters 110, issue 4 (2019)

 

 

 

Precisely mapping the phase diagram of strongly-interacting matter is a challenging problem. Lattice simulations of QCD, the field theory of strong interactions, are reliable at zero density, but become less precise when the density is finite and at the moment are not capable to map the whole phase diagram of strong interactions.
The most dramatic phenomenon that happens when strongly interacting matter is heated to extreme temperatures is restoration of chiral symmetry, a key symmetry of QCD that largely determines properties of hadrons and interactions among them. Chiral symmetry restoration is a sharp crossover at zero density that happens at temperature $T_{0}\simeq 157\,{\rm Mev}$ accurately known  from lattice simulations \cite{Bazavov:2018mes}.  Various model estimates predict that at larger baryon densities the crossover becomes sharper and eventually merges into a line of first-order phase transitions at a critical endpoint whose precise location on the $T-\mu $ plane is not entirely known. Model estimates vary by a factor of a few  \cite{Stephanov:2004wx} depending on the model assumptions.
The order parameter of the chiral symmetry breaking is the quark condensate $ \bar{\psi }\psi$, which has a non-zero expectation value in the vacuum. The pseudo-Goldstone modes that arise from the chiral phase of the condensate: $\bar{\psi }\psi \sim \Sigma\,{\rm e}\,^{\gamma ^5 T^{a}\pi _{a}} $ are identified with pions, kaons and the $\eta $-meson, which are substantially lighter than other hadrons. Chiral symmetry restoration is typically associated with melting of the quark condensate, but can also proceed via disordering of the condensate's phase. Strong pion fluctuations, such that $\left\langle \mathop{\mathrm{tr}}\,{\rm e}\,^{iT^{a}\pi _{a}}\right\rangle=0$, will restore chiral symmetry even if condensate's modulus is non-zero.
This paper studied this slightly unconventional scenario of chiral symmetry restoration. Following \cite{Zarembo:2001wr} the shape of the pseudocritical line on the $T-\mu $ plane can then be predicted from the low-energy effective field theory. An interesting consequence of this scenario is an absence of the critical endpoint. The symmetry restoration always proceeds through a crossover which moreover becomes weaker with growing baryon density.
 
1. A. Bazavov et al., 1812.08235.
2. M. A. Stephanov, Prog. Theor. Phys. Suppl. 153, 139 (2004).
3. K. Zarembo, JETP Lett. 75, 59 (2002).

K. Zarembo

JETP Letters 110, issue 3 (2019).

 

Recently, a number of quasi-two-dimensional (Q2D) high-temperature and intermediate-temperature superconductors have been discovered. The anisotropic upper magnetic critical fields in some of them can be described by the Lawrence-Doniach model, which is relevant to Q2D superconductors with high anisotropic properties. On the other hand, there are many Q2D superconductors with intermediate anisotropy of the upper critical magnetic fields, which are usually described by the so-called effective masses (EM) model, partially based on the anisotropic Ginzburg-Landau equations. The most popular such Q2D compounds are MgB2 and Fe-based superconductors [1]. It is possible to define anisotropic ratio in Q2D superconductors, g, as the ratio of the parallel and perpendicular upper critical magnetic fields, which is always bigger than 1, g > 1. In accordance with EM model, the ratio g doesn’t have to depend on temperature. Meanwhile recent experiments show strong temperature dependence of anisotropy g, which in the case of superconductor MgB2 increases with decreasing temperature.

   The previous explanations of this phenomenon were based on some approximate many-band calculations of the upper critical magnetic fields and were prescribed to many-band effects. In this Letter, we investigate anisotropy ratio, g, more carefully by using derivation and investigation of an integral equation for the so-called superconducting nucleus, using the Gor’kov equations for non-uniform superconductivity (see, for example, the corresponding derivations for a 3D isotropic case in Ref.[2]) . For the first time, we show that the superconducting nucleus is not of the Gaussian shape for the parallel upper critical magnetic field and even changes its sign with space coordinate. This circumstance breaks down the EM model and predicts a factor of 1.3 increase of the upper critical magnetic fields ratio, g, with decreasing temperature. We prescribe the experimentally observed increase of the parameter g in the superconductor MgB2 [1] to the breakdown of the EM model suggested in the Letter. This issue is an important one since Q2D high-temperature and intermediate-temperature superconductors are good candidates for some scientific and industrial applications in high magnetic fields.

[1] See, for example, review V.G. Kogan and R. Prozorov, Rep. Prog. Phys. 75, 114502 (2012).

[2] L.P. Gor’kov, Sov. Phys. JETP, 37(10), 42 (1960).

                                                                                                                                                       Lebed A.G.

                                                                                                                      JETP Letters 110, issue 3 (2019).

 

The formation of metallic hydrogen, predicted in [1], was observed experimentally in [2]. It is also assumed that this state of solid hydrogen is a superconductor at room temperature. However, the possibility of practical application of the metallic hydrogen is significantly limited by the pressure of formation of this state. The properties of stability and metastability of metallic hydrogen depend on the structure, which determines the relevance of the theoretical study of this issue. As it was shown in [3 - 6], atomic metallic hydrogen at zero temperature exists in a metastable state up to normal pressure.
In the present work, the quantum molecular dynamics method within the framework of the density functional theory is applied for the calculation of the equation of state, the pair correlation function, and the static electrical conductivity of solid hydrogen in the region of the possible formation of the conducting phase. A hysteresis of the dependence of pressure on density is observed under compression and following expansion in the pressure range from 350 GPa to 625 GPa, corresponding to the region of existence of metastable states of molecular and non-molecular solid hydrogen. Thus, the magnitude of the metastability region is 275 GPa. An estimate of the equilibrium pressure of the transition to the non-molecular state 487.5 GPa was obtained.
During compression, the transition of molecular hydrogen with the C2/c symmetry to a conducting non-molecular state with the C2221 symmetry through an intermediate conducting molecular phase with Cmca-4 symmetry was detected. Under expansion, the transition of the non-molecular structure of C2221 to the molecular Cmca-4 occurs through an intermediate non-molecular state with the P21/c symmetry group. The possibility of the existence of conductive non-molecular crystalline hydrogen with P21/c symmetry under expansion up to a pressure of 350 GPa is shown.

[1] E. Wigner, H. B. Huntington, J. Chem. Phys. 3, 764 (1935).
[2] R. Dias, I. F. Silvera, Science 355, 715 (2017).
[3] Yu. Kagan and E. G. Brovman, Sov. Phys. Usp. 14, 809 (1971).
[4] E. G. Brovman, Yu. Kagan, and A. Kholas, Sov. Phys. JETP 34, 1300 (1972).
[5] E. G. Brovman, Yu. Kagan, and A. Kholas, Sov. Phys. JETP 35, 783 (1972).
[6] Yu. Kagan, V. V. Pushkarev, and A. Kholas, Sov. Phys. JETP 46, 511 (1977).

I.M. Saitov
JETP Letters 110, №3 (2019)

There are a number of physical systems in which, under certain conditions, spatially ordered electronic superstructures are formed. Charge and spin density waves (CDW and SDW), Wigner crystals and vortex lattices in type-II superconductors in a magnetic field are examples of such systems. The interaction of the superstructure with local lattice imperfections (various point defects, impurities, etc.) leads to its  pinning. In the simplest case, such a pinning (let's call it local) is divided into collective (weak) and individual (strong).
In the present work, it is experimentally shown that, in the Peierls conductor {\it o}-TaS$_3$, a new type of CDW pinning appears as a result of samples quenching. It is characterized by a number of fundamental differences from pinning by local pinning centres, namely:
 
  1.   Pinning by quenching defects is not described by the $\sqrt {E_T} \propto \Delta T_P$ law typical for both weak and strong local pinning centres. ere $E_T$ is  the threshold field for onset of CDW sliding and $\Delta T_P$ is pinning-induced change of the Peierls transition temperature. 
  2.  In the case of pinning by quenching defects, only a slight smoothing of the Peierls transition occurs even for a large  $\Delta T_P$, whereas in the case of local pinning  with similar changes in $\Delta T_P$, the Peierls transition is almost completely suppressed due to the loss of three-dimensional ordering.
  3.  Pinning provided by quenching defects is unstable and can be eliminated  by thermocycling in the temperature range  $T <T_P$. As a result, it becomes spatially inhomogeneous with a lower concentration of quenching defects at the ends of the crystal.

 The presence of these features allows us to conclude that quenching defects are macroscopic (non-local) objects, for example, dislocations, which can glide along the crystal. They lead to a previously unknown type of CDW pinning with properties different from local pinning ones. The feature of Peierls conductors is strong CDW interaction with defects. As a result of this interaction, forced diffusion of quenching defects and their exit from the crystal takes place during low-temperature thermocycling.

 

 

V.E.Minakova, A.M.Nikitina, S.V.Zaitsev-Zotov

                                                                              JETP letters, v. 110, issue1 (2019)

 

In connection with recent report on the first detection of terahertz (THz) emission due to intra-exciton radiative transitions in semiconductors [1] and a number of theoretical works predicting the possibility to achieve intra-exciton population inversion at intense band-to-band optical excitation of a crystal (see [2] and also [3] and other references therein) it is very important to verify experimentally the possibility of implementing an exciton THz laser.

In this work, we studied the THz photoluminescence (PL) from high-purity silicon due to radiative transitions between the energy levels of free excitons under conditions of continuous-wave interband photoexcitation with a maximum density of up to 120 W/cm2. The appearance of the superlinear dependence of the intensity of the intra-exciton THz emission on the pump intensity at temperatures above 20-25 K was found. The transition from the linear to superlinear dependence of the THz PL intensity on the pump intensity occurs at a photoexcitation density of about 7 W/cm2. The observed regular patterns are explained by the appearance of the THz stimulated emission and, accordingly, population inversion in the system of excitons at their high density. The THz gain spectrum was obtained, which shows the lines at 13.7 and 15.5 meV, the gain values ​​of which are 0.5 and 1 cm-1, respectively, at 25 K and the photoexcitation density of order of 35 W/cm2. The line at 13.7 meV is due to the population inversion between highly excited exciton states and the ground state of free excitons. The gain line at 15.5 meV possibly corresponds to the population inversion between the two-exciton and bi-exciton states. The values ​​of the terahertz gain indicate that a new type of THz laser can be created on transitions between energy levels of free excitons in silicon under conditions of interband photoexcitation.

 

[1] A.V. Andrainov, and A.O. Zakhar’in – Intrinsic Terahertz Photoluminescence from Semiconductors – Appl. Phys. Lett., 112, 041101 (2018).

[2]  M. Kira, and S.W. Koch -  Exciton-Population Inversion and Terahertz Gain in Semiconductors Excited to Resonance - Phys. Rev. Lett., 93, 076402 (2004).

[3]  G.K. Vlasov, and S.G. Kalenkov – Sources of Coherent Far-Infrared Radiation on Hot Excitons in Crystals - Int. J. Infrared Millimeter Waves, 4, 955 (1983).

Zakhar’in A.O., Andrianov A.V. Petrov A.G.

                                                                              JETP letters, v. 109, issue12 (2019)

 

 

 

 

 

Non-linear Hall effect has been predicted in a wide class of time-reversal invariant materials [1], like topological crystalline insulators, two-dimensional transition metal dichalcogenides, and three-dimensional Weyl and Dirac semimetals. Recently,  the time-reversal-invariant non-linear Hall (NLH) effect  has been reported for two-dimensional layered  dichalcogenides [2, 3]. It stimulates a search for the Berry curvature dipole induced NLH effect in  three-dimensional  crystals, where  Dirac and Weyl semimetals are excellent candidates.
In the experiments [2, 3] on two-dimensional WTe$_2$,  the the second-harmonic Hall voltage depends quadratically on the longitudinal current. On the other hand, topological materials are  characterized by strong thermoelectric effects, which also appear as a second-harmonic  quadratic signal.  For this reason, it is important to experimentally distinguish between the Berry curvature dipole induced NLH effect  and a thermoelectric response while searching for the NLH effect in  nonmagnetic materials.
We experimentally investigate a non-linear Hall effect  for three-dimensional  WTe$_2$ and  Cd$_3$As$_2$ single crystals, representing  Weyl and Dirac  semimetals, respectively. We observe finite second-harmonic Hall voltage, which  depends quadratically on the longitudinal current  in zero magnetic field, as it has been predicted theoretically.  We demonstrate that second-harmonic Hall voltage shows odd-type dependence on the direction of the magnetic field, which is a strong argument in favor of current-magnetization effects. In contrast, one order of magnitude higher thermopower signal is independent of the magnetic field direction. Thus, the magnetic field dependence allows to distinguish the non-linear Hall effect from a thermoelectric response.
 
[1] Sodemann and Liang Fu, Phys. Rev. Lett., 115, 216806 (2015).
[2] Kaifei Kang, Tingxin Li, Egon Sohn, Jie Shan, Kin Fai Mak, arXiv:1809.08744 (2018).
[3] Qiong Ma, et al., arXiv:1809.09279 (2018).

 

Shvetsov O.O., Esin V.D., Timonina A.V., Kolesnikov N.N., Deviatov E.V. 

JETP Letters 109, issue 11 (2019)

 

Non-classical squeezed light is one of the most attractive quantum objects. Squeezed light is in the center of scientific interest nowadays due to its unique features, such as entanglement of large number of photons, twin-beam correlations and suppressed variance of one of the field quadratures. Such light is very important for many applications in quantum information, quantum tomography and measurements with noise reduction beyond the standard quantum limit.

It was shown that squeezed light can be presented as superposition of Schmidt modes, which are orthogonal and carry all its non-classical features [1]. For applications it is necessary to be able to control and manipulate the properties and mode content of squeezed light. To solve this task, the scheme based on the sum-frequency generation process seeded by squeezed light was suggested [2-4]. The proposed scheme was able to block a certain temporal mode of non-classical light by converting its photons into the sum-frequency mode with a narrow Gaussian spectral profile.

In this work we develop further the idea of the sum-frequency generation with the squeezed light at the input and give detailed theoretical description of this process in the frame of Schmidt modes. We analyze the transformation of spectral properties of squeezed light and predict new effects. We describe quantum-optical gate which provides wide opportunities for managing the spectral signal of squeezed light and allows to control the Schmidt mode weights. The complete blocking of the signal in a certain Schmidt mode is shown to redistribute the weights of other modes and therefore gives the possibility of engineering the spectral and temporal properties of outgoing signal. In the full conversion regime the quantum-optical gate is demonstrated to transfer all the features of non-classical squeezed vacuum state to the light generated in the sum frequency channel.

 

[1] P.R. Sharapova, O.V. Tikhonova, S. Lemieux et. al., Phys. Rev. A. 97, 053827 (2018)

[2] A. Eckstein, B. Brecht and C. Silberhorn, Optics Express. 19, 13770 (2011).

[3] B. Brecht, A. Eckstein, A. Christ et al, New J. Phys. 13, 065029 (2011).

[4] V. Ansari, J. Donohue, B. Brecht and C. Silberhorn, Optica 5, 534-550 (2018).

 

V.V. Sukharnikov, O.V. Tikhonova

JETP Letters 109, issue 9 (2019)

 

 

 

 

    In 2018, a number of experimental works [1-3] were published, in which it was shown that lanthanum hydrides at high pressures P = 150¸190 GPa are superconductors with very high critical temperatures Tc = 215¸260 K. The detected crystalline phase is considered to have FM-3M symmetry and LaH10 stoichiometry.  However, calculations of the phonon spectrum of this structure show that it is dynamically stable only for pressures of P>210 GPa, which is beyond the pressure range of experimental work.

    This paper presents the results of a search for new structures of lanthanum hydride, which could correspond to the experimental results [1-3] and would be dynamically stable at pressures in the range P = 150¸200 GPa. Based on quantum calculations in the framework of the density functional theory, a new structure of lanthanum hydride La2H24 was predicted for the first time. This structure is dynamically stable up to pressures of the order of 150 GPa. It is a semimetal and has a low symmetry of crystal lattice P-1. An important feature of the structure is the presence of quasi-molecular hydrogen  chains, which leads to the presence of frequencies of about 420 meV in the phonon spectrum, exceeding the maximum oscillation frequency of the metallic hydrogen FDDD phase (ω~360 meV). These properties allow us to expect to achieve a high superconducting critical temperature for lanthanum hydride La2H24.

[1] A. P. Drozdov, V. S. Minkov, S. P. Besedin, P. P. Kong, M. A. Kuzovnikov, D. A. Knyazev, M. I. Eremets – Superconductivity at 215 K in lanthanum hydride at high pressures – arXiv:1808.07039.

[2] M.Somayazulu, M.Ahart, A.Mishra, Z.M. Geballe, M.Baldini, Y.Meng, V.V. Struzhkin, and R.J.Hemley – Evidence for superconductivity above 260 K in lanthanum superhydride at megabar pressures – arXiv:1808.07695.

[3] A. P. Drozdov, P. P. Kong, V. S. Minkov, S. P. Besedin, M. A. Kuzovnikov, S. Mozaffari, L. Balicas, F. Balakirev, D. Graf, V. B. Prakapenka, E. Greenberg, D. A. Knyazev, M. Tkacz, M. I. Eremets.  Superconductivity at 250 K in lanthanum hydride under high pressures – arXiv:1812.01561.

 

Degtyarenko N.N., Grishakov K.S., Mazur E.A.

JETP Letters 109, issue 6 (2019)

 

To date, a significant number of indirect observations indicating the existence of a superconducting state up to room temperature in some small regions of highly oriented pyrolytic graphite (HOPG) samples have been reported [1]. The main problem was that the super-conducting regions included only a small amount of carbon material with an unknown structural nature and, consequently, showed poor reproducibility of the superconductivity effect for different samples of HOPG with the same macroscopic dimensions. Significant progress in controlling the effect of superconductivity was obtained by embedding multilayer multilayered graphene flakes into a polystyrene matrix, so that covalent bonds are formed between the multilayered graphene flakes and the polystyrene [2,3]. In those papers, we reported a current–voltage characteristic of Josephson type up to temperatures higher than room temperature. In the present paper, we show that for the resulting magnetic moment of the same composite a  magnetic field dependence typical of superconductors is observed in the same temperature range where previously a Josephson current-voltage characteristic was observed. In the experiment, we used a vibrating magnetometer of the PPMS-9 series (Quantum Design) in the temperature range 2-400 K and with magnetic fields of 0 – ± 10 T. 

            The reason for the emergence of superconductivity in multilayered graphene, as was first discussed in [2,3], may be the formation of covalent bonds with the polystyrene, leading to deformation of the graphene. Such deformation can produce a shift or rotation at different angles, including the magic angle [4], of one layer of graphene relative to another in multilayered graphene flakes embedded in a polystyrene matrix. As a result, within the interface regions between the graphene layers, flat energy zones arise, which can lead to room-temperature superconductivity [5].

[1] P. Esquinazi, N. García, J. Barzola-Quiquia, P. Rödiger, K. Schindler, J.-L. Yao, M. Ziese, Indications for intrinsic superconductivity in highly oriented pyrolytic graph. Phys. Rev. B 78(1–8), 134516 (2008)

[2] A.N. Ionov, Technical Physics Letters 41(7), 651 (2015)

[3] A.N. Ionov, J Low Temp Phys, 185, 515 (2016).

[4] Y. Cao, V. Fatemi, S. Fang, K. Watanabe, T. Taniguchi, E. Kaxiras, P. Jarillo-Herrero, Nature, 556, 43 (2018).

[5]  G. E. Volovik, JETP Lett. 107, 516 (2018).

A.N.Ionov, M.P.Volkov, M.N.Nikolaeva 

 JETP Letters 109, issue 3  (2019)

 

 

In the 2D developed hydrodynamic turbulence at  high Reynolds numbers the formation of the  Kraichnan direct cascade  with a constant enstrophy flux  is due to the appearance of the vorticity quasi - shocks, because of the compressibility of continuously distributed lines of the di-vorticity field ${\bf B}=\mbox{rot}\,\mathbf{\omega}$ [1]. This property follows directly from the frozenness equation for ${\bf B}$,
\begin{equation} \label{Helmholtz}
\frac{\partial {\bf B}}{\partial t} =\mbox{rot}[{\bf v}\times {\bf B}],\,\,\mbox{div}\,{\bf v}=0,
\end{equation}
 whence one can see that ${\bf B}$ changes only  by virtue of the velocity component ${\bf v_n}$ normal to the di-vorticity vector. In the general situation, $\mbox{div}\,{\bf v_n}\neq 0$ and
this is the reason for the compressibility of continuously distributed di-vorticity lines and, accordingly, the tendency to breaking, that results in the formation of vorticity quasi-shocks.

In the case of freely decaying turbulence, this process is dominant, leading to a strong anisotropy of the turbulence spectrum due to the presence of jets generated by quasi-shocks [1, 2].  As shown by the numerical experiments, for typical initial conditions the growth of the di-vorticity is 2 – 2.5 orders of magnitude, and the transverse size of the maximal area ${\bf B}$ decreases significantly.
 The key point here for understanding is the compressibility of the di-vorticity field. As is known, breaking in the gas dynamics occurs due to the compressibility of the gas when approaching the breaking point (see, e.g.[3]). Similarly, the formation of the vorticity quasi-shocks happens.

In this paper, we investigate how the maximum value of the di-vorticity varies depending on the thickness of the maximum area in order to find out whether this process can be considered as a fold formation.  As a result of numerical simulation on the grid 16384x16384, we found that between the maximum value of $B_{\max}$ and the thickness of $\ell$, at the stage of exponential growth, there is a power law dependence: $B_{\max}\sim \ell^{-\alpha}$ , where the exponent $\alpha$ is close to $2/3$.  This result indicates that the formation of quasi-shocks can be considered as a process of folding for a divergent  free vector field - the di-vorticity field.

[1] E.A.Kuznetsov, V.Naulin, A.H.Nielsen, and J.J.Rasmussen, Phys. Fluids 19, 105110 (2007).
[2] A.N.Kudryavtsev, E.A.Kuznetsov, E.V.~Sereshchenko, JETP Letters, 96, 699-705 (2013).
[3] S.F. Shandarin, Ya.B. Zeldovich,  Rev. Mod. Phys. 61, 185 (1989).
[4] D.S. Agafontsev, E.A. Kuznetsov and A.A. Mailybaev, Phys. Fluids 30, 095104 (2018).

 

E.A. Kuznetsov, E.V. Sereshchenko,

JETP Letters 109, issue 4 (2019).

The quantum spin Hall insulator state (QSHI) is a two-dimensional topological phase of matter with insulating 2D bulk state and a pair of spin-polarized gapless helical edge states. These edge states may have spintronic applications, which are made possible by the all-new demonstration of QSHI state at 100 K performed on a WTe2 monolayer [1]. However, device engineering involving monolayer materials is challenging, often because of structural or chemical instabilities.

The realistic candidates for high-temperature QSHI in semiconductor heterostructures with mastered technological process are the three-layer InAs/Ga(In)Sb/InAs quantum wells (QWs) confined between wide-gap AlSb barriers [2]. Depending on their layer thicknesses, these QWs host trivial, QSHI and semimetal states. A major advantage of the three-layer QWs, compared to the widely studied HgTe QWs, is a temperature-insensitive inverted band-gap [3], which under certain condition exceeds the value of 45 meV known for WTe2 monolayers [1].

This work reports experimental study of 2D semimetal state in InAs/GaSb/InAs QWs. Already observed in inverted HgTe QWs [4,5], these topologically non-trivial states are characterized by a non-local overlap between conduction and valence bands. To probe the bulk states of the grown sample, we carried out THz photoluminescence measurements and Landau spectroscopy. By analyzing experimental results, we have demonstrated the existence of a non-radiative recombination channel due to the overlap of the conduction and valence bands.

[1] S. Wu, V. Fatemi, Q. D. Gibson et al. (Collaboration), Science 359, 76 (2018).

[2] S. S. Krishtopenko and F. Teppe, Sci. Adv. 4, eaap7529 (2018).

[3] S. S. Krishtopenko, S. Ruffenach, F. Gonzalez-Posada et al. (Collaboration), Phys. Rev. B 97, 245419 (2018).

[4] Z. D. Kvon, E. B. Olshanetsky, D. A. Kozlov et al. (Collaboration), JETP Lett. 87, 502 (2008).

[5] G. M. Gusev, E. B. Olshanetsky, Z.D. Kvon et al. (Collaboration), Phys. Rev. Lett. 104, 166401 (2010).

 

S.S.Krishtopenko, S. Ruffenach, F. Gonzalez-Posada et al. (Collaboration)

JETP  Letters 109, issue 2 (2019)     

 

In connection with recent studies of extremely long-living cyclotron spin-flip excitations [1-3] (CSFE) - actually magneto-excitons in a quantum Hall electron gas, the contribution to light absorption related to such a magneto-excitonic ensemble is discussed. The CSFE relaxation found experimentally in the unpolarized quantum Hall system created in a real GaAs/AlGaAs heterostructure reaches 100 $\mu$s [4] at finite temperature $T\!\simeq\!0.5\,$K,
that seems to be a record value for a delocalized state excited in the conduction band of mesoscopic systems. Such a slow relaxation suggests that ensemble of the weakly interacting excitations, obeying the Bose-Einstein statistics, can experience at sufficiently high concentration a transition to a coherent state - Bose-Einstein condensate,  where all momenta of CSFEs have the same value. In the work a comparative analysis of both incoherent and coherent cases is done.
Role of randomness of the electrostatic field is discussed. In the incoherent phase the distribution of CSFE momenta is determined by a smooth random potential. Due to cool-down processes, diffusion and drift, which are fast compared to the CSFE lifetime, the magnetoexciton gets ``stuck'' in the smooth random electrostatic potential with minimum total energy, i.e. with zero group velocity.
 Appearance of the coherent phase is associated with the interaction of magnetoexcitons. The intensity of optical absorption in the coherent phase under some conditions is found to be an order of magnitude higher than that in the incoherent phase. Conditions for a phase transition from the incoherent state to the coherent one are discussed. The considered problem is related to optical probing of the 2D electron system in the experimental
study of spin-cyclotron excitations in the quantum-Hall system. The obtained results are of interest for future experimental studies of CSFEs in a spin-unpolarized quantum-Hall system.

  1.  C. Kallin and B.I. Halperin, Phys. Rev. B 30, 5655 (1984).
  2.  S. Dickmann and I.V. Kukushkin, Phys. Rev. B 71, 241310(R) (2005).
  3.  S. Dickmann, Phys. Rev. Lett. 110, 166801 (2013).
  4.  L.V. Kulik , A.V. Gorbunov, A.S. Zhuravlev, V.B. Timofeev, S. Dickmann, I.V. Kukushkin, Nature Sci. Rep. 5, 10354 (2015).

 

S. Dickmann

JETP Letters 109, issue 1 (2019)
 

 

A gravitational wave signal, GW170817, from a binary neutron star merger has been recordedby the Advanced LIGO and Advanced Virgo observatories on August 17, 2017 [1]. The deep underwater neutrino telescope Baikal Gigaton Volume Detector (Baikal-GVD) is currently under construction in Lake Baikal [2].In this work we present results of searches for high-energy neutrinos in coincidence with GW170817 by Baikal-GVD. Two different time windowswere used for the search. First, a ±500 s time window around the merger was used to search for neutrinos associated with prompt and extended gamma-ray emission. Second, a 14-day time window following the GW detection, to cover predictions of longer-lived emission processes. Since background events from atmospheric muons and neutrinos can be significantly suppressed by requiring time and space coincidence with the GW signal, relatively weak cuts can be used for neutrino selection. For the search for neutrino events within a ±500 s window around the GW event, 731 events were selected, which comprise >5 hit light sensors at>2 hit strings. After applying cascade reconstruction procedures and dedicated quality cuts, two events were selected. Finally, requiring directional coincidence with GW170817y< 20° no neutrino candidates survived.The absence of neutrino candidates associated with GW170817 in the ±500 s window as well as in 14 day window allows to constrain the fluence of neutrinos from GW170817. Assuming an E-2 spectrum single-flavor differential limits to the spectral fluence in bins of one decade in energy have been derived. In the range from 5 TeV to 10 PeV a 90% CL upper limit is 5.2×(E/GeV)-2 GeV-1cm-2for ±500 s time window search. The corresponding upper limit to the spectral fluencefor 14 day search window is 9.0×(E/GeV)-2 GeV-1cm-2over the same energy range.

 

 

  1. B.P. Abbott, R. Abbot, T.D. Abbot et al. (LIGO and VIRGO Collaborations), Phys. Rev. Lett., 119, 161101 (2017).
  2. A.D. Avrorin, A.V. Avrorin, V.M. Aynutdinov et.al. (Baikal Collaboration)  PoS (ICRC2017),1034, (2017)

 

A.D. Avrorin, A.V. Avrorin, V.M. Aynutdinov et.al. (Baikal Collaboration) 

JETP Letters  108, issue 12 (2018)

 

 

 

 

Transport phenomena in anisotropic porous media are widely discussed in the literature. We investigate the Knudsen regime diffusion in alumina aerogels~---~high porosity materials composed of long cylindrical strands. The theory and experimental results for nematic aerogel with nearly parallel strands were reported earlier [1].
In the present paper we explore a different type of anisotropic aerogel-like metamaterial, which we call the planar aerogel. Like nematic aerogel, it is a macroscopically uniform system with axial symmetry which consists of strands of diameter $10\,\text{nm}$. The directions of these strands, however, are uniformly distributed in a plane perpendicular to the symmetry axis (rather than parallel to it, as in nematic aerogel). Proposed theory is based on the assumption that elastic collisions with the strands is the most important scattering mechanism. We consider two opposite limits: specular and diffuse scattering (denoted by the subscripts $S$ and $D$). Axially symmetric diffusion tensor has two distinct principal values: $D^{xx}=D^{yy}$ for diffusion in the aerogel plane and $D^{zz}$ along the symmetry axis. From the theory it follows, somewhat surprisingly, that the diffusion anisotropy in the specular scattering model is smaller than that in the diffuse model: $D^{xx}_\text{S}/D^{zz}_\text{S}=1.97$ and $D^{xx}_\text{D}/D^{zz}_\text{D}=2.50$.
In the experiments we used the spin echo technique to investigate the spin diffusion in normal liquid $^3$He confined in the planar aerogel. At very low temperatures $T\sim 1\,\text{mK}$, where the Fermi quasiparticle population is small and the Knudsen regime is achieved, our experimental results are in a good agreement with the theory for the case of the specular scattering.

[1] V.V.Dmitriev, L.A.Melnikovsky, A.A.Senin, A.A.Soldatov, and A.N.Yudin, JETP Lett. 101, 808 (2015).

 

Dmitriev V.V., Kutuzov M.S., Melnikovsky L.A., Slavov B.D., Soldatov A.A.,Yudin A.N. 
JETP Letters 108, issue 11(2018)

The non - dissipative transport effects have been widely discussed recent years. These effects are to be observed in the non - central heavy ion collisions [1]. They have also been considered for the  Dirac and Weyl semimetals [2] and in $^3$He-A [3].
Among the other effects their family includes  the chiral separation effect (CSE) [4], the chiral vortical effect (CVE) [5], the anomalous quantum Hall effect (AQHE) [2]. All those phenomena have the same origin - the chiral anomaly.
In the present paper we  propose the new non - dissipative transport effect - the chiral torsional effect (CTE). Namely, we will discuss the emergence of  axial  current of thermal quasiparticles in the presence of torsion. It will be shown that this effect is intimately related to the chiral vortical effect [5], i.e. the latter may be considered as the particular case of the CTE. It is well  - known that in conventional general relativity  torsion vanishes identically, it appears only in its various extensions. However, the background (non - dynamical) gravity with torsion emerges in certain condensed matter systems.  For example, elastic deformations in graphene and in Weyl semimetals induce the effective torsion experienced by  the quasiparticles [6]. In $^3$He-A torsion appears dynamically when motion of the superfluid component is non - homogeneous.
 
[1] W. T. Deng and X. G. Huang, \Vorticity in Heavy-Ion Collisions," Phys. Rev. C 93, no. 6,
064907 (2016) [arXiv:1603.06117 [nucl-th]].
[2] A. A. Zyuzin and A. A. Burkov, \Topological response in Weyl semimetals and the chiral
anomaly," Phys. Rev. B 86 (2012) 115133 [arXiv:1206.1868 [cond-mat.mes-hall]].
[3] G.E. Volovik, The Universe in a Helium Droplet, Clarendon Press, Oxford (2003).
[4] \Anomalous Axion Interactions and Topological Currents in Dense Matter",Max A. Metlitski
and Ariel R. Zhitnitsky,Phys. Rev. D 72 (2005), 045011
[5] A. Vilenkin, Phys. Rev. D 22, 3080 (1980)
[6] G.E.Volovik, M.A.Zubkov, Annals of Physics 340/1 (2014), pp. 352-368, arXiv:1305.4665 [cond-mat.mes-hall].
 
 
Z.V.Khaidukov, M.A.Zubkov
JETP Letters 108, issue 10(2018)

 

Investigation of the superconductivity in novel iron-based superconductors is one of the main trends in modern condensed matter physics [1]. Some of iron chalcogenide superconductors [2] have qualitatively different electronic properties from other iron-based superconductors (e.g. iron pnictides) [3]. Among them, the KxFe2−ySe2 compound and the FeSe monolayer on the SrTiO3 substrate take quite a special place. Early days angular resolved photoemission spectroscopy (ARPES) experiments practically could not resolve hole-like  Fermi surface sheets near the Γ-point of the Brillouin zone in contrast to the iron pnictides and some iron chalcogenides (e.g. bulk FeSe).

       Recently in the work [4]  ARPES observation of a “hidden” hole-like band approaching the Fermi level near the Γ-point for the K0.622Fe1.7Se2 system and thus proposing a hole-like Fermi surface near the Γ-point was reported.

       Inspired by the work [4] we show by LDA+DMFT [6] study that for K0.62Fe1.7Se2 system near the Γ-point there are two hole-like bands crossing the Fermi level and forming the Fermi surface near the Γ-point. Its appearance can justify  spin-fluctuation mechanism of superconductivity in this class of systems [6] with a rather high critical temperature Tc∼30K. Good qualitative and even quantitative agreement of the calculated and ARPES Fermi surfaces is obtained.

1M.V. Sadovskii. Usp. Fiz. Nauk 178, 1243 (2008).

2M.V. Sadovskii. Usp. Fiz. Nauk 186, 1035 (2016).

3M.V. Sadovskii, E.Z. Kuchinskii, I.A. Nekrasov, JMMM 324 3481, (2012).

4M. Sunagawa et al., J. Phys. Soc. Jpn. 85, 073704 (2016).

5K. Held et al. Int. J. Mod. Phys. B 15, 2611 (2001).

6P.J. Hirshfeld, M.M. Korshunov, I.I. Mazin. Rep. Prog. Phys. 74, 124508 (2011).

I.A.Nekrasov, N.S.Pavlov

     JETP Letters  108 , issue 9 (2018)

 

 

 

 

The discovery of solar and atmospheric neutrino oscillations means that at least two of the three mass neutrino states are non-zero. Certain values ​​of the oscillation parameters together with restrictions on the sum of the light neutrino masses obtained from the Planck space telescope data limit the heaviest mass state (ν1, ν2, ν3) of three known types of neutrinos (νe, νμ, ντ) to 70 meV.

The measured decay width of the Z-boson indicates that the heavier neutrino mass states, if they exist, must be related to the sterile neutrino. The simplest mechanism of mass formation is ensured by the existence of right-handed, sterile neutrino interactions. Such neutrinos can be mixed with three active types of neutrinos. The mixing effect leads to neutrino oscillations, it can manifest itself in the processes of production of active neutrinos and lead to the decay of sterile neutrinos into particles of the Standard Model (SM).

Sterile neutrinos, in one form or another, appear in many extensions of the SM, they are well-motivated candidates for the role of dark matter particles. Although the search for sterile neutrinos has been conducted for many years, convincing results of their existence have not yet been obtained [1].

This paper is devoted to the search for the manifestations of massive neutrinos in the measured electron spectra arising from the decay of nuclei 144Ce – 144Pr. The source of electronic antineutrinos 144Ce – 144Pr is one of the most suitable for studying neutrino oscillations into a sterile state with a mass of about 1 eV. We decided to test the possibility of radiation in these beta transitions of heavy sterile neutrinos with a mass of from 1 keV to 3 MeV. The range of possible studied neutrino masses is determined by the resolution of the spectrometer used [2] and the boundary energy of beta decay of the 144Pr nucleus.

A spectrometer consisting of a Si(Li) full-absorption detector and a transition Si-detector was used for precision measurements of the electron spectrum arising from the beta decays of 144Ce – 144Pr nuclei. The beta spectrum measured during 364 h is analyzed to find the contribution from heavy neutrinos with masses from 10 keV to 1 MeV. For neutrinos with a mass in the range (150–350) keV, new upper limits on the mixing parameter at the level |UeH|2 ≤ 2×10–3 - 5×10−3 for 90% confidence level have been obtained.

The achieved sensitivity to |UeH|2 can be increased several times after precision measurement of the response function when using a 4π-geometry spectrometer, in which the response function for monochromatic electrons practically coincides with the Gaussian function [3].

[1]. K.N. Abazajian, M.A. Acero, S.K. Agarwalla et al. (Collaboration), Light Sterile Neutrinos: A White Paper, arXiv:1204.5379v1 (2012).

[2]. I. E. Alexeev, S.V. Bakhlanov, N.V. Bazlov, E. A. Chmel, A. V. Derbin, I. S. Drachnev, I.M. Kotina, V.N. Muratova, N.V. Pilipenko, D.A. Semyonov, E.V. Unzhakov, V.K. Yeremin, Nuclear Inst. And Methods in Physics Research A 890, 647 (2018).

[3]. A.V. Derbin, A. I. Egorov, I.A. Mitropolskii, V. N. Muratova, S.V. Bakhlanov, and L.M. Tukhkonen, JETP Lett. 65, 605 (1997).

 

A.V. Derbin, I.S. Drachnev, I.S. Lomskaya, V.N. Muratova. N.V. Pilipenko,

D.A. Semenov, L.M. Tykhkonen, E.V. Unzhakov, A.Kh. Khusainov

 JETP Letters 108, issue 8 (2018)

 

The possibility to create, manipulate and detect spin-polarized currents is at the very heart of semiconductor spintronics [1]. Stationary spin polarized currents were successfully generated in various semiconductor heterostructures and low-dimensional mesoscopic samples [2]. However, controllable manipulation of charge and spin states, applicable for ultra small size electronic devices design requires analysis of non-stationary effects and transient properties [3-5]. Consequently, the problem of non-stationary evolution of initially prepared spin and charge state in correlated nanostructures (quantum dots, impurity atoms, etc.) is really vital.

In the present paper we analyze non-stationary spin-polarized currents flowing through the correlated single-level quantum dot localized between non-magnetic leads in the presence of applied bias voltage and external magnetic field. We reveal, that spin polarization and direction of the non-stationary currents can be simultaneously inverted by sudden changing of applied bias voltage. We also analyze time evolution of the spin polarization degree and demonstrate the possibility of its sign changing following the applied bias polarity. This effect opens the possibility for the spin-polarization train pulses generation with the opposite degree of polarization. Application of external magnetic field allows to consider correlated single-level quantum dot as an effective non-stationary spin filter.

[1] I. Zutic, J. Fabian, S. Das Sarma, Rev. Mod. Phys., 76, 323 (2004)

[2] M.E. Torio, K. Hallberg, S. Flach, A.E. Miroshnichenko, M. Titov, Eur. Phys. J. B37, 399 (2004)

[3] N.S. Maslova, I. V. Rozhansky, V.N. Mantsevich, P.I. Arseyev, N.S. Averkiev, E. Lahderanta, Phys. Rev. B 97, 195445 (2018)

[4] V.N. Mantsevich, N.S. Maslova, P.I. Arseyev, Physica E, 93,224 (2017)

[5] N.S. Maslova, P.I. Arseyev, V.N. Mantsevich, Solid State Comm. 248, 21 (2016)

 

Mantsevich V.N., Maslova N.S., Arseyev P.I.

JETP  Letters 108, №7 (2017)     

 

 It is well known that Yang-Mills theory possesses a nontrivial topological structure: it has an in nite series of energetically degenerate but topologically distinct classical vacua. At nite temperature thermal uctuations of elds can lead to (sphaleron) transitions between various vacuums. Due to the chiral anomaly the rate of these transitions describes the evolution of the chiral charge in Quantum Chromodynamics or baryon charge in electroweak theory.
 For the rst time the sphaleron rate
$\Gamma$ was measured by means of lattice simulations in gluodynamics with gauge group SU(3). Calculations are carried out on the basis of Kubo formula, which relates the sphaleron rate and correlator of the topological charge density. Topological charge density correlator was measured by Gradient Flow method. The inversion of the Kubo formula was carried out by Backus-Gilbert method. The nal result is $\Gamma/T^4=0.062(18)$ at the temperature $T/T_c=1.24$, what is in agreement with the results of real time calculations at weak coupling [1].

[1] G. D. Moore and M. Tassler, JHEP 1102, 105 (2011) doi:10.1007/JHEP02(2011)105 [arXiv:1011.1167 [hep-ph]].

 

A.Yu.Kotov

JETP Letters 108, issue 6 (2018)

 

 

At the birth of quantum mechanics, E. Schrödinger realized that a free relativistic electron, described by the Dirac Hamiltonian, exhibits oscillations in space resulting from the interference of the positive and the negative-energy solutions of the Dirac equation [1]. Recently, it was suggested that Zitterbewegung is not limited to free electrons but is a common feature of systems with a gapped or level-split spectrum exhibiting a formal similarity to the Dirac Hamiltonian [2]. Here, we study the motion of electrons in a semiconductor system with spin-orbit coupling and the Zeeman gap opened by an external magnetic field. It is shown that, in addition to the well-known Brownian motion, electrons experience an inherent trembling motion of quantum-mechanical nature. The effect originates from the fact that the electron velocity is not a conserved quantity and contains an oscillating contribution. The Zitterbewegung occurs for all the electrons, also for electrons in thermal equilibrium. Experimental study of the electron Zitterbewegung in such conditions requires the use of noise spectroscopy. We show that the Zitterbewegung of individual electrons can be phase-synchronized by initializing the electrons in the same spin state. In this case, the coherent precession of the individual electron spins drives their back-and-forth motion in real space giving rise to a macroscopic high-frequency electric current. Such a coherent Zitterbewegung is maintained as long as the coherent spin precession of the electrons is not destroyed by the processes of spin dephasing. We develop a theory of the coherent Zitterwebegung for the cases of ballistic and diffusive electron transport, predict its enhancement at the plasmon resonance conditions, and discuss its relation to the spin-galvanic effect [3,4].

[1] E. Schrödinger, Über die kräftefreie Bewegung in der relativistischen Quantenmechanik, Sitz. Press. Akad. Wiss.Phys.-Math. 24, 418 (1930).

[2] W. Zawadzki and T. M. Rusin, Zitterbewegung (trembling motion) of electrons in semiconductors: a review, J. Phys.: Condens. Matter 23, 143201 (2011).

[3] E.L. Ivchenko, Yu.B. Lyanda-Geller, and G.E. Pikus, Current of thermalized spin-oriented photocarriers, Sov. Phys. JETP 71, 550 (1990).

[4] S.D. Ganichev, E.L. Ivchenko, V.V. Bel’kov, S.A. Tarasenko, M. Sollinger, D. Weiss, W. Wegscheider, and W. Prettl, Spin-galvanic effect, Nature 417, 153 (2002).

 

S. A. Tarasenko, A. V. Poshakinskiy, E. L. Ivchenko, I. Stepanov,

M. Ersfeld, M. Lepsa, and B. Beschoten

JETP Letters 108, issue 5 (2018)

 

Cyclotron resonance photoconductivity (CRP) is one of the power tools for study of the interaction of two-dimensional particles with electromagnetic radiation especially after the discovery of microwave induced magnetoresistance oscillations [1] that have created a lot of questions in the area, where, after the issue of the well-known review [2], it seemed that everything was clear. In this work, we report on the observation of CRP of two-dimensional (2D) electrons under very unusual conditions – in 2D semimetal in that their number (109 – 1010) cm-2 is much (from one to three orders) less than number of holes. So for the first time the cyclotron resonance have been observed from the electrons moving through the hole liquid, which strongly screens an impurity scattering potential and an electron-electron interaction. At first glance, it is impossible to observe CRP in this situation because of a very small absorption rate; however it has been detected in our experiments. Moreover, at 432 µm wavelength no decreasing of the CRP amplitude was observed when electron density decreased from 1010 cm2 to 109 cm2 . The experiments demonstrate that interaction of 2D electrons in semiconductor structures with the high frequency electromagnetic field is not so simple problem. It is likely there is a strong field enhancement in 2D system due to many particle effects in the spirit of a recent theory work [3]. Anyway, the further study of this phenomenon is of undoubted interest.

[1] I. A. Dmitriev, A. D. Mirlin, D. G. Polyakov, and M. A. Zudov, Rev. Mod. Phys. 84, 1709 (2012).

[2] T. Ando, A. B. Fowler, and F. Stern, Rev. Mod. Phys. 54, 673 (1982).

[3] A. D. Chepelianskii, D. L. Shepelyansky, Phys. Rev. B 97, 125415 (2018).

Z.D. Kvon

JETP Letters 108, issue 4 (2018)

Investigation of hybrid structures containing superconductors and magnetic materials attracts great interest due to different interesting phenomena such as spin-triplet superconducting pairing, anomalous superconducting and magnetic proximity effects and other ones that were reviewed in several articles [1-5]. In this work, the spin-dependent electron transport phenomena have been studied theoretically for double-barrier structures S-IF1-F-IF2-N, where S is a superconductor, F is a ferromagnetic metal, N is a normal metal, IF is a spin-active barrier. It was predicted that under certain conditions the negative differential resistance may be realized in the structures S-IF1-F-IF2-N, if the polarization at least one of the barriers is not small: Rb↑ - Rb↓ is of the order of ( Rb↑ + Rb↓ ), where Rb↑ , Rb↓ are the contributions to the (normal state) resistance of the barrier related with spin-up and spin-down electrons, respectively. It was shown that the negative differential resistance is realized if the superconducting proximity effect is strong, the thickness of the F layer is short enough, the exchange field in this layer is not small with respect to the superconducting energy gap Δ, and the spin-orbit relaxation time due to impurity scattering in the F layer is significantly greater than ħ/Δ. Another investigated features of the differential resistance of the S-IF1-F-IF2-N structures are its voltage asymmetric dependences and its strong dependence on the mutual orientations of the exchange fields in the barriers and in the F layer, that is the reason of the giant magnetoresistance effect.

  1. F.S. Bergeret, A.F. Volkov, and K.B. Efetov, Rev. Mod. Phys. 77, 1321 (2005).
  2. A.I. Buzdin, Rev. Mod. Phys. 77, 935 (2005).
  3. A.A. Golubov, M.Yu. Kupriyanov, and E. Il'ichov, Rev. Mod. Phys. 76, 411 (2004).
  4. Matthias Eschrig, Rep. Progr. Phys. 78 , 104501 (2015).
  5. Sebastian Bergeret, Mikhail Silaev, Pauli Virtanen, and Tero T. Heikkilӓ, cond-mat/1706.08245.   

           

                                                                                                                                                      Zaitsev A.V.

JETP Letters 108, issue 3 (2018)                              

Nonlinear magneto-transport in two-dimensional (2D) electron systems reveals fascinating novel physical phenomena such as quantal Joule heating [1], zero differential resistance [2] or conductance [3] states, and Zener tunneling between Landau levels [4]. The later effect is related to a backscattering of 2D electrons colliding with a short range, sharp impurity potential.  The effect is considered to be absent for a smooth, long range disorder. Surprisingly, this paper shows that a long-range, smooth periodic modulation of the electrostatic potential affects significantly the electron backscattering leading to an unexpected interference of the Zener and commensurability oscillations of the magnetoresistance [5].

The electrostatic modulation is obtained via a fabrication of a periodic array of nano-scaled metallic strips with a period a = 200nm located on top of the studied samples. The interference leads to a dramatic modification of the commensurability oscillations of the magnetoresistance reminiscent of a beating pattern. Due to the long range periodic electrostatic modulation the proposed model relates the observed interference to a modification of the electron spectrum, in particular, the electron lifetime. The model is in a good agreement with the experiment, indicating the relevance of the proposed explanation. The obtained results indicate that the quantization of the electron spectrum is of a paramount importance for nonlinear electron transport in low dimensional systems.

1. Jing Qiao Zhang, Sergey Vitkalov and A. A. Bykov, Phys. Rev. B 80, 045310  (2009).

2. A. A. Bykov, J.-Q. Zhang, S. A. Vitkalov, A. K. Kalagin, and A. K. Bakarov, Phys. Rev. Lett. 99, 116801 (2007).

3. A. A. Bykov, Sean Byrnes, Scott Dietrich, and Sergey Vitkalov, Phys. Rev. B 87, 081409(R) (2013).

4. C. L. Yang, J. Zhang, R. R. Du, J. A. Simmons, J. L. Reno, Phys. Rev. Lett. 89, 076801 (2002).

5. D. Weiss, K. von Klitzing, K. Ploog, and G. Weimann, Europhys. Lett. 8, 179 (1989).

 

A. A. Bykov, I. S. Strygin, E. E. Rodyakina, S. A. Vitkalov

JETP Letters 108, issue 2 (2018)

Recent progress on novel two-dimensional metal-based compounds [1,2] have encouraged us to pay attention to this underinvestigated and highly promising class of materials. Here we would like to present the prediction of a new CoC phase which is very intriguing by uncommon symmetry as well as electronic and mechanical properties.

In particular, both the ab initio bending analysis and phonon calculations have shown that 2D CoC demonstrates stability of orthorhombic lattice structure in contrast to probably more expected hexagonal or square types. Moreover, from electronic structure analysis, it was obtained that the cobalt net and carbons dimers are connected through a combination of covalent, ionic and metallic bonding. The estimated mechanical elastic modulus for 2D CoC are comparable to those for h-BN and only 30% lower than for the “world-record” graphene, whereas Poisson’s ratios and flexural rigidity are higher (or equal) than for the well-known 2D structures.

The predicted metallic states of 2D CoC and promising mechanical properties might be of practical importance for future CoC-based heterostructure synthesis, whereas thorough description of potentially interesting magnetic and optical properties have to motivate further studies.

[1]  Kano, E.; Kvashnin, D. G.; Sakai, S.; Chernozatonskii, L. A.; Sorokin, P. B.; Hashimoto, A.; Takeguchi, M. One-Atom-Thick 2D Copper Oxide Clusters on Graphene. Nanoscale 2017, 9 (11), 3980–3985.

[2]   Zhao, J.; Deng, Q.; Bachmatiuk, A.; Sandeep, G.; Popov, A.; Eckert, J.; Rümmeli, M. H. Free-Standing Single-Atom-Thick Iron Membranes Suspended in Graphene Pores. Science 2014, 343 (6176), 1228–1232.

 

Larionov K.V., Popov Z.I.,

Vysotin M.A., Kvashnin D.G., Sorokin P.B.

JETP Letters, 108, issue 1, 2018

Successful exfoliation of one-atom-thick graphene layer from the graphite crystal in 2004 [1] stimulated the search for new two-dimensional carbon nanostructures. In graphene each carbon atom is bonded to its three nearest neighbors, so that C-C bonds form a pattern of hexagons, while pentagons are considered as topological defects. Recently, a new carbon allotrope, pentagraphene, composed entirely of pentagons, has been proposed [2]. Later, however, it was argued that pentagraphene cannot be made experimentally because, first, it is thermodynamically unstable and rapidly restructures toward graphene [3] and, second, intrinsic mechanical stress created by two mutually orthogonal sublattices of carbon dimers results in the growth of strongly curved rather than planar pentagraphene layers [4].

We draw attention to another weak point of pentagrafene, its thermal stability. Tight-binding molecular dynamics simulation showed that after the formation of a single defect of the Stone-Wales type, the disordered region does not remain localized, but rapidly spreads over the entire sample. The lifetime of the pentagrafene sample until complete disordering of its structure decreases exponentially with increasing temperature and is inversely proportional to the sample area. At room temperature, mesoscopic samples of pentagrafene may have rather high thermal stability.

1. K.S. Novoselov, A.K. Geim, S.V. Morozov, D. Jiang, Y. Zhang, S.V. Dubonos, I.V. Grigorieva, and A.A. Firsov, Science 306, 666 (2004).

2. S. Zhang, J. Zhou, Q. Wang, X. Chen, Y. Kawazoe, and P. Jena, Proc. Nat. Acad. Sci. 112, 2372 (2015).

3. C.P. Ewels, X. Rocquefelte, H,W. Kroto, M.J. Rayson, P.R. Briddon, and M.I. Heggie, Proc Nat. Acad Sci. U S A. 112, 15609 (2015).

4. P. Avramov, V. Demin, M. Luo, C.H. Choi, P.B. Sorokin, B. Yakobson, and L. Chernozatonskii, J. Phys. Chem. Lett. 6, 4525 (2015).

                                                                                         

Openov L.A., Podlivaev A.I.

JETP Letters 107, issue 11 (2018)

Until recently, the electromagnetic field has been considered as being quantum one with few photons and classical one with quite a few of them. Then a macroscopic quantum state of a field with many photons - a squeezed field - was discovered. In addition, the reverse case was also made possible: a one-photon wave packet may not prove to be a quantum one. An effect that is very sensitive to the state of the "one-quantum" object, allowing us to distinguish between the classical and quantum states of a one-photon field was found in the present work. The effect is due to the possibility of complete suppression of collective decay of an ensemble of identical excited atoms localized within the area far smaller than that of the characteristic wavelength [1]. The well-known Dicke model is generalized for accounting the interaction with a vacuum electromagnetic field of zero photon density up to the second - order algebraic perturbation theory [1,2]. Then the effects of quantum interference of various radiation processes are correctly described, and the dynamics of the atomic ensemble is characterized as non-Wiener dynamics [1].

In this work, the joint effect of a broadband one-photon wave packet and a vacuum electromagnetic field on the atomic ensemble is investigated. The master equations of non-Wiener dynamics are obtained in [3]. The state of one-photon field can both be prepared in two different ways and presented in different states. If such a field interacts with a localized excited atomic ensemble under suppression of collective decay, then a strong effect is observed. The case of semi-excited atomic ensemble is calculated analytically, which shows diametrically opposite difference in the type of radiation. The quantum one-photon source produces a pulse of superradiation (collective decay), whose intensity is proportional to the square of the number of atoms of the ensemble. On the other hand, in the case of a classical one-photon source an incoherent radiation is generated, similar to that of the one generated by the emission of independent atoms.

1. A.M. Basharov, Phys. Rev. A 84, 013801 (2011).

2. A.I. Maimistov, A.M. Basharov, Nonlinear optical waves, Dordrecht: Kluwer Academic, 1999.

3. A.I. Trubilko, A.M. Basharov. JETP, 2018 (in press)

 

A.I. Trubilko, A.M. Basharov

     JETP Letters  107 , issue 9 (2018)

Experimental observation of the magnetic topological states - magnetic skyrmions in chiral magnets [1] caused the rising interest to them. Such attention is motivated both by the hopes to use their unique properties (such as high mobility in electric current) in novel spintronic devices and by their topologically caused attributes interesting to the fundamental condensed matter physics, topological Hall effect for example [2]. In the chiral magnets the magnetic skyrmions are naturally stabilized by weak relativistic Dzyaloshinskii–Moriya interaction and thus, the skyrmions can exist only within a narrow temperature-field region which hinders their application. So the search of the possibilities of the skyrmion stabilization in the common magnetic materials at room temperature is the actual problem.

The idea of our work is spatially modulate the energy of the domain wall surrounding skyrmion core by nanostructurisation of the film and so artificially create the potential well (or the lattice of such wells) for the skyrmionic state. This well will prevent skyrmion transformation to the labyrinth domain structure. The first possible way to the goal is to spatially modulate the material parameters of the magnetic film [3]. In this presented work we experimentally studied the alternative way of the nanostructurisation, namely the spatial modulation of the thickness of the CoPt multilayered film with the perpendicular anisotropy. The structure is the regular lattice (period is 300 nm) of the stubs (diameters is 150 nm) etched on the surface of the film. The magnetic force microscopy allows to observe skyrmion formation in the system during the magnetizing in the uniform perpendicular field. The skyrmons stay stable even after reducing the field to zero. The magnetization curve of the system is studied both by Hall magnetometry and by magnetooptical methods. The experimentally observed topological magnetic configurations and hysteresis loops are verified by micromagnetic simulations.

[1] U. K. Rossler, N. Bogdanov, and C. Pleiderer, Spontaneous skyrmion ground states in magnetic metals, Nature (London) 442, 797 (2006).

[2] N. Nagaosa and Y. Tokura, Topological properties and dynamics of magnetic skyrmions, Nat. Nanotech. 8, 899 (2013).

[3] M.V. Sapozhnikov, S.N. Vdovichev, O.L. Ermolaeva, N.S. Gusev, A.A. Fraerman, S.A. Gusev, Yu.V. Petrov, Artificial dense lattice of magnetic bubbles, Appl. Phys. Lett. 109, 042406 (2016).

 

M. V. Sapozhnikov, O. L. Ermolaeva, E.V. Skorohodov, M.N. Drozdov

JETP Letters  107, issue 6 (2017)

In the bulk of a superfluid, besides well-known and experimentally observed quantum vortex rings, theoretically there can exist (developing in time) also solitary topologically non-trivial excitations as vortex knots [1-3]. The simplest of them are torus knots ${\cal T}_{p,q}$, where  $p$ and $q$ are co-prime integers, while parameters of torus are the toroidal (large) radius $R_0$ and the poloidal (small) radius $r_0$, both sizes being large in comparison with a width of quantum vortex core $\xi$. It was believed on the basis of previously obtained numerical results that such knots are unstable and they reconnect during just a few typical times, traveling a distance of several $R_0$ (the lifetime is somewhat longer for smaller ratios $B_0=r_0/R_0$). The mentioned results were obtained for not too large ratios $R_0/\xi\lesssim 20$, and with a very coarse step (about 0.1) on parameter $B_0$.
 In this work it was numerically found that actually the situation is much more complicated and interesting. The dynamics of trefoil knot ${\cal T}_{2,3}$ was accurately simulated within a regularized Biot-Savart law using a small step on $B_0$. At fixed values of parameter $\Lambda=\log(R_0/\xi)$, the dependence of knot lifetime on parameter $B_0$ turned out to be drastically non-monotonic on sufficiently small $B_0\lesssim 0.2$. Moreover, at $\Lambda\gtrsim 3$ quasi-stability bands appear, where vortex knot remains nearly unchanged for many dozens and even hundreds of typical times. Qualitatively similar results take place also for  ${\cal T}_{3,2}$ knot. These observations essentially enrich our knowledge about dynamics of vortex filaments.

 [1] D. Proment, M. Onorato, and C. F. Barenghi,  Vortex knots in a Bose-Einstein condensate, Phys. Rev. E 85, 036306 (2012).
 [2] D. Proment, M. Onorato, and C. F. Barenghi, Torus quantum vortex knots in the Gross-Pitaevskii model for Bose-Einstein condensates, J. Phys.: Conf. Ser. 544, 012022, (2014).
 [3] D. Kleckner, L. H. Kauffman, and W. T. M. Irvine, How superfluid vortex knots untie, Nature  Physics  12, 650 (2016).


                                                                            V. P. Ruban 

JETP Letters  107, issue 5 (2018).

For the first time the magnetic phase transition in DyF3 at low temperatures was observed by 3He NMR. The spin kinetics of liquid 3He in contact with a mixture of microsized powders LaF3 (99.67%) and DyF3 (0.33%) at temperatures 1.5-3 K was studied by pulse NMR technique. The DyF3 is a dipole dielectric ferromagnet with a phase transition temperature Tc = 2.55 K, while as the diamagnetic fluoride LaF3 used as a diluent for optimal conditions for observation of 3He NMR. The phase transition in DyF3 is accompanied by a significant changes in the magnetic fluctuation spectrum of the dysprosium ions. The spin kinetics of 3He in contact with the substrate is sensitive to this fluctuations. An significant change in the rates of the longitudinal and transverse nuclear magnetization of 3He in the region of magnetic ordering of solid matrix was observed. A technique is proposed for studying the static and fluctuating magnetic fields of a solid matrix at the low temperatures using liquid 3He as a probe.

.. lakshin, .I. Kondratyeva, V.V. Kuzmin, .R. Safiullin, .. Stanislavovas, .V. Savinkov, .V. Klochkov,  .S. Tagirov

JETP Letters 107 issue 2, 2018

Microspheres at the surface of liquid are widely used now for visualization of wave and vortex motion [1, 2]. The experiments of this kind had been performed recently to study of turbulence at the surface of liquid helium [3]. That’s why it is of interest to consider the corrections to a classic Archimedes' principle, because while the size of a particle floating at the surface decreases, the forces of surface tension and molecular interaction start to play a significant role. 

We study the deviations from Archimedes' principle for spherical particles made of molecule hydrogen near the surface of liquid He4. Classic Archimedes' principle takes place if particle radius $R_0$ is greater than capillary length of helium $L_{k} \approx $ 500 µm and the height $h_+$  of the part of the particle above He is proportional to  $R_0$ . Over the range of $30 <R_0 <500$ µm Archimedes' force is suppressed by the force of surface tension and  $h_{+}  \sim R^{3}_{0} / L^{2}_{k}$.  When $R_0<30$µm, the particle is situated under the surface of liquid helium. In this case Archimedes' force competes with Casimir force which repels the particle from the surface to the depth of liquid. The distance from the particle to the surface $h_{-} \sim R^{5/3}_c / R^{2/3}_0$ if  $R_0>R_c...R_c$  can be expressed as  $R_c \approx (\frac {\hbar c}{\rho g}) \approx $ 1µm, $\hbar $ is Planck's constant, c is speed of light, $\rho $ is helium density. For the very small particles ( $R_0<R_c)$  $h_{-}$does not depend on their size: $h_{-}$=$R_c$.

1. S. V. Filatov,  S. A. Aliev, A. A. Levchenko, and D. A. Khramov, JETP Letters, , 104(10), 702 (2016).

2.  S. V. Filatov,  D. A. Khramov,   A. A. Levchenko, JETP Letters, 106(5), 330 (2017).

3. A. A. Levchenko, L. P. Mezhov-Deglin, A. A. Pel’menev, JETP Letters, 106(4), 252 (2017).

4. E. V. Lebedeva, A. M. Dyugaev , and P. D. Grigoriev, JETP, 110(4), 693 (2010).

5. A. M. Dyugaev,  P. D. Grigoriev, and E. V. Lebedeva, JETP Letters, 89(3), 145 (2009).

 

A.M. Dyugaev,  E.V. Lebedeva,

JETP Letters, 106 issue 12, 2017

One of the frontiers of quantum condensed matter physics seeks to analyze and classify scenarios of the superconductor-insulator quantum phase transition (SIT). Fermionic scenario [1] rules that disorder, when strong enough, breaks down Cooper pairs thus transforming a superconductor into a metal. The further cranking up disorder strength localizes quasiparticles turning the metal into an insulator. According to Bosonic scenario [2,3] disorder localizes Cooper pairs which survive on the insulating side of the SIT and provide an insulating gap. In the Fermionic scenario, the disorder-driven SIT is a two-stage transition through the intermediate state that exhibits finite resistance R and is ordinarily referred to as quantum metal. In Bosonic scenario, the SIT this intermediate state shrinks into a single point in which the resistance assumes the universal quantum resistance per square Rc = 6.45 kΩ/□ [3]. The disorder-driven SIT was reported in films of InOx [4, 5], Be [6], TiN [7]. However, the resistance Rc that separates superconducting and insulating states in these films is not universal. The access and detailed study of the phases in the critical vicinity of the SIT in different materials remains one of the major challenges.

            Here we observe the direct disorder-driven superconductor-insulator transition in NbTiN films with Rc = 2.7 kΩ/□ at room temperature. We show that the increasing the film's resistance suppresses the superconducting critical temperature Tc in accord with the Fermion model. We find that incrementally increasing R suppresses the Berezinskii-Kosterlitz-Thouless temperature down to zero, while the critical temperature Tc remains finite, which complies with the Bosonic model. Upon further increase of R, the ground state of system becomes insulating. Finally, we demonstrate that the temperature dependence of the resistance of insulating films follows the Arrhenius law.

[1] A. M. Finkel'stein, Superconducting transition temperature in amorphous films, JETP Lett. 45, 46 (1987).

[2] A. Gold, Dielectric properties of disordered Bose condensate, Phys. Rev. A 33, 652 (1986).

[3] M.P. A. Fisher, G. Grinstein, S. Grivin, Presence of quantum diffusion in two dimensions: Universal resistance at the superconductor-insulator transition, Phys. Rev. Lett. 64, 587 (1990).

[4] A. F. Hebard, M. A. Paalanen, Magnetic-field-tuned superconductor-insulator transition in two-dimensional films, Phys. Rev. Lett. 65, 927 (1990).

[5] D. Shahar, Z. Ovadyahu, Superconductivity near the mobility edge, Phys. Rev. B 46, 10917 (1992).

[6] E. Bielejec, J. Ruan, W. Wu, Anisotropic magnetoconductance in quench-condensed ultrathin beryllium films, Phys. Rev. B 63, 1005021 (2001).

[7] T. I. Baturina et al., Localized superconductivity in the quantum-critical region of the disorder-driven superconductor-insulator transition in TiN thin films, Phys. Rev. Lett. 99, 257003 (2007).

 

M. V. Burdastyh, S. V. Postolova, T. I. Baturina, T. Proslier, V. M. Vinokur,

A.Yu. Mironov

JETP Letters 106 (11) (2017)

 

We demonstrate that non-equilibrium spin excitations drift to macroscopically large distances in
a 2D electron gas (symmetrically doped GaAs/AlGaAs quantum well) in a quantizing magnetic
field at filling factor $\nu $ = 2. The effect is induced by low-temperature photoexcitation of a dense
ensemble of long-lived ($\sim 1 $ ms) spin excitations − cyclotron spin-flip magnetoexcitons. The spin
excitation is a bound state of an electron at the first Landau level and a Fermi-hole at the zeroth
Landau level with a total spin S = 1 [1-3]. Direct photoexcitation and radiative annihilation of
such excitations are forbidden (“dark” excitons), yet, their binding energy and spin structure are
reliably established by inelastic light scattering spectra [4, 5]. Recently, we were able to measure
the dark exciton density and relaxation rate by newly developed technique – photo-induced
resonant light reflection [6]. At the temperatures below 1 K, we discovered the condensate-like
behavior of the dense exciton ensemble [7]. Furthermore, these spin excitations modify
photoluminescence spectrum by binding to a photo-excited valence hole: an allowed radiative
recombination channel of three-particle complexes gets active [8]. Our paper presents
observation of spin exciton drift to the distance up to 200 μm. This unique phenomenon was
experimentally studied utilizing spatial separation of pump (photoexcitation) and probe
(photoluminescence detection) laser spots. Enhancement of the multi-particle complexes in
photoluminescence spectrum was observed far away from the pump area. Both pump intensity
and temperature dependencies correlate well with the phase diagram of dark exciton
condensation [7]. Time dependence of the spin drift rate in a 2D electron gas is the subject of our
near-future research.

1. Yu.A. Bychkov, S.V. Iordanskii, and G.M. Eliashberg, Two-dimensional electrons in a strong
magnetic field, JETP Letters 33, 143 (1981).
2. I.V. Lerner and Yu.E. Lozovik, Two-dimensional electron-hole system in a strong magnetic field as an
almost ideal exciton gas, Sov. Phys. JETP 53, 763 (1981).
3. C. Kallin and B.I. Halperin, Excitations from a filled Landau level in the two-dimensional electron gas,
Phys. Rev. B 30, 5655 (1984).
4. L.V. Kulik, I.V. Kukushkin, S. Dickmann, V.E. Kirpichev, A.B. Van'kov, A.L. Parakhonsky, J.H.
Smet, K. von Klitzing, and W. Wegscheider, Cyclotron spin-flip mode as the lowest-energy excitation of
unpolarized integer quantum Hall states, Phys. Rev. B 72, 073304 (2005).
5. L.V. Kulik, S. Dickmann, I.K. Drozdov, A.S. Zhuravlev, V.E. Kirpichev, I.V. Kukushkin, S. Schmult,
and W. Dietsche, Antiphased cyclotron-magnetoplasma mode in a quantum Hall system, Phys. Rev. B 79,
121310 (2009).
6. L.V. Kulik, A.V. Gorbunov, A.S. Zhuravlev, V.B. Timofeev, S.M. Dickmann, and I.V. Kukushkin,
Super-long life time for 2D cyclotron spin-flip excitons, Sci. Rep. 5, 10354 (2015).
7. L.V. Kulik, A.S. Zhuravlev, S. Dickmann, A.V. Gorbunov, V.B. Timofeev, I.V. Kukushkin, and S.
Schmult, Magnetofermionic condensate in two dimensions, Nature Commun. 7, 13499 (2016).
8. A.S. Zhuravlev, V.A. Kuznetsov, L.V. Kulik, V.E. Bisti, V.E. Kirpichev, and I.V. Kukushkin,
Artificially Constructed Plasmarons and Plasmon-Exciton Molecules in 2D Metals, Phys. Rev. Lett. 117,
196802 (2016).

                                                    Gorbunov A.V., Kulik L.V., Kuznetsov V.A., Zhuravlev .S.,
                                                             Larionov A.V., Timofeev V. B., Kukushkin I.V. 

                                                                                      JETP Letters 106, issue 10 (2017)

 

Two-dimensional topological insulators are have attracted much recent interest since they feature helical edge states inside their band gap [1,2]. In the absence of time-reversal symmetry breaking, spin-momentum locking prohibits elastic backscattering of these helical states, i.e., the helical edge is a realization of an ideal transport channel with conductance equal to e2/h. However, this theoretical prediction was not confirmed by experiments on HgTe/CdTe [3-6] and InAs/GaSb [7,8] quantum wells. The time-symmetric interaction of the helical states with a "quantum magnetic impurity'' (an impurity which has its own quantum dynamics) is a leading candidate for explaining these experiments. In spite of recent theoretical studies of this problem [9-14], several key questions has not been addressed in details.

 We study theoretically the modification of the ideal current-voltage characteristics of the helical edge in a two-dimensional topological insulator by weak scattering off a single magnetic impurity. As a physical realization of such a system we have in mind the (001) CdTe/HgTe/CdTe quantum well (QW) with a Mn impurity that possesses spin S=5/2. Contrary to previous works, we allow for a general structure of the matrix describing exchange interaction between the edge states and the magnetic impurity. For S=1/2 we find an analytical expression for the backscattering current at arbitrary voltage. For larger spin, S>1/2, we derive analytical expressions for the backscattering current at low and high voltages. We demonstrate that the differential conductance may exhibit a non-monotonous dependence on the voltage with several extrema.

[1] X.-L. Qi, S.-C. Zhang, Topological insulators and superconductors, Rev. Mod. Phys. 83, 1057 (2011).

[2] M. Z. Hasan, C. L. Kane, Colloquium: Topological insulators, Rev. Mod. Phys. 82, 3045 (2010).

[3] M. Konig, S. Wiedmann, C. Brune, A. Roth, H. Buhmann, L. W. Molenkamp, X.-L. Qi, S.-C. Zhang,    Quantum spin Hall insulator state in HgTe quantum wells, Science 318, 766 (2007)

[4] K. C. Nowack, E. M. Spanton, M. Baenninger, M. Konig, J. R. Kirtley, B. Kalisky, C. Ames, P. Leubner, C. Brune, H. Buhmann, L. W. Molenkamp, D. Goldhaber-Gordon, K. A. Moler, Imaging currents in HgTe  quantum wells in the quantum spin Hall regime, Nat. Mater. 12, 787 (2013).

[5] G. Grabecki, J. Wrobel, M. Czapkiewicz, L. Cywinski, S. Gieratowska, E. Guziewicz, M. Zholudev, V. Gavrilenko, N. N. Mikhailov, S. A. Dvoretski, F. Teppe, W. Knap, T. Dietl, Nonlocal resistance and its fluctuations in microstructures of band-inverted HgTe/(Hg,Cd)Te quantum wells, Phys. Rev. B 88, 165309 (2013).

[6] G. M. Gusev, Z. D. Kvon, E. B. Olshanetsky, A. D. Levin, Y. Krupko, J. C. Portal, N. N. Mikhailov, S. A. Dvoretsky, Temperature dependence of the resistance of a two-dimensional topological insulator in a HgTe quantum well, Phys. Rev. B 89, 125305 (2014).

[7] E. M. Spanton, K. C. Nowack, L. Du, G. Sullivan, R.-R. Du, K. A. Moler, Images of edge current in InAs/GaSb quantum wells, Phys. Rev. Lett. 113, 026804 (2014).

[8] L. Du, I. Knez, G. Sullivan, R.-R. Du, Observation of quantum spin Hall states in InAs/GaSb bilayers under broken time-reversal symmetry, Phys. Rev. Lett. 114, 096802 (2015).

[9] J. Maciejko, Ch. Liu, Y. Oreg, X.-L. Qi, C. Wu, S.-C. Zhang, Kondo effect in the helical edge liquid of the quantum spin Hall state, Phys. Rev. Lett. 102, 256803 (2009).

[10] Y. Tanaka, A. Furusaki, K. A. Matveev, Conductance of a helical edge liquid coupled to a magnetic impurity, Phys. Rev. Lett. 106, 236402 (2011).

[11] J. I. Vayrynen, M. Goldstein, L. I. Glazman, Helical edge resistance introduced by charge puddles, Phys. Rev. Lett. 110, 216402 (2013).

[12] J. I. Vayrynen, M. Goldstein, Y. Gefen, L. I. Glazman, Resistance of helical edges formed in a semiconductor heterostructure, Phys. Rev. B 90, 115309 (2014).

[13] V. Cheianov, L. I. Glazman, Mesoscopic fluctuations of conductance of a helical edge contaminated by magnetic impurities, Phys. Rev. Lett. 110, 206803 (2013).

[14] L. Kimme, B. Rosenow, A. Brataas, Backscattering in helical edge states from a magnetic impurity and Rashba disorder, Phys. Rev. B 93, 081301 (2016).

 

      Kurilovich P.D. , Kurilovich V.D., Burmistrov I.S. , Goldstein M.                                                                               

JETP Letters 106 (9) (2017)

Chimera is, according to Greek mythology, a monstrous creature combining the parts of different animals (a lion with a head of a goat and a tail of a snake). Physicists recently adopted this name for complex states in nonlinear dynamical systems, where instead of an expected symmetric synchronous state one observes coexistence of synchronous and asynchronous elements [1]. Since the discovery of chimeras by Kuramoto and Battogtokh in 2002 [2], these states have been reported in numerous theoretical studies and experiments.
In this paper, we study formation of chimeras in a one-dimensional medium of identical oscillators with nonlinear coupling. This coupling crucially depends on the local order parameter measuring the level of synchrony: the coupling promotes synchrony for asynchronous states and breaks synchrony if it is strong [3]. As a result, spatially homogenous state in this medium is that of partial synchrony. To study the evolution of this state we formulate the problem in terms of the local complex order parameter, which describes local level of synchrony, and formulate the system of partial differential equations for this quantity [4]. This allows us to formulate the problem of inhomogeneous states as the pattern formation one. First, we construct stationary chimeras and explore their linear stability properties. Next, based on numerical modeling, we show that within a certain range of parameters, such structures can evolve into periodically varying long-lived chimera states (breather-chimeras), or, for other values of the parameters, turn into more complex regimes with irregular behavior of the local order parameter (turbulent chimeras).

[1] M. J. Panaggio, D. M. Abrams, Chimera states: coexistence of coherence and incoherence in networks of coupled oscillators, Nonlinearity 28 , R67 (2015).

[2] Y. Kuramoto, D. Battogtokh, Coexistence of Coherence and Incoherence in Nonlocally Coupled Phase Oscillators, Nonlinear Phenom. Complex Syst. 5 , 380 (2002).

[3] M. Rosenblum, A. Pikovsky, Self-Organized Quasiperiodicity in Oscillator Ensembles with Global Nonlinear Coupling, Phys. Rev. Lett. 98 , 064101 (2007).

[4] L. A. Smirnov, G. V. Osipov, A. Pikovsky, Chimera patterns in the Kuramoto-Battogtokh model, J. Phys. A: Math. Theor. 50 , 08LT01 (2017).

 

                                                              Bolotov M.I., Smirnov L.A., Osipov G.V., Pikovsky A.

                                                                                           JETP Letters 106, issue 6 (2017)

Well-known Faraday waves can be parametrically generated on a free surface of ordinary (classical) fluids such as water or on superfluid helium He-II surface when a sample cell is vibrated vertically. Standing-wave patterns appear on the surface, and their frequencies are one-half the driving frequency. The acceleration threshold for the parametric excitation of Faraday waves on the surface of water is near an order of magnitude higher than on the surface of He-II at the same frequencies [1]. Generation of vorticity by interacting nonlinear surface waves has been predicted theoretically in a number of papers [2, 3] and generation of vortices by noncollinear gravity waves on a water surface has been observed experimentally [4].Our study has shown that classical 2-D vortices can be generated by Faraday waves on the surface of superfluid He-II also, more over one can observe formation of the vortex lattice in addition to the wave lattice on the surface of He-II in a rectangular cell. Combined with predictions [5] that the sharpest features (about nm sizes) in the cell walls can induce nucleation of quantum vortex filaments and coils on the interface and formation a dense turbulent layer of quantum vortices near the solid walls with a nonclassical average velocity profile which continually sheds small vortex rings into the bulk of vibrating He-II, this opens up new prospects for studying the properties of a quantum liquid and turbulent phenomena on the surface and in bulk of supefluid liquids.

[1] Haruka Abe, Tetsuto Ueda, Michihiro Morikawa, Yu Saitoh, Ryuji Nomura, Yuichi Okuda, Faraday instability of superfluid surface, Phys. Rev. E 76, 046305 (2007).
[2] S.V. Filatov, V.M. Parfenyev, S.S. Vergeles, M.Yu. Brazhnikov, A.A. Levchenko, V.V. Lebedev, Nonlinear Generation of Vorticity by Surface Waves, Phys. Rev. Lett. 116, 054501 (2016).
[3] V. M. Parfenyev, S.S. Vergeles, V.V. Lebedev, Effects of thin film and Stokes drift on the generation of vorticity by surface waves, Phys. Rev. E 94, 052801 (2016).
[4] S. V. Filatov, S. A. Aliev, A. A. Levchenko, D. A. Khramov, “Generation of vortices by gravity waves on a water surface”, JETP Letters, 104(10), 702–708 (2016).
[5] G.W. Stagg, N. G. Parker, and C. F. Barenghi, Superfluid Boundary Layer. PRL 118, 135301 (2017). DOI: 10.1103/PhysRevLett.118.135301

 

Levchenko A.A., Mezhov-Deglin L. P., Pel’menev A.A.

JETP Letters  106, issue 4 (2017)

 

Nanoscale integration of organic and metallic particles is expected to open up new opportunities for the design high-performance nanoscale devices.  Optimization of heterostructures requires experimental and theoretical analysis of their specific physical properties.  Nanosystem consisting in gold
nanospheres  covered by silica shell impregnated with the organic dye molecules  comes into focus as a possible plasmonic based
nanolaser, i.e. "spaser" [1]. Depending on the distance between the emitters and metal there are possible various phenomena [2,3].
In this paper we experimentally studied the characteristics of a suspension of  spasers at the temperatures $T_N=77.4K,T_R=293K$. It was found  that the
system possesses characteristics of a laser medium. The S-shaped dependence of the radiation intensity and the compression of the lasing line with increase of the pumping power were observed. Ten-fold increase of the intensity of the radiation generated by the medium and line narrowing with  temperature change $T_R\to T_N$ was found. The experimental results were compared with a numerical simulation of a spaser model consisting of 20 two-level media and a metallic nanosphere. The temperature effects were modeled by the introduction of the Markov process.

It was found that observed effects can be explained by means of the feedback caused by the nonlinear interaction of polarizations with their total reflection in the metallic core. At low temperatures  Bloch vectors related with two-level systems form an analog of a ferromagnetic state. With increasing fluctuations, antiferromagnetic states are formed along with the desynchronization of ferromagnetic one. These properties allows us to explain the observed changes in the intensity of the and line form of laser generation with temperature.

Experimental and numerical results of the work demonstrate that the synchronization of the polarization of dye molecules caused by inverse nonlinear coupling yields an analog of plasmon-polariton superradiance.

1. D.J. Bergman  and  M.I. Stockman, Phys.Rev.Lett. 90, 027401 (2003).

2.  M. Haridas et al, J. Appl. Phys.114, 064305 (2013).

3. M. Praveena et al, Phys. Rev. B  92, 235403 (2015).

                                                               A. S. Kuchyanov, A.A. Zabolotskii, Plekhanov A.I.

                                                                                                JETP Letters 106 (2) (2017)

Recently Sr2FeSi2O7 comes into focus as a possible compound with unusual magneto-electric coupling or, in other words, as a novel potential multiferroic [1,2]. Results of terahertz spectroscopy in the paramagnetic state show that the multiplet Fe+2(S=2) of the ground state splits due to the spin-orbit coupling. However the energy intervals between the low-lying singlet state and excited states are quite small so that all spin states are populated at the temperature of about 100 K. The Fe+2 ion occupies the center of a tetragonally distorted tetrahedron. In the present communication the origin of the magneto-electric coupling is described as follows. The odd crystal field from the tetrahedral environment induces the coupling of the orbital momentum of the Fe+2( 5D) state with the external electric field. On the other hand, the orbital momentum is coupled with spin via the spin –orbit interaction. Both angular momenta are coupled with the external magnetic field, which is enhanced due to the presence of the superexchange interaction between neighboring Fe+2 ions. Combining all these couplings, the author derived the affective spin Hamiltonian for the magneto-electric coupling, which made it possible to calculate relative intensities of the electric dipole transitions between spin states and estimate the magnetization caused by the external electric field as well as the electric polarization induced by the magnetic field.

 

 

  1. Thuc T. Mai, C. Svoboda, M. T. Warren, T.-H. Jang, J. Brangham, Y. H. Jeong, S.-W. Cheong, and R. Valdes Aguilar. Phys. Rev. B,  94, 224416 (2016)
  2. Yongping Pu, Zijing Dong, Panpan Zhang, Yurong Wu, Jiaojiao Zhao, Yanjie Luo. Journal of Alloys and Compounds, 672 , 64-71 (2016)

       

 

                                                                        M.V. Eremin

                                                                              JETP Letters 105 (11) (2017)

It is well known the conductivity of high-temperature superconductors (HTSCs) with TC ~100 K (YBaCuO, BiSrCaCuO, etc.) is provided at T~300 K by hole (h) fermions [1]. It is also known the superconducting transition in such cuprates is accomplished by means of the Cooper pairing, while the fluctuating Cooper pairs with charge -2e exist even at T=TC+(~30 K) [2]. Hence it inevitably follows in the interval TC<T<300 K the hole Fermi surface (FS) of these HTSCs transforms into an electron one as a result of a topological transformation (the Lifshitz transition (LT) [3]. There is one of the central questions in the problem of the pseudogap state [1] of copper-oxide high-TC superconductors:  how and at what temperatures this transformation occurs.

To evidence the charge carrier conversion the Hall effect is used usually. As for the BiSrCaCuO and YBaCuO, their Hall coefficients (RH) have several features in the temperature range TC…300 K [4,5]. The most significant of them is observed before the TC in the region of fluctuation conductivity and can be interpreted as a manifestation of a scale hole-electron (h-e) conversion in a system of charge carriers, i.e. as the LT. However, this point of view is not universally accepted. As for the data on the transformation of the FS obtained by the ARPES (Angle Resolved Photoemission Spectroscopy) method [7], they, like [4,5], support several rearrangements of the FS, including those occurring near TC.

Meanwhile, it is the possibility to evidence the h-e conversion in a hole HTSC (the last condition is sure), which does not require either electric or magnetic fields to create the Hall potential difference. The technique developed by us [7,8] is based on the phenomenon of rearrangement of the spectrum of charge carriers in the near-surface layer of a hole HTSC being in contact with a normal metal (Me). This phenomenon is a consequence of the annihilation of "aboriginal" hole fermions in the HTSC/Me interface with electrons penetrated from Me. The essence of this technique is the registration of changes in the resistance of the HTSC/Me interface r, which is characterized by a small number of hole carriers. The appearance of the temperature singularities of rC and the sign of rC  variation (dr) make it possible to obtain an idea of the character of the changes in the system of charge carriers of the HTSC array.

The dependences rC(T) of the Bi(Pb)SrCaCuO/Pb and YBaCuO/In interfaces have been studied and anomalies near the temperature of the pseudogap opening and before the superconducting transition have been observed. We are shown that in Bi(Pb)SrCaCuO and YBaCuO, when the temperature T=TC+(~10 K) is reached, that do not concerns to fluctuating Cooper pairs condensation. So, there is due to changing the topology of the FS. As a result, significant piece of FS becomes electronic. The most probable reason for the topological transition is the achievement of the temperature of the 2D-3D crossover (the temperature of the three-dimensionality of HTSC), which is a consequence of a modification in the electronic subsystem that leads to a change in the interaction mechanisms of the fluctuation Cooper pairs [9, 10].

1. The Physics of Superconductors, Vol.1. Conventional and High-TC Superconductors. Ed. by K.H. Bennemann and J.B. Katterson, Berlin, Springer, (2003).

2. K. Kawabata, S. Tsukui, Y. Shono, O. Michikami, H. Sasakura, K. Yoshiara, Y. Kakehi, T. Yotsuya, Phys. Rev. B58, 2458 (1998).

3. I.M. Lifshits, JETP 38, 1569 (1960) (in Russian).

4. Q. Zhang, J. Xia, M. Fang, Z. He, S. Wang, Z. Chen, Physica C 162-164, 999 (1989).

5. A.L. Solovjov, FNT 24, 215 (1998) (in Russian).

6. T. Kondo, A.D. Palczewski, Y. Hamaya, T. Takeuchi, J.S. Wen, Z.J. Xu, G. Gu, A. Kaminski, arXive: 1208.3448v1 (2012).

7. V.I. Sokolenko, V.A. Frolov, FN 39, 134 (2013) (in Russian).

8. V.A. Frolov, VAN, Ser.: Vacuum, pure materials, superconductors, 1, 176 (2016) (in Russian).

9. Y.B. Xie, Phys. Rev., B46, 13997 (1992).

10. A.L. Solovjov, V.M. Dmitriev, FNT 35, 227 (2009) (in Russian).

 

Sokolenko V.I., Frolov V.A.

JETP Letters 105, issue 10 (2017)

 

Correct allowing for the interparticle interaction in many-body systems faces considerable mathematical difficulties. The most frequently used approximation in such problems is the mean field approximation (MFA) which neglects fluctuations and the particles are considered as a continuous medium of inhomogeneous density. If , moreover, the system is described by the classical distribution function ( the statistics can be a quantum one) we obtain the well known Thomas - Fermi approach .However there are situations when at least some of the degrees of freedom of the system have to be treated in accord with quantum mechanics. Such examples are electrons in quantum wells or dipolar excitons in an electrostatic trap. In such cases the density of particles appearing in MFA is to be expressed via wave functions of a particle in the effective potential. The latter, in its turn, depends on the wave functions and occupation numbers, so one has to solve a self-consistent problem. In case of a short-range interparticle pair potential (2D gas of dipolar excitons) a nonlinear wave equation arises while for the long-range ( Coulomb) pair interaction the corresponding equation becomes integro-differential (nonlocal effects).

            Two different systems are considered: bose - gas of dipolar excitons in a ring shape trap and fermi-gas of electrons in a quantum well of a MOS-structure. The trapped excitons are described by the Gross-Pitaevskyi nonlinear equation and for the very simple case of the rectangular potential of the “empty” trap the exact analytical solution is found. The most interesting result of this problem is criterion for existence of bound state in the effective potential ( in the one particle problem a 1D symmetric potential well always contains at least one bound state) . Methodologically instructive is the way of obtaining the eigenvalue of the Gross-Pitaevskyi equation: the ground state energy is found from the normalization condition.

            In case of electrons in a quantum well one deals with nonlinear integro-differential equation for which the exact solution is unknown. The direct variational method was used to find the frequency of the intersubband transition. This frequency turned out to be scaled with the electron concentration N as $N^{2/3}$.

 

 

Chaplik A.V. JETP Letters 105 (9) (2017)

 A model of fermion condensation, advanced more than 25 years ago, still remains the subject of hot debates,  due to the fact that  within its frameworks, non-Fermi-liquid (NFL) behavior, ubiquitously exhibited  by  strongly correlated Fermi systems, including electron   systems of solids, is properly elucidated.  The model  is   derived  with the aid of   the same  Landau postulate  that the ground state energy $E$ is  a functional of its quasiparticle momentum distribution $n$,  giving  rise to the conventional Landau state. However, the model discussed deals with completely different  solutions,  emergent beyond  a critical point, at which the topological stability of the Landau state breaks down, and therefore relevant solutions of the problem  are found from   the well-known   variational condition of mathematical physics  $\delta E(n)/\delta n({\bf p})=\mu$ where $\mu$ is the chemical potential. Since the left side of this condition   is nothing but the quasiparticle energy $\epsilon({\bf p})$, the variational condition    does  imply formation of the flat band or, in different words,  a fermion condensate (FC). In fact,  variational condition  furnishes an opportunity to find solely the FC quasiparticle momentum distribution $n_*({\bf p}\in \Omega)$.

    A missing point is  concerned with   the single-particle spectrum of  quasiparticles in the complementary  domain   ${\bf p}\notin\Omega$. Originally,  at variance with recent experimental data, the  model spectrum $\epsilon({\bf p}\notin\Omega )$ was assumed to be gapless. To clarify the situation with the true character of this spectrum  we employ a    microscopic  approach to theory of Bose liquid created by S.Belyaev, where the interaction between  the condensate and non-condensate particles, giving rise to the emergence of a singular part of the self-energy, is treated properly.
    
    Unfortunately, in systems having a FC, evaluation of any FC propagator in closed form is impossible, since in contrast to the BC, the FC occupies a finite domain of momentum space. As a result, methods appropriate to evaluation of the multi-particle BC  propagators, fail to deal with corresponding FC propagators.
    In this situation, the only practical approach to solution of the problem involves the implementation of  an iterative  procedure, appealing to the smallness of the ratio $\eta=\rho_c/\rho$ where the numerator is   the FC density  and the denominator, total density. In the article, leading,  in the limit $\eta\to 0$,  contributions  to the singular part $\Sigma_s$ of the self-energy are calculated along the  Belyaev's theory lines. By virtue of the finite range of the FC domain, the  structure  of $\Sigma_s$ turns out   to be different, compared with that in the  boson case, treated by Belyaev. As a result,  the evaluated spectrum     of single-particle excitations of Fermi  systems, hosting flat bands, acquires a gap, so that the FC itself becomes a midgap state.

 In obtaining  the gap solution  we assumed  the effective interaction between particles in the particle-particle channel to have   sign,  which  prevents Cooper pairing, implying that the  ground state constructed  is not superfluid. In this situation, the gap  in the  single-particle spectrum is a Mott-like gap.

 The  theory   constructed is applied to   the explanation of the metal-insulator transition in  low-density homogeneous  2D  electron systems, like  those, which reside in silicon field-effect  transistors. These systems are known to become insulators  at  $T\to 0$ provided electron density declines below  a critical value $n_c\simeq 0.8\times 10^{11}cm^{-2} $ [1-4], its value being substantially larger  than that dictated by a standard Wigner crystallization scenario. Importantly,  the electron effective mass $M^*(n)$,  extracted from  corresponding measurements of   the   thermopower  diverges at almost the same value $n_t=0.78\times 10^{11}cm^{-2} $ [5], in agreement with the proposed scenario for the metal-insulator  transition in MOSFETs, triggered by the onset of fermion condensation  and  subsequent   opening  the Mott-like gap in the electron single-particle spectrum.        

     This scenario is also applied to the elucidation of a challenging  phenomenon uncovered in the analysis of ARPES data on  two-dimensional anisotropic  electron systems of cuprates. It consists in  breaking down of the Fermi line   into several  disconnected segments located in the antinodal region, (the  Fermi arc structure),  and   usually attributed to superconducting fluctuations  [6]. In the context of this article, the existence or disappearance of   the Fermi line is related to the FC arrangement. In cuprates, the FC occupies four different spots, every of which  is   associated with its own saddle point. Such a    configuration of the FC spots promotes the occurrence of   a  well pronounced gap in the spectrum   of  single-particle states,  located in the antinodal region. However, for single-particle states, located in the nodal region, the situation with the gap is opposite and therefore  in this domain of momentum space,  the  spectrum $\epsilon({\bf p})$  remains  gapless, in agreement with the experiment.
    

[1]. V. Kravchenko et al.,  Phys. Rev. 50,8039  (1994).

[2]  S. V. Kravchenko, Phys. Rev. 51, 7038  (1995).

[3]  E. Abrahams,  S.V. Kravchenko, M. P. Sarachik, Rev. Mod. Phys. 73, 251 (2001).

[4]  A. A. Shashkin, Phys. Usp. 48, 129 (2005).

[5]  A. Mokashi et al.,  Phys. Rev. Lett. 109, 096405 (2012).        

[6] B. Keimer, S. A. Kivelson, M. R. Norman, S. Uchida, J. Zaanen, Nature 518, 179 (2015).
        

                                                                             Khodel V. A.,

JETP Lett. 105 (8) (2017).  

Materials harder than diamond are always attract great attention from the scientists all over the world. Many attempts were made towards the synthesis especially of carbon material harder than diamond, which is the hardest possible material nowadays. A special interest belongs to materials called as fullerites. There are several experimental and theoretical works, where the synthesis and investigation of superhard fullerite were carried out. [1]–[4] Such materials reveal outstanding mechanical properties with the bulk modulus of several times higher than that of diamond.

In this case the computational approaches and methods allow the theoretical investigations and prediction of a new materials with desired properties without using very expensive experimental equipment. Here we used the state-of-the-art theoretical methods of computational predictions to predict new carbon phases based on the fullerene molecules of different sizes (C60 and C20). Using the evolutionary algorithm, implemented in USPEX package, [5] we considered more than 3000 possible crystal structures to find the most stable ones. The important point, that predicted phases are based on the polymerized fullerites, displaying the superior mechanical properties. We defined the crystal structure of predicted 4 stable allotropes by simulating the XRD patterns. All predicted structures are highly symmetric. The mechanical properties were studied in details in terms of elastic tensor, bulk and shear moduli and velocities of acoustic waves. All predicted structures display elastic constants and bulk modulus very close to diamond, which allows to say that we indeed predict new superhard phases. The possible way of synthesis of such phases was proposed consisting in the cold compression of a mixture of graphite and C60 fullerenes. The important feature of predicted phases (besides the mechanical properties) is that they have relatively small band gap ~2.5 eV, while the cI24 phase has the direct gap of 0.53 eV.

All obtained data allows the conclusion that predicted superhard semiconducting phases based on the polymerized fullerenes reveal necessary properties for applications in the electronic as basic elements.

 

[1] V.D. Blank, S.G. Buga, G.A. Dubitsky, N. R Serebryanaya, M.Y. Popov, and B. Sundqvist, Carbon 36, 319 (1998).

[2] M. Popov, V. Mordkovich, S. Perfilov, A. Kirichenko, B. Kulnitskiy, I. Perezhogin, and V. Blank, Carbon 76, 250 (2014).

[3] Y.A. Kvashnina, A.G. Kvashnin, M.Y. Popov, B.A. Kulnitskiy, I.A. Perezhogin, E.V. Tyukalova, L.A. Chernozatonskii, P.B. Sorokin, and V.D. Blank, J. Phys. Chem. Lett. 6, 2147 (2015).

[4] Y.A. Kvashnina, A.G. Kvashnin, L.A. Chernozatonskii, and P.B. Sorokin, Carbon 115, 546 (2017).

[5] C.W. Glass, A.R. Oganov, and N. Hansen, Comput. Phys. Commun. 175, 713 (2006).

 

 

 

 

Kvashnina Yu.A., Kvashnin D.G., Kvashnin A.G., Sorokin P.B.

 JETP Letters  105 ( 7) (2017)

 

Recently  stochastic clustering  with statistical self-similarity (fractality) has been found on material surface exposed under extreme plasma thermal loads in fusion devices (see [1]). In such devices, multiple processes of erosion and redeposition of the eroded material, surface melting and motion of the surface layers lead to a stochastic surface growth on the scales from tens of nanometers to hundreds of micrometers. The moving of eroded material species during redeposition from plasma and agglomeration on the surface is governed by stochastic electric fields generated by the high-temperature plasma. The specific property of the near-wall plasma in fusion device is the non-Gaussian statistics of electric field fluctuations with long-range correlations [2]. It leads to the stochastic agglomerate growth with a self-similar structure (hierarchical granularity - fractality) of non-Gaussian statistics contrary to a trivial roughness observed in ordinary processes of stochastic agglomeration. The dominant factor in such process in fusion device is the collective effect during stochastic clustering rather than the chemical element composition and physical characteristics of the solid material. In support of this view it is reported in this Letter, that such similar stochastic fractal structure with hierarchical granularity and self-similarity is formed on various materials, such as  tungsten, carbon materials and stainless steel exposed to high-temperature plasma in fusion devices.  In the literature it is discussed hypotheses of universal scalings of stochastic objects and processes with multi-scale invariance property (statistical self-similarity), see e.g. [3]. The kinetic models propose the describing of the stochastic clustering with a self-similar structure and considering the power law solutions for the number N of agglomerating clusters with mass m (see e.g. [4]), N(m)=Cm-(3+h)/2,  where h is a self-similarity exponent of the agglomeration kinetic model, C is a constant factor.  It is surprisingly found in this Letter that such the power laws (with power exponents from -2.4 to -2.8) describing the roughness of the test specimens from fusion devices are strictly deviated from that of the reference samples formed in a trivial agglomeration process forming   Brownian-like rough surface (such as samples exposed to low-temperature glow discharge plasma  and rough steel casting with the power law exponent in  the range of -1.97 to -2.2).  Statistics of  stochastic clustering samples from fusion devices is typically non-Gaussian and has a "heavy" tails of probability distribution functions (PDF) of stochastic surface heights (of the Hurst exponent from 0.68 to 0.86). It is contrary to the Gaussian PDF of the reference samples with trivial stochastic surface.  Stochastic clustering of materials from fusion devices is characterised by multifractal statistics. Quantitative characteristics of statistical inhomogeneity of such material structure, including multifractal spectrum with broadening of  0.5 ¾ 1.2, are in the range observed for typical multifractal objects and processes in nature. This may indicate a universal mechanism of stochastic clustering of materials under the influence of high-temperature plasma.

 

1. V.P. Budaev et al., JETP Letters vol. 95,   2, 78 (2012).

2. V.P. Budaev, S.P. Savin, L.M.  Zelenyi,   Physics-Uspekhi 54 (9),   875   (2011)

 3. A. L. Barabasi and H. E. Stanley, Fractal Concepts in Surface Growth (Cambridge Univ. Press, Cambridge, 1995).

4. C. Connaughton, R. Rajesh, O. Zaboronski, PRL 94 (19), 194503 (2005).

 

 

 

 

V.P. Budaev, JETP Letters    vol. 105, issue 5 (2017)

Modern physics of liquid crystals is much younger than its traditional condensed matter material counterparts. Therefore the field is not yet completely elaborated and exhausted, and one may  still expect discoveries of new mesogen materials exhibiting of new types of liquid-crystalline ordering. A few years ago such a discovery of so-called bent-core or dimer mesogens which can form short pitch heli-conical nematic state (also known as twist-bend nematics, $N_{TB}$) [1, 2], attracted a lot of interest to this new state of matter with nano-scale orientational modulation. First, to understand the nature of the phase, basically different from conventional uniform nematics and from modulated in mass density smectics (see e.g., Landau theory approach, [3,4]). Second, to exploit potentially very perspective applications of the $N_{TB}$ liquid crystals. Along this way, very recently S.M.Saliti, M.G.Tamba, S.N. Sprunt, C.Welch, G.H.Mehl, A.Jakli, J.T.Gleeson [5] observed of the unprecedentedly large magnetic field induced shift $\Delta T_c(H)$ of the nematic - isotropic transition temperature. What is even more surprising $\Delta T_c(H)$ does not follow the thermodynamics text-book wisdom prediction $H^2$ scaling. Our  interpretation of such a behavior is based on singular longitudinal fluctuations of the nematic order parameter. Since these fluctuations are governed by the Goldstone director fluctuations they exist only in the nematic state. External magnetic field suppresses the singular longitudinal fluctuations of the order parameter. The reduction of the fluctuations changes the equilibrium value of the modulus of the order parameter in the nematic state, and leads  to additional (with respect to the mean field contribution) fluctuational shift of the nematic - isotropic transition temperature. The mechanism works for any nematic liquid crystals, however the magnitude of the fluctuational shift increases with decrease of the Frank elastic moduli. Since some of these moduli supposed to be anomalously small for the  bent-core or dimer mesogen formed nematic liquid crystals, just these liquid crystals  are promising candidates for the observation of the predicted fluctuational shift of the phase transition temperature.
 
[1] V.P.Panov, M.Nagaraj, J.K.Vij, et al., Phys. Rev. Lett., 105, 167801 (2010).
[2] M.Cestari, S.Diez-Berart, D.A.Dunmur, et al., Phys. Rev. E, 84, 031704 (2011).
[3]  E.I.Kats, V.V.Lebedev, JETP Letters,  100, 118-121 (2014).
[4] L.Longa, G.Pajak, Phys. Rev. E,  93, 040701 (2016).
[5] S.M.Saliti, M.G.Tamba, S.N. Sprunt, C.Welch, G.H.Mehl, A.Jakli, J.T.Gleeson, Phys. Rev. Lett., 116, 217801 (2016).


                                                                      E.I. Kats

JETP  Letters 105 (4)  (2017)
 

In a recent letter A. Danan et al. [A. Danan, D. Farfurnik, S. Bar-Ad et al., Phys. Rev. Lett. 111, 240402 (2013)] have experimentally demonstrated an intriguing behavior of photons in an interferometer. Simplified layout of the experimental setup represents a nested Mach-Zehnder interferometer (MZI) and is shown below.

The surprising result is obtained when the inner MZI is tuned to destructive interference of the light propagating toward mirror F. In that case the power spectrum shows not only peak at the frequency of mirror C but two more peaks at the frequencies of mirrors A and B, and no peaks at the frequencies of mirrors E and F. From these results authors conclude that the path of the photons is not represented by connected trajectories, because the photons are registered inside the inner MZI and not registered outside it.

These unusual results have raised an active discussion. Nevertheless, until now there was no comprehensive and clear analysis of the experiment within the framework of the classical electromagnetic waves approach.

In this letter, we calculate  the signal power spectrum at the output of the nested MZI, based on traditional concept of the classical electromagnetic waves (or quantum mechanics).  This concept imply the continuity of the wave (photon) trajectories. We give intuitive clear and  comprehensive explanation of paradoxical results. So,  there is no necessity for a new concept of disconnected trajectories.

 

Simplified experimental setup with two nested Mach-Zehnder interferometers. A, B, C, E, and F stands for mirrors; BS1 and BS2, and PBS1 and PBS2 stands for ordinary and polarized beam splitters respectively. The elements BS1, A, B, and BS2 form an inner MZI whereas the elements PBS1, C, E, F and PBS2 form an outer MZI. Various mirrors inside the MZI vibrate with different frequencies. The rotation of a mirror causes a vertical shift of the light beam reflected off that mirror. The shift is measured by a quad-cell photodetector QCD.  When the vibration frequency of a certain mirror appears in the power spectrum, authors conclude that photons have been near that particular mirror

 

 

 

                                                                 G.N.Nikolaev JETP Letters 105 (3)  (2017)

   The dynamics of the quantum vacuum is one of the major unsolved problems of relativistic quantum field theory and cosmology. The reason is that relativistic quantum field theory and general relativity describe processes well below the Planck energy scale, while the deep ultraviolet quantum vacuum at or above the Planck energy scale remains unknown. Following the condensed matter experience we develop a special macroscopic approach called q-theory, which incorporates the ultraviolet degrees of freedom of the quantum vacuum into an effective theory and allows us to study the dynamics of the quantum vacuum and its influence on the evolution of the Universe.

     The vacuum in our approach is considered as the Lorentz-invariant analog of a condensed-matter system (liquid or solid) which is stable in free space. The variable q is the Lorentz-invariant analog of the particle number density, whose conservation regulates the thermodynamics and dynamics of many-body systems. This approach is universal in the sense that the same results are obtained using different formulations of the q-field. In the paper, we choose the q-field in terms of a 4-form field strength, which has, in particular, been used by Hawking for discussion of the main cosmological constant problem -- why is the observed value of the cosmological constant many orders of magnitude smaller than follows from naive estimates of the vacuum energy as the energy of zero-point motion. In q-theory, the huge zero-point energy is naturally cancelled by the microscopic (trans-Planckian) degrees of freedom, as follows from the Gibbs-Duhem identity, which is applicable to any equilibrium ground state including the one of the physical

vacuum.

            In the paper, we consider a further extension of q-theory. We demonstrate that, in an expanding Universe, the variable  effectively splits into two components. The smooth part of the relaxing vacuum field is responsible for dark energy, while the rapidly oscillating component behaves as cold dark matter. In this way, q-theory provides a combined solution to the missing-mass problem and the cosmological constant problem. If this scenario is correct, the implication would be that direct searches for dark-matter particles remain unsuccessful in the foreseeable future.

F.R. Klinkhamer and G.E. Volovik,

JETP Letters  105, issue 2 (2017)

The ability to detect nonequilibrium spin accumulation (imbalance) by all electrical means is one of the key ingredients in spintronics . Transport detection typically relies on a nonlocal measurement of a contact potential difference induced by the spin imbalance by means of ferromagnetic contacts  or spin resolving detectors . A drawback of these approaches lies in a difficulty to extract the absolute value of the spin imbalance without an independent calibration. An alternative concept of a spin-to-charge conversion via nonequilibrium shot noise was introduced and  investigated in  experiment recently . Here, the basic idea is that a nonequilibrium spin imbalance generates spontaneous current fluctuations, even in the absence of a net electric current. Being a primary approach , the shot noise based detection is potentially suitable for the absolute measurement of the spin imbalance. In addition, the noise measurement can be used for a local non-invasive sensing.

In this letter, we calculate the impact of a spin relaxation on the spin imbalance generated shot noise in the absence of inelastic processes. We find that the spin relaxation increases the noise up to a factor of two, depending on the ratio of the conductor length and the spin relaxation length. The design of the system. A diffusive normal wire of the length L is attached to normal islands on both ends. Nonequilibrium energy distribution on the left hand side of the wire generates the shot noise at a zero net current. The spin imbalance on the left-hand side of the wire is due to the electric current flowing from one ferromagnetic lead (red) to another one with opposite magnetization (blue).

 

 

V.S. Khrapai and K.E. Nagaev JETP  Letters 105, №1 (2017)